ГОСТ Р МЭК 60601-1-2-2014
ГОСТ Р МЭК 60601-1-2-2014
Группа Э02
НАЦИОНАЛЬНЫЙ СТАНДАРТ РОССИЙСКОЙ ФЕДЕРАЦИИ
ИЗДЕЛИЯ МЕДИЦИНСКИЕ ЭЛЕКТРИЧЕСКИЕ
Общие требования безопасности с учетом основных функциональных характеристик. Параллельный стандарт. Электромагнитная совместимость. Требования и испытания
Medical electrical equipment. Part 1-2. General requirements for basic safety and essential performance. Collateral standard. Electromagnetic compatibility. Requirements and tests
Предисловие
1 ПОДГОТОВЛЕН Научно-испытательным центром «САМТЭС» и Техническим комитетом по стандартизации ТК 30 «Электромагнитная совместимость технических средств» на основе собственного аутентичного перевода на русский язык международного стандарта, указанного в пункте 4
2 ВНЕСЕН Техническим комитетом по стандартизации ТК 30 «Электромагнитная совместимость технических средств»
3 УТВЕРЖДЕН И ВВЕДЕН В ДЕЙСТВИЕ Приказом Федерального агентства по техническому регулированию и метрологии от 26 февраля 2014 г. N 45-ст
4 Настоящий стандарт идентичен международному стандарту МЭК 60601-1-2:2007* «Медицинские электрические изделия. Часть 1-2. Общие требования к основной безопасности и основным функциональным характеристикам. Параллельный стандарт. Электромагнитная совместимость. Требования и испытания» (IEC 60601-1-2:2007 «Medical electrical equipment — Part 1-2: General requirements for basic safety and essential performance — Collateral standard: Electromagnetic compatibility — Requirements and tests»), включая техническую поправку I-SH 01-2010.
Техническая поправка к указанному международному стандарту внесена в текст настоящего стандарта и выделена двойной вертикальной линией, расположенной на полях слева от соответствующего текста, а обозначение и год принятия технической поправки приведены в скобках после соответствующего текста.
При применении настоящего стандарта рекомендуется использовать вместо ссылочных международных стандартов соответствующие им национальные стандарты Российской Федерации и межгосударственные стандарты, сведения о которых приведены в дополнительном приложении ДА
5 ВВЕДЕН ВПЕРВЫЕ
Правила применения настоящего стандарта установлены в ГОСТ Р 1.0-2012 (раздел 8). Информация об изменениях к настоящему стандарту публикуется в ежегодном (по состоянию на 1 января текущего года) информационном указателе «Национальные стандарты», а официальный текст изменений и поправок — в ежемесячном информационном указателе «Национальные стандарты». В случае пересмотра (замены) или отмены настоящего стандарта соответствующее уведомление будет опубликовано в ближайшем выпуске ежемесячного информационного указателя «Национальные стандарты».
Необходимость применения специальных стандартов в области ЭЛЕКТРОМАГНИТНОЙ СОВМЕСТИМОСТИ для МЕДИЦИНСКИХ ЭЛЕКТРИЧЕСКИХ ИЗДЕЛИЙ и МЕДИЦИНСКИХ ЭЛЕКТРИЧЕСКИХ СИСТЕМ общепризнана.
В частности, применение стандартов по ЭЛЕКТРОМАГНИТНОЙ ЭМИССИИ от источников помех очень важно для защиты:
— служб безопасности;
— других МЕДИЦИНСКИХ ЭЛЕКТРИЧЕСКИХ ИЗДЕЛИЙ и МЕДИЦИНСКИХ ЭЛЕКТРИЧЕСКИХ СИСТЕМ;
— электрического оборудования, не относящегося к МЕДИЦИНСКИМ ЭЛЕКТРИЧЕСКИМ ИЗДЕЛИЯМ (например, компьютеров);
— средств связи (радио, телевидения, телефонии, радионавигации).
Еще более важным является применение стандартов по УСТОЙЧИВОСТИ к ЭЛЕКТРОМАГНИТНЫМ ПОМЕХАМ (ПОМЕХОУСТОЙЧИВОСТИ), существенных для обеспечения безопасности МЕДИЦИНСКИХ ЭЛЕКТРИЧЕСКИХ ИЗДЕЛИЙ и МЕДИЦИНСКИХ ЭЛЕКТРИЧЕСКИХ СИСТЕМ.
ЭЛЕКТРОМАГНИТНАЯ СОВМЕСТИМОСТЬ (см. определение 3.4) отличается от других аспектов безопасности, охватываемых IEC 60601-1, потому что электромагнитные явления существуют, при разных степенях жесткости и при нормальном использовании всех МЕДИЦИНСКИХ ЭЛЕКТРИЧЕСКИХ ИЗДЕЛИЙ и МЕДИЦИНСКИХ ЭЛЕКТРИЧЕСКИХ СИСТЕМ. Оборудование для удовлетворения требованиям ЭЛЕКТРОМАГНИТНОЙ СОВМЕСТИМОСТИ должно «нормально функционировать» в той электромагнитной обстановке, для которой оно предназначено. Это означает, что обычный подход единичного нарушения к безопасности неприменим к стандартам в области ЭЛЕКТРОМАГНИТНОЙ СОВМЕСТИМОСТИ.
Обстановку ЭЛЕКТРОМАГНИТНЫХ ПОМЕХ можно сравнить с действием атмосферного давления, температуры и влажности окружающего воздуха. МЕДИЦИНСКИЕ ЭЛЕКТРИЧЕСКИЕ ИЗДЕЛИЯ и МЕДИЦИНСКИЕ ЭЛЕКТРИЧЕСКИЕ СИСТЕМЫ могут функционировать при условиях окружающей среды, находящихся в установленных пределах в любое время и в продолжительные периоды времени.
Как и об атмосферном давлении и влажности воздуха, ОПЕРАТОР МЕДИЦИНСКОГО ЭЛЕКТРИЧЕСКОГО ИЗДЕЛИЯ и МЕДИЦИНСКОЙ ЭЛЕКТРИЧЕСКОЙ СИСТЕМЫ не может быть осведомлен об уровнях ЭЛЕКТРОМАГНИТНЫХ ПОМЕХ в длительный период времени. ИСПЫТАТЕЛЬНЫЕ УРОВНИ ПОМЕХОУСТОЙЧИВОСТИ, установленные в настоящем параллельном стандарте (ИСПЫТАТЕЛЬНЫЕ УРОВНИ IEC 60601), представляют собой область значений, соответствующих общей обстановке при использовании медицинских изделий. Следовательно, при этих условиях функционирование МЕДИЦИНСКИХ ЭЛЕКТРИЧЕСКИХ ИЗДЕЛИЙ и МЕДИЦИНСКИХ ЭЛЕКТРИЧЕСКИХ СИСТЕМ будет ожидаемо нормальным.
МЕДИЦИНСКИЕ ЭЛЕКТРИЧЕСКИЕ ИЗДЕЛИЯ и МЕДИЦИНСКИЕ ЭЛЕКТРИЧЕСКИЕ СИСТЕМЫ используются в медицинской практике для выполнения установленных ФУНКЦИЙ. Если МЕДИЦИНСКИЕ ЭЛЕКТРИЧЕСКИЕ ИЗДЕЛИЯ или МЕДИЦИНСКИЕ ЭЛЕКТРИЧЕСКИЕ СИСТЕМЫ не обеспечивают выполнения ФУНКЦИЙ по назначению из-за недостаточной УСТОЙЧИВОСТИ к ЭЛЕКТРОМАГНИТНЫМ ПОМЕХАМ, воздействие которых ожидается при эксплуатации в нормальных условиях, то это препятствует выполнению задач медицинской практики и не может считаться приемлемым.
Настоящее издание признает, что ответственность за обеспечение разработки и конструирования МЕДИЦИНСКИХ ЭЛЕКТРИЧЕСКИХ ИЗДЕЛИЙ и МЕДИЦИНСКИХ ЭЛЕКТРИЧЕСКИХ СИСТЕМ и их функционирование по назначению разделяется между ИЗГОТОВИТЕЛЯМИ, ОТВЕТСТВЕННЫМИ ОРГАНИЗАЦИЯМИ и ОПЕРАТОРАМИ. При этом ответственность ИЗГОТОВИТЕЛЯ МЕДИЦИНСКОГО ЭЛЕКТРИЧЕСКОГО ИЗДЕЛИЯ или МЕДИЦИНСКОЙ ЭЛЕКТРИЧЕСКОЙ СИСТЕМЫ заключается в их разработке и изготовлении в соответствии с требованиями настоящего параллельного стандарта и предоставлении такой информации ОТВЕТСТВЕННОЙ ОРГАНИЗАЦИИ или ОПЕРАТОРУ для поддержания совместимой ЭЛЕКТРОМАГНИТНОЙ ОБСТАНОВКИ, чтобы МЕДИЦИНСКОЕ ЭЛЕКТРИЧЕСКОЕ ИЗДЕЛИЕ или МЕДИЦИНСКАЯ ЭЛЕКТРИЧЕСКАЯ СИСТЕМА функционировали по назначению.
