Письмо № 01-01-13/1012 от 27.01.2025

МИНИСТЕРСТВО СТРОИТЕЛЬСТВА И ЖИЛИЩНО-КОММУНАЛЬНОГО
ХОЗЯЙСТВА РОССИЙСКОЙ ФЕДЕРАЦИИ
ФЕДЕРАЛЬНОЕ АВТОНОМНОЕ УЧРЕЖДЕНИЕ
«ГЛАВНОЕ УПРАВЛЕНИЕ ГОСУДАРСТВЕННОЙ ЭКСПЕРТИЗЫ»

Письмо № 01-01-13/1012 от 27 января 2025 г.

 

ФАУ «Главгосэкспертиза России», рассмотрев обращение, сообщает следующее.

Стоимость проектных работ, рассчитываемая в зависимости от общей стоимости строительства, определяется по нормативам цены, приведенным в таблице 3.19 Нормативных затрат на работы по подготовке проектной документации для строительства, реконструкции сетей инженерно-технического обеспечения и объектов инфраструктуры, установленных приказом Минстроя России от 28.11.2023 N 847/пр (далее — НЗ).

Необходимо учесть, что в графе 2 таблицы 3.19 НЗ допущена техническая опечатка и значения показателей сметной стоимости строительства, приведенные в пунктах 2 — 11 таблицы 3.19 НЗ, следует читать с предлогом «до …».

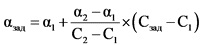
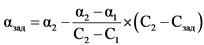
В случае, если объект проектирования имеет величину сметной стоимости строительства в размере 15 млн. руб., находящуюся между показателями «до 10 млн. руб.» и «до 20 млн. руб.» таблицы 3.19 НЗ, норматив цены проектных работ  определяется с применением формул интерполяции (8.10) и (8.11), приведенных в пункте 138 Методики определения стоимости работ по подготовке проектной документации, утвержденной приказом Минстроя России от 01.10.2021 N 707/пр (далее — Методика N 707/пр).

При этом необходимо учесть, что в формулах интерполяции (8.10) и (8.11) допущены технические опечатки, которые будут устранены при актуализации Методики N 707/пр. В настоящее время указанные формулы следует читать в следующих редакциях:

(8.10);

 

(8.11).

 

Пример определения стоимости проектирования объекта капитального строительства от общей стоимости строительства, сметная стоимость которого определена ресурсно-индексным методом, размещен в федеральной государственной информационной системе ценообразования в строительстве в подразделе «Справочная информация/Иные документы/Примеры» раздела «Федеральный реестр сметных нормативов» по адресу:

https://fgiscs.minstroyrf.ru/frsn/reference/letters/6bl5e7c6-7473-45e8-b52a-4b4d29b7ebe9 и учитывает корректную формулу интерполяции.

Учреждение благодарит за предоставленную информацию о вышеуказанных опечатках, которые будут учтены при актуализации Методики N 707/пр и НЗ.

 

Заместитель начальника управления

разработки сметных нормативов                         О.В.ГУРЬЕВА

 

 

Наверх

Ваше сообщение