В связи с тем, что медицинская практика включает много специализаций, при необходимости будут разрабатываться МЕДИЦИНСКИЕ ЭЛЕКТРИЧЕСКИЕ ИЗДЕЛИЯ или МЕДИЦИНСКИЕ ЭЛЕКТРИЧЕСКИЕ СИСТЕМЫ, предназначенные для выполнения различных ФУНКЦИЙ. Некоторые ФУНКЦИИ включают, например, измерение получаемых от ПАЦИЕНТА сигналов очень низких уровней в сравнении с уровнями ЭЛЕКТРОМАГНИТНОГО ШУМА. Этот шум может воздействовать на МЕДИЦИНСКИЕ ЭЛЕКТРИЧЕСКИЕ ИЗДЕЛИЯ и МЕДИЦИНСКИЕ ЭЛЕКТРИЧЕСКИЕ СИСТЕМЫ при проведении испытаний на УСТОЙЧИВОСТЬ к ЭЛЕКТРОМАГНИТНЫМ ПОМЕХАМ, установленных в настоящем параллельном стандарте. Учитывая преимущества применения МЕДИЦИНСКИХ ЭЛЕКТРИЧЕСКИХ ИЗДЕЛИЙ и МЕДИЦИНСКИХ ЭЛЕКТРИЧЕСКИХ СИСТЕМ такого рода, настоящий параллельный стандарт допускает применение пониженных ИСПЫТАТЕЛЬНЫХ УРОВНЕЙ ПОМЕХОУСТОЙЧИВОСТИ при наличии достаточных обоснований, основанных на анализе физических, технологических и физиологических факторов. В этом случае ИЗГОТОВИТЕЛЬ должен указать уровни, при которых МЕДИЦИНСКИЕ ЭЛЕКТРИЧЕСКИЕ ИЗДЕЛИЯ и МЕДИЦИНСКИЕ ЭЛЕКТРИЧЕСКИЕ СИСТЕМЫ отвечают требованиям к качеству функционирования, установленным в настоящем параллельном стандарте, и установить ЭЛЕКТРОМАГНИТНЫЕ характеристики используемой обстановки, в которой МЕДИЦИНСКОЕ ЭЛЕКТРИЧЕСКОЕ ИЗДЕЛИЕ или МЕДИЦИНСКАЯ ЭЛЕКТРИЧЕСКАЯ СИСТЕМА будут функционировать по назначению, и способы создания такой обстановки.
Настоящий параллельный стандарт также признает, что для определенных обстановок могут потребоваться более высокие УРОВНИ ПОМЕХОУСТОЙЧИВОСТИ. Исследования, необходимые для определения порядка идентификации обстановок, которые могут требовать повышенных УРОВНЕЙ ПОМЕХОУСТОЙЧИВОСТИ, а также для определения этих уровней, находятся в развитии.
Наконец, настоящий параллельный стандарт признает, что для МЕДИЦИНСКИХ ЭЛЕКТРИЧЕСКИХ ИЗДЕЛИЙ и МЕДИЦИНСКИХ ЭЛЕКТРИЧЕСКИХ СИСТЕМ ЖИЗНЕОБЕСПЕЧЕНИЯ необходимы повышенные уровни ПОМЕХОУСТОЙЧИВОСТИ, чтобы установить больший запас безопасности даже при использовании в общей обстановке медицинских учреждений. Поэтому настоящий параллельный стандарт устанавливает дополнительные требования для МЕДИЦИНСКИХ ЭЛЕКТРИЧЕСКИХ ИЗДЕЛИЙ и МЕДИЦИНСКИХ ЭЛЕКТРИЧЕСКИХ СИСТЕМ ЖИЗНЕОБЕСПЕЧЕНИЯ.
Настоящий параллельный стандарт разработан на основе действующих стандартов МЭК, подготовленных Подкомитетом 62А, Техническим комитетом ТК 77 (Электромагнитная совместимость электрического оборудования, включая сети) и CISPR (Международный специальный комитет по радиопомехам).
Требования ЭЛЕКТРОМАГНИТНОЙ СОВМЕСТИМОСТИ, установленные в настоящем параллельном стандарте, применимы в основном для МЕДИЦИНСКИХ ЭЛЕКТРИЧЕСКИХ ИЗДЕЛИЙ и МЕДИЦИНСКИХ ЭЛЕКТРИЧЕСКИХ СИСТЕМ в соответствии с определениями в 3.63 и 3.64 общего стандарта. Для определенных типов МЕДИЦИНСКИХ ЭЛЕКТРИЧЕСКИХ ИЗДЕЛИЙ и МЕДИЦИНСКИХ ЭЛЕКТРИЧЕСКИХ СИСТЕМ может быть необходимым модифицировать эти требования с учетом специальных требований частного стандарта, распространяющегося на медицинские изделия конкретного вида. Руководство по применению настоящего параллельного стандарта при разработке частных стандартов приведено в приложении Е.
Международный стандарт МЭК 60601-1-2 подготовлен Подкомитетом МЭК 62А «Общие аспекты электрического оборудования, применяемого в медицинской практике» Технического комитета МЭК 62 «Электрическое оборудование в медицинской практике».
Настоящее третье издание представляет собой параллельный стандарт по отношению к стандарту МЭК 60601-1 «Изделия медицинские электрические. Часть 1. Общие требования к основной безопасности и основным функциональным характеристикам«, называемому далее общим стандартом.
Настоящий документ отменяет и заменяет второе издание стандарта МЭК 60601-1-2 и представляет собой техническое изменение.
Настоящее издание МЭК 60601-1-2 было изменено, чтобы структурно выровнять его с изданием МЭК 60601-1:2005 и выполнить решение Подкомитета МЭК 62А о том, что нумерация пунктов структуры стандарта, параллельного МЭК 60601-1:2005, будет соответствовать форме, установленной в Директивах ИСО/МЭК, Часть 2:2004. Принципиальные технические изменения приведены в пункте 4. В нем теперь признано, что в МЭК 60601-1:2005 существует общее требование для процесса менеджмента риска.
В серии публикаций МЭК 60601 параллельные стандарты устанавливают общие требования безопасности, применимые для:
— подгруппы МЕДИЦИНСКИХ ЭЛЕКТРИЧЕСКИХ ИЗДЕЛИЙ (например, для радиологического оборудования); или
— определенной характеристики любых МЕДИЦИНСКИХ ЭЛЕКТРИЧЕСКИХ ИЗДЕЛИЙ, не полностью отраженной в общем стандарте (например, для систем сигнализации).
В настоящем стандарте приняты следующие шрифтовые выделения:
— требования и определения: прямой шрифт;
— технические требования к испытаниям: курсив;
— информационные материалы вне таблиц (такие как примечания, примеры и ссылки): шрифт уменьшенного размера; нормативный текст таблиц также выделен шрифтом уменьшенного размера;
ТЕРМИНЫ, ОПРЕДЕЛЕННЫЕ В ПУНКТЕ 3 ОБЩЕГО СТАНДАРТА, В НАСТОЯЩЕМ ПАРАЛЛЕЛЬНОМ СТАНДАРТЕ ИЛИ УКАЗАННЫЕ в ПРИМЕЧАНИИ: прописные буквы.
Примечание — Термины, определения которых приведены в пункте 3 общего стандарта и в настоящем стандарте, не выделяются прописными буквами в таблицах 1-8, в таблицах, приведенных в приложении С и в изложении требований, подлежащих включению в техническое описание или инструкцию по применению для ОПЕРАТОРА или ОТВЕТСТВЕННОЙ ОРГАНИЗАЦИИ, которые могут быть незнакомы с терминами в стандартах серии МЭК 60601.
Применительно к структуре настоящего стандарта:
— термин «пункт» означает одну из шести пронумерованных частей стандарта, указанных в оглавлении, включая все свои подпункты (например, пункт 6 включает 6.1, 6.2 и т.д.);
— термин «подпункт» означает пронумерованную часть пункта (например, 6.1, 6.2 и 6.2.1 являются подпунктами пункта 6).
Перед ссылкой на пункт и перед его номером в настоящем стандарте будет стоять слово «пункт», а ссылка на подпункт будет ограничиваться лишь его номером.
В настоящем стандарте союз «или» будет использоваться как включающее «или», т.е. утверждение будет истинным при любых комбинациях условий.
Вербальные формы, используемые в настоящем стандарте, соответствуют применению, описанному в приложении Н Директив ИСО/МЭК, Часть 2.
Для целей настоящего стандарта вспомогательные глаголы:
— «должен» означает, что соответствие требованиям или испытаниям обязательно для соответствия настоящему стандарту;
— «следует» означает, что соответствие требованиям или испытаниям настоящего стандарта рекомендовано, но не обязательно для соответствия требованиям настоящего стандарта;
— «может» используется для описания допустимых путей достижения соответствия требованиям или испытаниям.
Пункты, подпункты, перечисления или определения, для которых в приложении А имеются рекомендации или пояснения, маркированы пометой (*).
1 Область применения, цель и родственные стандарты
1.1 Область применения
Настоящий стандарт применяют к ОСНОВНОЙ БЕЗОПАСНОСТИ и ОСНОВНЫМ ФУНКЦИОНАЛЬНЫМ ХАРАКТЕРИСТИКАМ МЕДИЦИНСКИХ ЭЛЕКТРИЧЕСКИХ ИЗДЕЛИЙ и МЕДИЦИНСКИХ ЭЛЕКТРИЧЕСКИХ СИСТЕМ, в дальнейшем именуемых «ME ИЗДЕЛИЯ» и «ME СИСТЕМЫ».
Настоящий параллельный стандарт применяют к ЭЛЕКТРОМАГНИТНОЙ СОВМЕСТИМОСТИ ME ИЗДЕЛИЙ и ME СИСТЕМ.
1.2. Цель
Настоящий параллельный стандарт устанавливает общие требования и испытания по ЭЛЕКТРОМАГНИТНОЙ СОВМЕСТИМОСТИ ME ИЗДЕЛИЙ и ME СИСТЕМ. Они являются дополнительными по отношению к требованиям общего стандарта и служат основой для частных стандартов.
1.3 Родственные стандарты
1.3.1 МЭК 60601-1
Для ME ИЗДЕЛИЙ и ME СИСТЕМ настоящий параллельный стандарт дополняет МЭК 60601-1.
При ссылках на МЭК 60601-1 или на настоящий параллельный стандарт индивидуально или в комбинации используют следующие соглашения:
— «общий стандарт» означает исключительно МЭК 60601-1;
-«настоящий параллельный стандарт»означает исключительно МЭК 60601-1-2;
— «настоящий стандарт» означает комбинацию общего стандарта и настоящего параллельного стандарта.
1.3.2 Частные стандарты
Требования частных стандартов имеют приоритет перед соответствующими требованиями настоящего параллельного стандарта.
2 Нормативные ссылки
Документы, ссылки на которые перечислены ниже, обязательны при применении настоящего документа. Для датированных ссылок применяют только указанные издания. Для недатированных ссылок применяют последние издания ссылочных документов (включая любые изменения).
МЭК 60417 Графические символы для использования на оборудовании (IEC 60417, Graphical symbols for use on equipment)
МЭК 60601-1:2005 Медицинские электрические изделия. Часть 1. Общие требования к основной безопасности и основным функциональным характеристикам (IEC 60601-1:2005, Medical electrical equipment — Part 1: General requirements for basic safety and essential performance)
МЭК 60601-1-8:2006 Медицинские электрические изделия. Часть 1-8. Общие требования к основной безопасности и основным функциональным характеристикам. Параллельный стандарт. Общие требования, испытания и руководство для систем сигнализации в медицинских электрических изделиях и медицинских электрических системах (IEC 60601-1-8:2006, Medical electrical equipment — Part 1-8: General requirements for basic safety and essential performance — Collateral standard: General requirements, tests and guidance for alarm systems in medical electrical equipment and medical electrical systems)
МЭК 61000-3-2 Электромагнитная совместимость (ЭМС). Часть 3-2. Нормы. Нормы эмиссии гармонических токов (оборудование с потребляемым током
16 А на фазу (IEC 61000-3-2, Electromagnetic compatibility (EMC) — Part 3-2: Limits — Limits for harmonic current emissions (equipment input current
16 A per phase)
МЭК 61000-3-3 Электромагнитная совместимость (ЭМС). Часть 3-3. Нормы. Ограничение колебаний напряжения и фликера в низковольтных системах электроснабжения для оборудования с номинальным током
16 A (IEC 61000-3-3, Electromagnetic compatibility (EMC) — Part 3-3: Limits — Limitation of voltage fluctuations and flicker in low-voltage supply systems for equipment with rated current
16 A)
МЭК 61000-4-2 Электромагнитная совместимость (ЭМС). Часть 4-2. Методы испытаний и измерений. Испытания на устойчивость к электростатическим разрядам (IEC 61000-4-2, Electromagnetic compatibility (EMC) — Part 4-2: Testing and measurement techniques — Electrostatic discharge immunity test)
МЭК 61000-4-3 Электромагнитная совместимость (ЭМС). Часть 4-3. Методы испытаний и измерений. Испытания на устойчивость к излученному радиочастотному электромагнитному полю (IEC 61000-4-3, Electromagnetic compatibility (EMC) — Part 4-3: Testing and measurement techniques — Radiated, radio-frequency electromagnetic field immunity test)
МЭК 61000-4-4 Электромагнитная совместимость (ЭМС). Часть 4-4. Методы испытаний и измерений. Испытания на устойчивость к быстрым электрическим импульсам (пачкам) (IEC 61000-4-4, Electromagnetic compatibility (EMC) — Part 4-4: Testing and measuremen techniques — Electrical fast transient/ burst immunity test)
МЭК 61000-4-5 Электромагнитная совместимость (ЭМС). Часть 4-5. Методы испытаний и измерений. Испытания на устойчивость к выбросам (IEC 61000-4-5, Electromagnetic compatibility (EMC) — Part 4-5: Testing and measurement techniques — Surge immunity test)
МЭК 61000-4-6:2006 Электромагнитная совместимость (ЭМС). Часть 4-6. Методы испытаний и измерений. Испытания на устойчивость к кондуктивным помехам, наведенным радиочастотными полями (IEC 61000-4-6:2006, Electromagnetic compatibility (EMC) — Part 4-6: Testing and measurement techniques — Immunity to conducted disturbances, induced by radio-frequency fields)![]()
_______________
Опубликовано объединенное издание 2.2 (2006), включающее МЭК 61000-4-6 (2003). Изменение 1 (2004) и Изменение 2 (2006).
МЭК 61000-4-8 Электромагнитная совместимость (ЭМС). Часть 4-8. Методы испытаний и измерений. Испытания на устойчивость к магнитному полю частоты питания (IEC 61000-4-8, Electromagnetic compatibility (EMC) — Part 4-8: Testing and measurement techniques — Power frequency magnetic field immunity test)
МЭК 61000-4-11 Электромагнитная совместимость (ЭМС). Часть 4-8. Методы испытаний и измерений. Испытания на устойчивость к провалам, кратковременным прерываниям и изменениям напряжения (IEC 61000-4-11, Electromagnetic compatibility (EMC) — Part 4-11: Testing and measuring techniques — Voltage dips, short interruptions and voltage variations immunity tests)
СИСПР 11 Промышленное, научное и медицинское (ПНМ) радиочастотное оборудование. Характеристики электромагнитных помех. Нормы и методы измерений (CISPR 11, Industrial, scientific and medical (ISM) radio-frequency equipment — electromagnetic disturbance characteristics — Limits and methods of measurement)
СИСПР 14-1 Электромагнитная совместимость. Требования для бытовых приборов, электрических инструментов и аналогичных аппаратов. Часть 1. Электромагнитная эмиссия (CISPR 14-1, Electromagnetic compatibility — Requirements for household appliances, electrictools and similar apparatus — Part 1: Emission)
СИСПР 15 Нормы и методы измерения характеристик радиопомех от электрического светового и аналогичного оборудования (CISPR 15, Limits and methods of measurement of radio disturbance characteristics of electrical lighting and similar equipment)
СИСПР 16-1-2 Требования к аппаратуре для измерения радиопомех и помехоустойчивости и методы измерения. Часть 1-2. Аппаратура для измерения радиопомех и помехоустойчивости. Вспомогательное оборудование. Кондуктивные радиопомехи (СISPR 16-1-2, Specification for radio disturbance and immunity measuring apparatus and methods — Part 1-2: Radio disturbance and immunity measuring apparatus — Ancillary equipment — Conducted disturbances)
СИСПР 22 Оборудование информационных технологий. Характеристики радиопомех. Нормы и методы измерения (CISPR 22, Information technology equipment — Radio disturbance characteristics — Limits and methods of measurement)
3 Термины и определения
Для целей настоящего стандарта применяют термины и определения, приведенные в МЭК 60601-1:2005, МЭК 60601-1-8:2006 и следующие определения.
Примечания
1 Термины «напряжение» и «ток», применяемые в настоящем документе, означают среднеквадратичное значение переменного, постоянного или комбинированного напряжения или тока, если не установлено иное.
2 Термин «электрическое изделие» применяется для обозначения ME ИЗДЕЛИЯ или другого электрического изделия. В настоящем стандарте применяется также термин «изделие» для обозначения ME ИЗДЕЛИЯ или другого электрического или неэлектрического изделия в составе ME СИСТЕМЫ.
3 Указатель определений терминов приведен на стр. 101.
3.1 УРОВЕНЬ СООТВЕТСТВИЯ (ТРЕБОВАНИЯМ ПОМЕХОУСТОЙЧИВОСТИ) [(IMMUNITY) COMPLIANCE LEVEL]: Уровень, меньший или равный УРОВНЮ ПОМЕХОУСТОЙЧИВОСТИ, при котором ME ИЗДЕЛИЕ и ME СИСТЕМА отвечают требованиям соответствующего подпункта 6.2.
3.2 УХУДШЕНИЕ (КАЧЕСТВА ФУНКЦИОНИРОВАНИЯ) [DEGRADATION (of performance)]: Нежелательное отклонение рабочих характеристик ME ИЗДЕЛИЯ или ME СИСТЕМЫ от требуемых.
Примечание — Термин «УХУДШЕНИЕ» может применяться к временному или постоянному отказу в работе
3.3 ЭФФЕКТИВНАЯ ИЗЛУЧАЕМАЯ МОЩНОСТЬ [EFFECTIVE RADIATED POWER (ERP)]: Мощность, которую необходимо создать на входе идеальной эталонной антенны для создании на заданном расстоянии такой же плотности потока мощности, которая создается рассматриваемым устройством в данном направлении
Примечание — В соответствии с использованием в Международном союзе электросвязи и в главе 712 Международного электротехнического словаря термин «ЭФФЕКТИВНАЯ ИЗЛУЧАЕМАЯ МОЩНОСТЬ» применяется без оговорки, только когда эталонная антенна является полуволновым диполем.
3.4 ЭЛЕКТРОМАГНИТНАЯ СОВМЕСТИМОСТЬ, ЭМС [ELECTROMAGNETIC COMPATIBILITY (EMC)]: Способность ME ИЗДЕЛИЯ или ME СИСТЕМЫ функционировать удовлетворительно в их ЭЛЕКТРОМАГНИТНОЙ ОБСТАНОВКЕ, не создавая недопустимых ЭЛЕКТРОМАГНИТНЫХ ПОМЕХ чему-либо в этой обстановке.
3.5 ЭЛЕКТРОМАГНИТНАЯ ПОМЕХА (ELECTROMAGNETIC DISTURBANCE): Любое электромагнитное явление, которое может ухудшить работу устройства, оборудования или системы.
Примечание — Электромагнитная помеха может быть электромагнитным шумом, нежелательным сигналом или изменением в среде распространения.
3.6 (ЭЛЕКТРОМАГНИТНАЯ) ЭМИССИЯ [(ELECTROMAGNETIC) EMISSION]: Явление, при котором электромагнитная энергия исходит от источника.
3.7 ЭЛЕКТРОМАГНИТНАЯ ОБСТАНОВКА (ELECTROMAGNETIC ENVIRONMENT): Совокупность электромагнитных явлений, существующих в данном месте.
Примечание — В общем, ЭЛЕКТРОМАГНИТНАЯ ОБСТАНОВКА зависит от времени, и для ее описания может требоваться статистический подход.
3.8 ЭЛЕКТРОМАГНИТНЫЙ ШУМ (ELECTROMAGNETIC NOISE): Изменяющееся во времени электромагнитное явление, которое не содержит информации и может налагаться на полезный сигнал или объединяться с полезным сигналом.
3.9 ЭЛЕКТРОСТАТИЧЕСКИЙ РАЗРЯД (ЭСР) [ELECTROMAGNETIC DISCHARGE (ESD)]: Перенос электрического заряда между телами, электростатические потенциалы которых отличаются друг от друга, при их сближении или непосредственном контакте.
3.10 ИСКЛЮЧЕННАЯ ПОЛОСА ЧАСТОТ (EXCLUSION BAND): Полоса частот намеренного приемника радиочастотной энергии, верхнее значение которой для рабочих частот приемника, равных или больших 80 МГц, устанавливают на 5% больше, а нижнее значение — на 5% меньше, чем рабочая частота (верхняя и, соответственно, нижняя границы полосы рабочих частот) приемника. Для рабочих частот приемника, меньших 80 МГц, верхнее значение указанной полосы частот устанавливают на 10% больше, а нижнее значение — на 10% меньше, чем рабочая частота (верхняя и, соответственно, нижняя границы полосы рабочих частот) приемника.
Примечание — В национальных регламентах радиосвязи могут использоваться другие определения этого термина для других целей.
3.11 ФУНКЦИЯ (FUNCTION): Клинически важный процесс, для осуществления которого предназначается ME ИЗДЕЛИЕ или ME СИСТЕМА при диагностике, лечении или слежении за ПАЦИЕНТОМ или при компенсации или облегчении болезни, ранении или нетрудоспособности.
3.12 ИСПЫТАТЕЛЬНЫЙ УРОВЕНЬ по МЭК 60601 (IEC 60601 TEST LEVEL): ИСПЫТАТЕЛЬНЫЙ УРОВЕНЬ ПРИ ИСПЫТАНИЯХ НА ПОМЕХОУСТОЙЧИВОСТЬ, установленный в 6.2 настоящего параллельного стандарта или частного стандарта.
3.13 УСТОЙЧИВОСТЬ (К ЭЛЕКТРОМАГНИТНОЙ ПОМЕХЕ) (ПОМЕХОУСТОЙЧИВОСТЬ) [IMMUNITY (to a disturbance)]: Способность ME ИЗДЕЛИЯ или ME СИСТЕМЫ функционировать без УХУДШЕНИЯ при наличии ЭЛЕКТРОМАГНИТНЫХ ПОМЕХ.
3.14 УРОВЕНЬ УСТОЙЧИВОСТИ К ЭЛЕКТРОМАГНИТНОЙ ПОМЕХЕ (УРОВЕНЬ ПОМЕХОУСТОЙЧИВОСТИ) (IMMUNITY LEVEL): Максимальный уровень определенной ЭЛЕКТРОМАГНИТНОЙ ПОМЕХИ, воздействующей на конкретное устройство, оборудование или систему, при которой оно сохраняет требуемое качество функционирования.
3.15 ИСПЫТАТЕЛЬНЫЙ УРОВЕНЬ ПРИ ИСПЫТАНИЯХ НА ПОМЕХОУСТОЙЧИВОСТЬ (IMMUNITY TEST LEVEL): Уровень испытательного сигнала, используемого для имитации ЭЛЕКТРОМАГНИТНОЙ ПОМЕХИ при проведении испытания на помехоустойчивость.
3.16 ОБОРУДОВАНИЕ ИНФОРМАЦИОННЫХ ТЕХНОЛОГИЙ (ОИТ) [INFORMATION TECHNOLOGY EQUIPMENT (ITE)]: Оборудование, предназначенное для:
а) приема данных от внешнего источника (такого, как линия входных данных или клавиатура);
б) выполнения некоторых функций по обработке полученных данных (таких, как вычисление, преобразование или запись данных, накопление, классификация, хранение, передача данных);
в) обеспечения вывода данных (на другое оборудование либо путем воспроизведения данных или образования изображений).
Примечание — Данное определение включает электрические или электронные блоки или системы, которые генерируют множество периодических бинарных импульсных электрических или электронных сигналов и сконструированы таким образом, чтобы выполнять функции обработки данных, таких как обработка слов, электронные вычисления, преобразование данных, запись, накопление, классификация, хранение, поиск, передача и воспроизведение в виде образов.
3.17 КРУПНОГАБАРИТНЫЕ ME ИЗДЕЛИЕ или ME СИСТЕМА (LARGE ME EQUIPMENT or ME SYSTEM): ME ИЗДЕЛИЕ или ME СИСТЕМА, которые без учета кабелей не могут быть установлены в объеме, меньшем или равном 2 м
2 м
2,5 м. Данное определение относится также к распределенным ME СИСТЕМАМ.
3.18 МЕ ИЗДЕЛИЕ или ME СИСТЕМА ЖИЗНЕОБЕСПЕЧЕНИЯ (LIFE-SUPPORTING ME EQUIPMENT or ME SYSTEM): ME ИЗДЕЛИЕ или ME СИСТЕМА, которые выполняют по крайней мере одну ФУНКЦИЮ, предназначенную для поддержания жизни или приведения в сознание ПАЦИЕНТА, и нарушение соответствия которой требованиям 6.2.1.10 может с большой вероятностью привести к серьезному вреду или летальному исходу для ПАЦИЕНТА.
3.19 НИЗКОЕ НАПРЯЖЕНИЕ (LOW VOLTAGE): Линейное или фазное напряжение, меньшее или равное 1000 В переменного или 1500 В постоянного тока.
3.20 РАБОЧАЯ ЧАСТОТА (OPERATING FREQUENCY): Основная частота сигнала, вызванного электрическим или неэлектрическим явлением, установленная в ME ИЗДЕЛИИ или ME СИСТЕМЕ, предназначенных для контроля физиологических параметров.
3.21 МЕ ИЗДЕЛИЕ или ME СИСТЕМА, СВЯЗАННЫЕ с ПАЦИЕНТОМ (PATIENT-COUPLED ME EQUIPMENT or ME SYSTEM): ME ИЗДЕЛИЕ или ME СИСТЕМА, содержащие не менее одной РАБОЧЕЙ ЧАСТИ, физический контакт которой с ПАЦИЕНТОМ создает чувствительную или обрабатываемую точку, необходимую для нормального функционирования ME ИЗДЕЛИЯ или ME СИСТЕМЫ и предназначенную (или не предназначенную) для обеспечения пути для передачи электромагнитной энергии при кондуктивной, емкостной или индуктивной связи.
3.22 ИМИТИРОВАННАЯ ФИЗИОЛОГИЧЕСКАЯ ЧАСТОТА (PHYSIOLOGICAL SIMULATION FREQUENCY): Основная частота сигнала, вызванного электрическим или неэлектрическим явлением, используемого при имитации физиологического параметра для обеспечения функционирования ME ИЗДЕЛИЯ или ME СИСТЕМЫ в режиме, эквивалентном режиму связи с ПАЦИЕНТОМ.
3.23 ПРОФЕССИОНАЛЬНЫЕ ME ИЗДЕЛИЕ или ME СИСТЕМА (PROFESSIONAL ME EQUIPMENT or ME SYSTEM): ME ИЗДЕЛИЕ или ME СИСТЕМА, предназначенные для использования профессионалами здравоохранения, и не предназначенные для продажи обычной публике.
3.24 РАСПРЕДЕЛИТЕЛЬНАЯ ЭЛЕКТРИЧЕСКАЯ СЕТЬ (PUBLIC MAINS NETWORK): Электрические силовые линии НИЗКОГО НАПРЯЖЕНИЯ, к которым могут быть подключены потребители всех категорий.
3.25 РАДИОЧАСТОТА [RADIOFREQUENCY (RF)]: Частота, соответствующая области электромагнитного спектра, находящейся между областями звуковых частот и частот инфракрасного излучения. РАДИОЧАСТОТЫ используются при осуществлении радиопередач.
Примечание — Полоса радиочастот ориентировочно находится в пределах от 9 кГц до 3000 ГГц.
3.26 ПРОФЕССИОНАЛЬНЫЕ ME ИЗДЕЛИЕ или ME СИСТЕМА ТИПА A (TYPE A PROFESSIONAL ME EQUIPMENT or ME SYSTEM): ПРОФЕССИОНАЛЬНЫЕ ME ИЗДЕЛИЕ или ME СИСТЕМА ТИПА A, которые соответствуют нормам излучаемых электромагнитных помех СИСПР 11 группы 2 класса В, за исключением третьей гармоники основной частоты ME ИЗДЕЛИЯ или ME СИСТЕМЫ, которая соответствует нормам СИСПР 11 группы 2 класса А.
4 Общие требования
4.1 Общие требования к ЭЛЕКТРОМАГНИТНОЙ СОВМЕСТИМОСТИ ME ИЗДЕЛИЙ и ME СИСТЕМ
4.1.1 ЭЛЕКТРОМАГНИТНАЯ СОВМЕСТИМОСТЬ
ME ИЗДЕЛИЯ и ME СИСТЕМЫ не должны создавать ЭЛЕКТРОМАГНИТНЫХ ПОМЕХ, которые могли бы воздействовать на работу радиослужб и других изделий или повлиять на ОСНОВНЫЕ ФУНКЦИОНАЛЬНЫЕ ХАРАКТЕРИСТИКИ других ME ИЗДЕЛИЙ и ME СИСТЕМ.
ME ИЗДЕЛИЯ и ME СИСТЕМЫ должны обладать адекватной УСТОЙЧИВОСТЬЮ к ЭЛЕКТРОМАГНИТНЫМ ПОМЕХАМ для того, чтобы быть в состоянии обеспечить ОСНОВНУЮ БЕЗОПАСНОСТЬ и ОСНОВНЫЕ ФУНКЦИОНАЛЬНЫЕ ХАРАКТЕРИСТИКИ при наличии ЭЛЕКТРОМАГНИТНЫХ ПОМЕХ.
Соответствие требованиям считают существующим, если выполнены требования настоящего стандарта.
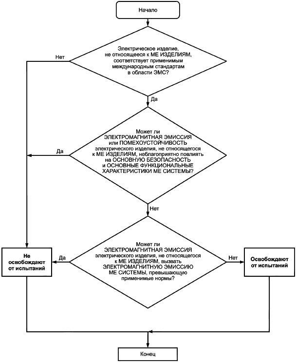
4.1.2 Электрические изделия, не являющиеся ME ИЗДЕЛИЯМИ
Электрическое изделие, не являющееся ME ИЗДЕЛИЕМ, которое поставляется как часть ME СИСТЕМЫ, не подлежит испытаниям на соответствие требованиям ЭМС, установленным в настоящем параллельном стандарте, при выполнении всех условий, указанных ниже (см. также приложение G)
a) электрическое изделие, не являющееся ME ИЗДЕЛИЕМ, соответствует применимым международным стандартам в области ЭМС;
b) ЭЛЕКТРОМАГНИТНАЯ ЭМИССИЯ от электрического изделия, не являющегося ME ИЗДЕЛИЕМ, не оказывает отрицательного влияния на ОСНОВНУЮ БЕЗОПАСНОСТЬ или ОСНОВНЫЕ ФУНКЦИОНАЛЬНЫЕ ХАРАКТЕРИСТИКИ ME СИСТЕМЫ; и
c) ЭЛЕКТРОМАГНИТНАЯ ЭМИССИЯ от электрического изделия, не являющегося ME ИЗДЕЛИЕМ, не приводит к превышению ЭЛЕКТРОМАГНИТНОЙ ЭМИССИЕЙ от ME СИСТЕМЫ применимых норм.
Соответствие требованиям проверяют путем экспертизы документов, устанавливающих выполнение указанных условий, а также других соответствующих документов или сертификатов. Если установление выполнения указанных условий не проводилось, то проверку осуществляют путем экспертизы документов для верификации, что электрическое изделие, не являющееся ME ИЗДЕЛИЕМ, было испытано в соответствии с настоящим параллельным стандартом.
4.2 УСЛОВИЕ ЕДИНИЧНОГО НАРУШЕНИЯ для ME ИЗДЕЛИЯ
При испытаниях в области ЭМС требования общего стандарта об УСЛОВИИ ЕДИНИЧНОГО НАРУШЕНИЯ не применяют.
5 Идентификация, маркировка и документация
5.1 Маркировка на наружных поверхностях ME ИЗДЕЛИЯ или частей ME ИЗДЕЛИЯ
5.1.1 Маркировка на наружных поверхностях ME ИЗДЕЛИЯ или частей ME ИЗДЕЛИЯ, включающих радиочастотные передатчики или преднамеренно использующих радиочастотную электромагнитную энергию для диагностики или лечения
ME ИЗДЕЛИЯ и ME СИСТЕМЫ, включающие в себя радиочастотные передатчики или преднамеренно использующие радиочастотную электромагнитную энергию для диагностики или лечения, должны иметь маркировку в виде знака неионизирующей радиации в соответствии с МЭК 60417-5140 (2003-04). Графический символ показан ниже:

5.1.2 Маркировка на наружных поверхностях ME ИЗДЕЛИЯ или частей ME ИЗДЕЛИЯ, имеющих соединители, не подлежащие испытаниям в соответствии с 6.2.2.2 с)
На ME ИЗДЕЛИЯХ и ME СИСТЕМАХ, имеющих соединители, не подлежащие испытаниям в соответствии с 6.2.2.2.с), должна быть маркировка в виде знака чувствительности к ЭСР в соответствии с МЭК 60417-5134 (2003-04), примыкающего к каждому соединителю, не подлежащему испытаниям. Графический символ показан ниже:

5.1.3 Маркировка на наружных поверхностях ME ИЗДЕЛИЙ и ME СИСТЕМ, предназначенных для использования только в экранированных помещениях
На ME ИЗДЕЛИЯХ и ME СИСТЕМАХ, предназначенных для использования только в экранированных помещениях, должно быть нанесено предупреждение о том, что они могут использоваться только в экранированном помещении определенного типа (см. 5.2.2.3).
Соответствие требованиям 5.1 контролируют путем проверки.
5.2 ЭСПЛУАТАЦИОННЫЕ ДОКУМЕНТЫ
5.2 ЭКСПЛУАТАЦИОННЫЕ ДОКУМЕНТЫ
5.2.1 Руководство по эксплуатации
5.2.1.1 Требования, предъявляемые ко всем ME ИЗДЕЛИЯМ и ME СИСТЕМАМ
Руководство по эксплуатации должно содержать следующую информацию:
a) указание о том, что ME ИЗДЕЛИЕ требует применения специальных мер для обеспечения ЭЛЕКТРОМАГНИТНОЙ СОВМЕСТИМОСТИ и должно быть установлено и введено в эксплуатацию в соответствии с информацией, относящейся к ЭМС, приведенной в ЭКСПЛУАТАЦИОННОЙ ДОКУМЕНТАЦИИ; и
b) указание о том, что применение мобильных радиочастотных средств связи может оказывать воздействие на МЕДИЦИНСКИЕ ЭЛЕКТРИЧЕСКИЕ ИЗДЕЛИЯ.
5.2.1.2 Требования, предъявляемые к ME ИЗДЕЛИЯМ и ME СИСТЕМАМ, имеющим соединители, не подлежащие испытаниям в соответствии с 6.2.2.2 с)
Для ME ИЗДЕЛИЙ и ME СИСТЕМ, имеющих соединители, не подлежащие испытаниям на устойчивость к ЭСР в соответствии с 6.2.2.2 с), руководство по эксплуатации должно содержать следующую информацию:
a) репродукцию знака чувствительности к ЭСР в соответствии с МЭК 60417-5134 (2003-04);
b) предупреждение о том, что к контактам соединителей, маркированных знаком, предупреждающим о чувствительности к ЭСР, нельзя прикасаться и нельзя производить соединение с их помощью без выполнения процедур, предотвращающих воздействие ЭСР;
с) описание процедур, предотвращающих воздействие ЭСР;
d) рекомендацию всему персоналу, привлекаемому к работе с указанными ME ИЗДЕЛИЯМИ и ME СИСТЕМАМИ, быть осведомленным о значении знака, предупреждающего о чувствительности к ЭСР, и обученным процедурам, предотвращающим воздействие ЭСР;
e) требования к обязательному объему знаний и навыков для выполнения процедур, предотвращающих воздействие ЭСР.
5.2.1.3 Минимальная амплитуда или значение физиологического сигнала от ПАЦИЕНТА
Для ME ИЗДЕЛИЙ и ME СИСТЕМ, в которых отсутствует ручное регулирование чувствительности и для которых изготовитель устанавливает минимальную амплитуду или значение физиологического сигнала от ПАЦИЕНТА (см. 6.2.1.7, первый дефис), руководство по эксплуатации должно содержать следующую информацию:
а) минимальную амплитуду или значение физиологического сигнала от ПАЦИЕНТА;
b) предупреждение о том, что функционирование ME ИЗДЕЛИЯ или ME СИСТЕМЫ при меньших амплитуде или значении сигнала может привести к неточным результатам.
5.2.1.4 Требования, предъявляемые к ПРОФЕССИОНАЛЬНЫМ ME ИЗДЕЛИЯМ и ME СИСТЕМАМ ТИПА А
Если ПРОФЕССИОНАЛЬНОЕ ME ИЗДЕЛИЕ ТИПА А или ПРОФЕССИОНАЛЬНАЯ ME СИСТЕМА ТИПА А предназначены для применения в жилых зданиях или подключения к РАСПРЕДЕЛИТЕЛЬНОЙ ЭЛЕКТРИЧЕСКОЙ СЕТИ (см. 6.1.1.1 f)), то руководство по эксплуатации должно содержать следующие предупреждение или эквивалентную информацию.
Предупреждение
Настоящее оборудование/система предназначены для применения исключительно профессионалами в области здравоохранения. Настоящее оборудование/система могут вызвать ухудшение приема радиосигналов и нарушить работу оборудования, расположенного поблизости. В этом случае может быть необходимым принять меры для снижения помех, такие как изменение ориентации, смена места размещения [ME ИЗДЕЛИЯ или ME СИСТЕМЫ] или экранирование места размещения.
Слова «[ME ИЗДЕЛИЕ или ME СИСТЕМА]» должны быть заменены наименованием модели или типа соответствующего ME ИЗДЕЛИЯ или ME СИСТЕМЫ.
Соответствие требованиям 5.2.1 контролируют путем экспертизы руководства по эксплуатации.
5.2.2.1 Требования, предъявляемые ко всем ME ИЗДЕЛИЯМ и ME СИСТЕМАМ
Для всех ME ИЗДЕЛИЙ и ME СИСТЕМ ЭКСПЛУАТАЦИОННАЯ ДОКУМЕНТАЦИЯ должна содержать следующую информацию:
а) перечень всех кабелей с указанием их максимальных длин (при применимости), преобразователей и других ПРИНАДЛЕЖНОСТЕЙ, применением которых ИЗГОТОВИТЕЛЬ ME ИЗДЕЛИЯ или ME СИСТЕМЫ подтверждает соответствие требованиям, установленным в 6.1 и 6.2. ПРИНАДЛЕЖНОСТИ, не влияющие на соответствие указанным подпунктам, не вносят в этот перечень. Сведения о ПРИНАДЛЕЖНОСТЯХ, преобразователях и кабелях, внесенные в перечень, могут быть приведены либо в общем виде (например, путем указания: экранированный кабель, с определенным волновым сопротивлением), либо конкретно (например, путем указания типа и модели или заводского номера компонента);
Примечание — Преобразователи и кабели, поставляемые изготовителем ME ИЗДЕЛИЯ или ME СИСТЕМЫ в качестве сменных частей для внутренних деталей, в перечень не вносят.
b) предупреждение о том, что использование ПРИНАДЛЕЖНОСТЕЙ, преобразователей и кабелей, не указанных в перечне, за исключением преобразователей и кабелей, поставляемых изготовителем ME ИЗДЕЛИЯ или ME СИСТЕМЫ в качестве сменных частей для внутренних деталей, может привести к увеличению ЭЛЕКТРОМАГНИТНОЙ ЭМИССИИ или снижению ПОМЕХОУСТОЙЧИВОСТИ ME ИЗДЕЛИЯ или ME СИСТЕМЫ;
с) таблицу 1 с изменениями, указанными ниже. Эти изменения следует вносить в таблицу в соответствии с порядком, приведенным в тексте. См. примеры в приложении С. Рисунок 1 устанавливает в пошаговой графической форме порядок заполнения таблицы 1 для ME ИЗДЕЛИЙ или ME СИСТЕМ, относящихся к области применения СИСПР 11. Рисунок 2 устанавливает в пошаговой графической форме указанный порядок для изделий, относящихся к области применения СИСПР 14-1 и СИСПР 15. При заполнении таблицы 1 руководствуются следующим:
— для ME ИЗДЕЛИЙ и ME СИСТЕМ, относящихся к области применения СИСПР 11, слова «[ME ИЗДЕЛИЕ или ME СИСТЕМА]» должны быть заменены наименованием МОДЕЛИ ИЛИ ТИПА ME ИЗДЕЛИЯ или ME СИСТЕМЫ;
— для ME ИЗДЕЛИЙ, относящихся к области применения СИСПР 14-1 и СИСПР 15, слово «ME ИЗДЕЛИЕ» должно быть заменено наименованием МОДЕЛИ ИЛИ ТИПА ME ИЗДЕЛИЯ;
— для ME ИЗДЕЛИЙ и ME СИСТЕМ, относящихся к области применения СИСПР 11, группа 1, должны быть удалены ряды 5, 12 и 13;
— для ME ИЗДЕЛИЙ и ME СИСТЕМ, относящихся к области применения СИСПР 11, группа 2, должны быть удалены ряды 4, 12 и 13;
— для ME ИЗДЕЛИЙ, соответствующих требованиям СИСПР 14-1, должны быть удалены ряды 4-6 и 13;
— для ME ИЗДЕЛИЙ, соответствующих требованиям СИСПР 15, должны быть удалены ряды 4-6 и 12;
— для ME ИЗДЕЛИЙ и ME СИСТЕМ, относящихся к области применения СИСПР 11, соответствующих нормам класса А, включая ПРОФЕССИОНАЛЬНЫЕ ME ИЗДЕЛИЕ или ME СИСТЕМУ ТИПА А, слова «[А или В]» в колонке 2 ряда 6 должны быть заменены на «А». Для ME ИЗДЕЛИЙ и ME СИСТЕМ, относящихся к области применения СИСПР 11, соответствующих нормам класса В, слова «[А или В]» должны быть заменены на «В»;
— для ME ИЗДЕЛИЙ и ME СИСТЕМ, соответствующих требованиям МЭК 61000-3-2, слова «[Классы А, В, С, D или Не применяют]» в колонке 2 ряда 7 должны быть заменены обозначением класса ME ИЗДЕЛИЯ или ME СИСТЕМЫ в соответствии с классификацией, установленной в МЭК 61000-3-2. Для ME ИЗДЕЛИЙ и ME СИСТЕМ, соответствующих требованиям МЭК 61000-3-2, слова «[Соответствует или Не применяют]» в колонке 2 ряда 8 должны быть заменены на «[Соответствует]». Для ME ИЗДЕЛИЙ и ME СИСТЕМ, на которые МЭК 61000-3-2 и МЭК 61000-3-2 не распространяются, слова «[Класс А, В, С, D или Не применяют]» и «[Соответствует или Не применяют]» должны быть заменены на «[Не применяют]»;
— для ME ИЗДЕЛИЙ и ME СИСТЕМ, относящихся к области применения СИСПР 11, колонка 3 рядов 6, 7 и 8 должна быть объединена в одну ячейку. Для ME ИЗДЕЛИЙ и ME СИСТЕМ, относящихся к области применения СИСПР 11, соответствующих нормам класса В, а также требованиям МЭК 61000-3-2 и МЭК 61000-3-3, текст в колонке 3 ряда 9 должен быть перемещен в указанную ячейку. Для ПРОФЕССИОНАЛЬНЫХ ME ИЗДЕЛИЙ или ME СИСТЕМ ТИПА А, предназначенных для применения в жилых зданиях или подключения к РАСПРЕДЕЛИТЕЛЬНОЙ ЭЛЕКТРИЧЕСКОЙ СЕТИ, для которых это применение обосновано (5.2.2.10 и 6.1.1.1 f)) и которые также соответствуют требованиям МЭК 61000-3-2 и МЭК 61000-3-3, текст в колонке 3 ряда 10 должен быть перемещен в объединенную ячейку. Для ME ИЗДЕЛИЙ и ME СИСТЕМ, относящихся к области применения СИСПР 11, но не относящихся к области применения МЭК 61000-3-2 и МЭК 61000-3-3, или соответствующих нормам СИСПР 11, класс А, но не соответствующих требованиям к ПРОФЕССИОНАЛЬНЫМ ME ИЗДЕЛИЯМ или ME СИСТЕМАМ ТИПА А, текст колонки 3 ряда 11 должен быть перемещен в объединенную ячейку;
— для ME ИЗДЕЛИЙ, относящихся к области применения СИСПР 14-1 или СИСПР 15, колонка 3 рядов 7 и 8 должна быть объединена в одну ячейку. Для ME ИЗДЕЛИЙ, относящихся к области применения СИСПР 14-1 или СИСПР 15, а также соответствующих требованиям МЭК 61000-3-2 и МЭК 61000-3-3, текст в колонке 3 ряда 9 должен быть перемещен в объединенную ячейку. Для ME ИЗДЕЛИЙ, относящихся к области применения СИСПР 14-1 или СИСПР 15, для которых МЭК 61000-3-2 и МЭК 61000-3-3 не применяются, текст колонки 3 ряда 11 должен быть перемещен в объединенную ячейку;
— для ME ИЗДЕЛИЙ и ME СИСТЕМ, предназначенных для применения только в экранированных помещениях, для которых применен допустимый уровень излучаемых помех и кондуктивных помех на сетевых зажимах в соответствии с 6.1.1.1 d), должен быть добавлен текст, приведенный в 5.2.2.3 b);
— должны быть удалены ряды 9 и 10;
— должна быть удалена нумерация рядов;
d) предупреждение о том, что ME ИЗДЕЛИЕ или ME СИСТЕМУ не следует применять в непосредственной близости или во взаимосвязи с другим оборудованием и, если такое их применение является необходимым, должна быть проведена верификация нормального функционирования ME ИЗДЕЛИЯ или ME СИСТЕМЫ в данной конфигурации;
Примечание — ИЗГОТОВИТЕЛЮ ME ИЗДЕЛИЯ или ME СИСТЕМЫ следует располагать описанием или перечнем оборудования, при совместном использовании или во взаимодействии с которым подтверждено путем испытаний нормальное функционирование ME ИЗДЕЛИЯ или ME СИСТЕМЫ.
е) обоснование каждого УРОВНЯ СООТВЕТСТВИЯ (ТРЕБОВАНИЯМ ПОМЕХОУСТОЙЧИВОСТИ), значение которого ниже, чем значение ИСПЫТАТЕЛЬНОГО УРОВНЯ по МЭК 60601 для испытаний на УСТОЙЧИВОСТЬ к ЭЛЕКТРОМАГНИТНЫМ ПОМЕХАМ различного вида. Эти обоснования должны быть основаны только на физических, технологических или физиологических факторах, влияние которых позволяет применить испытательные уровни, сниженные в сравнении с ИСПЫТАТЕЛЬНЫМИ УРОВНЯМИ по МЭК 60601;
Таблица 1 — Руководство и декларация ИЗГОТОВИТЕЛЯ — ЭЛЕКТРОМАГНИТНАЯ ЭМИССИЯ — для всех ME ИЗДЕЛИЙ и ME СИСТЕМ [см. 5.2.2.1 с)]
Рисунок 1 — Порядок заполнения таблицы 1 для ME ИЗДЕЛИЙ и ME СИСТЕМ, относящихся к области применения СИСПР 11
_______________
* Нумерация рядов, применяемая при внесении изменений, приведена в таблице 1
** Включая ПРОФЕССИОНАЛЬНЫЕ МЕ ИЗДЕЛИЯ или МЕ СИСТЕМЫ ТИПА А
Рисунок 1 — Порядок заполнения таблицы 1 для ME ИЗДЕЛИЙ и ME СИСТЕМ, относящихся к области применения СИСПР 11 [см. 5.2.2.1 с)]
Рисунок 2 — Порядок заполнения таблицы 2 для ME ИЗДЕЛИЙ, относящихся к области применения СИСПР 14 и СИСПР 15
_______________
* Нумерация рядов, применяемая при внесении изменений, приведена в таблице 1
Рисунок 2 — Порядок заполнения таблицы 2 для ME ИЗДЕЛИЙ, относящихся к области применения СИСПР 14 и СИСПР 15 [см. 5.2.2.1 с)]
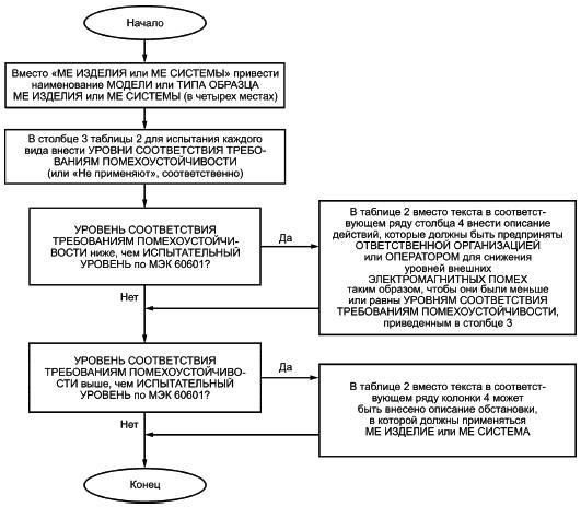
f) таблицу 2, заполненную в соответствии с требованиями, приведенными ниже
. Порядок заполнения таблицы 2 приведен в пошаговой графической форме на рисунке 3. При заполнении таблицы 2 руководствуются следующим:
— слова «ME ИЗДЕЛИЕ или ME СИСТЕМА» должны быть заменены наименованием МОДЕЛИ или ТИПА ME ИЗДЕЛИЯ или ME СИСТЕМЫ;
Примечание — В таблице 2 слова «ME ИЗДЕЛИЕ или ME СИСТЕМА» подлежат замене в четырех местах.
— в колонку 3 таблицы 2 должны быть внесены УРОВНИ СООТВЕТСТВИЯ ТРЕБОВАНИЯМ ПОМЕХОУСТОЙЧИВОСТИ для каждого испытания в соответствии с требованиями, установленными в 5.2.2 и 6.2. Если УРОВЕНЬ СООТВЕТСТВИЯ ТРЕБОВАНИЯМ ПОМЕХОУСТОЙЧИВОСТИ ниже или выше, чем ИСПЫТАТЕЛЬНЫЙ УРОВЕНЬ по МЭК 60601, то он должен совпадать с одним из испытательных уровней, установленных в основополагающем стандарте и ЭМС в области УСТОЙЧИВОСТИ к ЭЛЕКТРОМАГНИТНЫМ ПОМЕХАМ. Если УРОВЕНЬ СООТВЕТСТВИЯ ТРЕБОВАНИЯМ ПОМЕХОУСТОЙЧИВОСТИ находится вне области уровней, установленных в основополагающем стандарте на ЭМС, то действительный УРОВЕНЬ ПОМЕХОУСТОЙЧИВОСТИ должен быть точно определен и округлен до значимого числа. Если в соответствии с 6.2 или областью применения основополагающего стандарта какое-либо требование не применимо для ME ИЗДЕЛИЯ или ME СИСТЕМЫ, или соответствующее испытание невозможно, то в колонках 3 и 4 таблицы 2 должно быть указано, что испытание не применяют;
— для испытаний на УСТОЙЧИВОСТЬ к электростатическим разрядам (ЭСР) (по МЭК 61000-4-2), наносекундным импульсным помехам (по МЭК 61000-4-4), микросекундным импульсным помехам большой энергии (по МЭК 61000-4-5), провалам, кратковременным прерываниям и изменениям напряжения электропитания (по МЭК 61000-4-11), магнитному полю промышленной частоты (по МЭК 61000-4-8):
— если УРОВЕНЬ СООТВЕТСТВИЯ ниже, чем УРОВЕНЬ ИСПЫТАНИЙ на ПОМЕХОУСТОЙЧИВОСТЬ, установленный в 6.2.2, 6.2.4, 6.2.5, 6.2.7 или 6.2.8.1, то вместо текста колонки 4 в соответствующем ряду таблицы 2 может быть внесено описание действий, которые должны быть предприняты ОТВЕТСТВЕННОЙ ОРГАНИЗАЦИЕЙ или ОПЕРАТОРОМ с целью снижения уровней внешних ЭЛЕКТРОМАГНИТНЫХ ПОМЕХ таким образом, чтобы они были ниже или равны УРОВНЮ СООТВЕТСТВИЯ, приведенному в колонке 3;
— если УРОВЕНЬ СООТВЕТСТВИЯ выше, чем УРОВЕНЬ ИСПЫТАНИЙ на ПОМЕХОУСТОЙЧИВОСТЬ, установленный в 6.2.2, 6.2.4, 6.2.5, 6.2.7 или 6.2.8.1, то вместо текста колонки 4 в соответствующем ряду таблицы 2 может быть внесено описание ЭЛЕКТРОМАГНИТНОЙ ОБСТАНОВКИ, для которой пригодны ME ИЗДЕЛИЕ или ME СИСТЕМА;
g) качество функционирования ME ИЗДЕЛИЯ или ME СИСТЕМЫ, которое было определено, должно учитывать ОСНОВНЫЕ ФУНКЦИОНАЛЬНЫЕ ХАРАКТЕРИСТИКИ.
Таблица 2 — Руководство и декларация ИЗГОТОВИТЕЛЯ — ПОМЕХОУСТОЙЧИВОСТЬ — для всех ME ИЗДЕЛИЙ и ME СИСТЕМ [см. 5.2.2.1 f)]
Рисунок 3 — Порядок заполнения таблицы 2
Рисунок 3 — Порядок заполнения таблицы 2 [см. 5.2.2.1 f)]
5.2.2.2 Требования к ME ИЗДЕЛИЯМ и ME СИСТЕМАМ, отличным от применяемых только в экранированных помещениях
Для ME ИЗДЕЛИЙ и ME СИСТЕМ, отличных от предназначенных для применения только в экранированных помещениях, ЭКСПЛУАТАЦИОННАЯ ДОКУМЕНТАЦИЯ должна содержать информацию, указанную ниже.
Применимые таблицы: 3 и 5 или 4 и 6.
Таблицы 3 и 5 должны использоваться для ME ИЗДЕЛИЙ и ME СИСТЕМ ЖИЗНЕОБЕСПЕЧЕНИЯ, таблицы 4 и 6 — для ME ИЗДЕЛИЙ и ME СИСТЕМ, не относящихся к ЖИЗНЕОБЕСПЕЧЕНИЮ. Рисунок 4 устанавливает в пошаговой графической форме порядок заполнения таблиц 3 и 5, рисунок 5 — соответствующий порядок заполнения таблиц 4 и 6. Таблицы должны быть заполнены применительно к испытаниям на ПОМЕХОУСТОЙЧИВОСТЬ при воздействии излучаемых и кондуктивных радиочастотных электромагнитных помех в соответствии с требованиями, установленными ниже
.
_______________
Пример заполнения таблиц см. в приложении С.
а) Слова «ME ИЗДЕЛИЕ или ME СИСТЕМА» должны быть заменены наименованием МОДЕЛИ ИЛИ ТИПА ОБРАЗЦА ME ИЗДЕЛИЯ или ME СИСТЕМЫ.
Примечание — В таблицах 3 и 5 слова «ME ИЗДЕЛИЕ или ME СИСТЕМА» подлежат замене в шести местах, в таблицах 4 и 6 — в четырех местах.
b) В колонку 3 таблиц 3 и 4 должны быть внесены УРОВНИ СООТВЕТСТВИЯ ТРЕБОВАНИЯМ ПОМЕХОУСТОЙЧИВОСТИ в соответствии с требованиями 5.2.2 и 6.2. Если УРОВЕНЬ СООТВЕТСТВИЯ ниже или выше, чем ИСПЫТАТЕЛЬНЫЙ УРОВЕНЬ по МЭК 60601, то он должен совпадать с одним из испытательных уровней, установленных в основополагающем стандарте на ЭМС в области УСТОЙЧИВОСТИ к ЭЛЕКТРОМАГНИТНЫМ ПОМЕХАМ. Если УРОВЕНЬ СООТВЕТСТВИЯ ТРЕБОВАНИЯМ ПОМЕХОУСТОЙЧИВОСТИ находится вне области уровней, установленных в основополагающем стандарте на ЭМС, то реальный УРОВЕНЬ ПОМЕХОУСТОЙЧИВОСТИ должен быть точно определен и округлен до значимого числа.
c) Числовые значения величин
,
и
, приведенных в квадратных скобках в таблицах 3-6, должны быть рассчитаны и округлены до двух значащих цифр. Величины
и
представляют собой УРОВНИ СООТВЕТСТВИЯ ТРЕБОВАНИЯМ ПОМЕХОУСТОЙЧИВОСТИ для испытаний по МЭК 61000-4-6, величина
— указанный УРОВЕНЬ для испытаний по МЭК 61000-4-3. Значения
и
выражают в вольтах, а
— в вольтах на метр. Значение
также необходимо подставить вместо «[
]» в сноске таблицы 3 или 4.
d) В таблицы 5 и 6 соответственно, должно быть внесено числовое значение подсчитанного необходимого пространственного разноса, соответствующего каждой позиции в колонках 2-5 таблицы 5 или в колонках 2-4 таблицы 6. Для подсчета необходимого пространственного разноса используют выражение, приведенное в этой колонке, и значение выходной мощности передатчика, которое приводится в колонке 1 данного ряда. Подсчитанное значение необходимого пространственного разноса должно быть округлено до двух значащих цифр.
e) Если в соответствии с 6.2 или с учетом области применения основополагающего стандарта ЭМС испытание не применяют к ME ИЗДЕЛИЮ или ME СИСТЕМЕ или не представляется возможным проведение указанного испытания применительно к ME ИЗДЕЛИЮ или ME СИСТЕМЕ, то в соответствующем ряду колонки 3 и 4 таблицы 3 или таблицы 4 и в соответствующих ячейках таблицы 5 или таблицы 6 вносят надпись «Не применимо».
Таблица 3 — Руководство и декларация ИЗГОТОВИТЕЛЯ — ПОМЕХОУСТОЙЧИВОСТЬ — для ME ИЗДЕЛИЙ и ME СИСТЕМ ЖИЗНЕОБЕСПЕЧЕНИЯ (см. 5.2.2.2)
Таблица 4 — Руководство и декларация ИЗГОТОВИТЕЛЯ — ПОМЕХОУСТОЙЧИВОСТЬ — для ME ИЗДЕЛИЙ и ME СИСТЕМ, не относящихся к ЖИЗНЕОБЕСПЕЧЕНИЮ (см. 5.2.2.2)
Таблица 5 — Рекомендуемые значения пространственного разноса между портативными и подвижными радиочастотными средствами связи и ME ИЗДЕЛИЕМ или ME СИСТЕМОЙ ЖИЗНЕОБЕСПЕЧЕНИЯ (см. 5.2.2.2)
Таблица 6 — Рекомендуемые значения пространственного разноса между портативными и подвижными радиочастотными средствами связи и ME ИЗДЕЛИЕМ или ME СИСТЕМОЙ, не относящимися к ЖИЗНЕОБЕСПЕЧЕНИЮ (см. 5.2.2.2)
Рисунок 4 — Порядок заполнения таблиц 3 и 5 для ME ИЗДЕЛИЙ и ME СИСТЕМ ЖИЗНЕОБЕСПЕЧЕНИЯ
Рисунок 4 — Порядок заполнения таблиц 3 и 5 для ME ИЗДЕЛИЙ и ME СИСТЕМ ЖИЗНЕОБЕСПЕЧЕНИЯ (см. 5.2.2.2)
Рисунок 5 — Порядок заполнения таблиц 4 и 6 для ME ИЗДЕЛИЙ и ME СИСТЕМ, не относящихся к ЖИЗНЕОБЕСПЕЧЕНИЮ
Рисунок 5 — Порядок заполнения таблиц 4 и 6 для ME ИЗДЕЛИЙ и ME СИСТЕМ, не относящихся к ЖИЗНЕОБЕСПЕЧЕНИЮ (см. 5.2.2.2)
5.2.2.3 Требования к ME ИЗДЕЛИЯМ и ME СИСТЕМАМ, предназначенным для применения только в экранированных помещениях
Для ME ИЗДЕЛИЙ и ME СИСТЕМ, предназначенных для применения только в экранированных помещениях, ЭКСПЛУАТАЦИОННАЯ ДОКУМЕНТАЦИЯ должна содержать следующую информацию:
a) предупреждение о том, что ME ИЗДЕЛИЕ или ME СИСТЕМУ следует применять только в экранированных помещениях установленного типа;
b) если применяются допустимые уровни излучаемых электромагнитных помех или напряжений помех на сетевых линиях в соответствии с 6.1.1.1 d):
— следующий текст, добавленный в колонку 2 ряда таблицы 1, относящегося к ЭМИССИИ радиочастотных помех по СИСПР 11, после или ниже указания класса по СИСПР 11:
«[ME ИЗДЕЛИЕ или ME СИСТЕМА] в комбинации с экранированным помещением», причем вместо слов «[ME ИЗДЕЛИЕ или ME СИСТЕМА] должно быть приведено наименование МОДЕЛИ ИЛИ ТИПА ОБРАЗЦА ME ИЗДЕЛИЯ или ME СИСТЕМЫ;
— следующий текст, приведенный в начале текста в колонке 3 таблицы 1 объединенной ячейки рядов по СИСПР 11, МЭК 61000-2-3 и МЭК 61000-3-3:
«[ME ИЗДЕЛИЕ или ME СИСТЕМА]» должны применяться только в экранированных помещениях с минимальными значениями эффективности радиочастотного экранирования и вносимого затухания радиочастотного помехоподавляющего фильтра для каждого кабеля, выходящего из экранированного помещения, составляющими [эффективность экранирования/характеристика вносимого затухания фильтров]».
При этом вместо выражения «[ME ИЗДЕЛИЕ или ME СИСТЕМА]» должно быть приведено наименование МОДЕЛИ ИЛИ ТИПА ОБРАЗЦА ME ИЗДЕЛИЯ или ME СИСТЕМЫ, а вместо выражения «[эффективность экранирования/характеристика вносимого затухания фильтров]» — минимальные значения эффективности радиочастотного экранирования и вносимого затухания радиочастотных помехоподавляющих фильтров.
Примечание — Это нужно делать также при заполнении таблиц 7 и 8 (см. 5.2.2.3 d).
Приводимые минимальные значения эффективности экранирования и вносимого затухания фильтров должны отвечать следующим требованиям:
— установленные значения эффективности экранирования и вносимого затухания фильтров должны быть выражены в дБ, округлены до ближайшего целого числа и должны составлять не менее 20 дБ;
— значения эффективности экранирования и вносимого затухания фильтров должны быть установлены в определенной полосе частот; указанная полоса частот должна включать не менее одной декады;
— установленные минимальные значения вносимого затухания фильтров должны быть идентичны минимальным значениям эффективности экранирования в каждом интервале полосы частот, для которого они установлены;
— в интервалах полосы частот, для которых минимальные значения эффективности экранирования и вносимого затухания фильтров не установлены или установлены равными или меньшими 20 дБ, в настоящем параллельном стандарте указанные значения принимают равными 0 дБ;
— следующий текст, добавленный с целью замены выражения «[ME ИЗДЕЛИЕ или ME СИСТЕМА] пригодны]» в текст колонки 3 таблицы 1 объединенной ячейки рядов по СИСПР 11, МЭК 61000-3-2 и МЭК 61000-3-3:
«[ME ИЗДЕЛИЕ или ME СИСТЕМА] при установке в таком экранированном помещении пригодны к применению», причем вместо слов «[ME ИЗДЕЛИЕ или ME СИСТЕМА]» должно быть приведено наименование МОДЕЛИ ИЛИ ТИПА ОБРАЗЦА ME ИЗДЕЛИЯ или ME СИСТЕМЫ;
— следующее примечание, приведенное в нижней части таблицы 1:
с) требования к характеристикам ЭЛЕКТРОМАГНИТНОЙ ЭМИССИИ другого оборудования, которое может находиться в экранированном помещении совместно с ME ИЗДЕЛИЕМ или ME СИСТЕМОЙ, перечень разрешенного для совместного применения оборудования или перечень типов запрещенного оборудования [см. 6.2.3.1 с) и 6.2.6.1 с)], а также рекомендацию о том, что предупреждение, содержащее указанную информацию, должно быть размещено при входе в экранированное помещение;
d) применимую таблицу (таблицу 7 или таблицу 8); таблицу 7 применяют для ME ИЗДЕЛИЙ и ME СИСТЕМ ЖИЗНЕОБЕСПЕЧЕНИЯ, таблицу 8 — для ME ИЗДЕЛИЙ и ME СИСТЕМ, не относящихся к ЖИЗНЕОБЕСПЕЧЕНИЮ; таблицы должны быть заполнены в соответствии с приведенными ниже требованиями
:
_______________
Примеры заполнения таблиц 7, 8 см. в приложении С.
— вместо выражения «[ME ИЗДЕЛИЕ или ME СИСТЕМА]» должно быть приведено наименование МОДЕЛИ ИЛИ ТИПА ОБРАЗЦА ME ИЗДЕЛИЯ или ME СИСТЕМЫ;
Примечание — Выражение «ME ИЗДЕЛИЕ или ME СИСТЕМА» в таблицах 7 и 8 подлежит замене в шести местах.
— в колонку 3 таблицы 7 или таблицы 8 соответственно должны быть внесены УРОВНИ СООТВЕТСТВИЯ ТРЕБОВАНИЯМ ПОМЕХОУСТОЙЧИВОСТИ согласно установленным в 5.2.2 и 6.2 Если УРОВЕНЬ СООТВЕТСТВИЯ ТРЕБОВАНИЯМ ПОМЕХОУСТОЙЧИВОСТИ ниже или выше, чем ИСПЫТАТЕЛЬНЫЙ УРОВЕНЬ по МЭК 60601, то он должен совпадать с одним из испытательных уровней, установленных в основополагающем стандарте ЭМС в области УСТОЙЧИВОСТИ к ЭЛЕКТРОМАГНИТНЫМ ПОМЕХАМ. Если УРОВЕНЬ СООТВЕТСТВИЯ ТРЕБОВАНИЯМ ПОМЕХОУСТОЙЧИВОСТИ находится вне области уровней, установленных в основополагающем стандарте на ЭМС, то реальный УРОВЕНЬ ПОМЕХОУСТОЙЧИВОСТИ должен быть точно определен и округлен до значимого числа;
— в колонке 4 таблицы 7 или таблицы 8 соответственно выражение «эффективность экранирования/ характеристика вносимого затухания фильтров» должно быть заменено на числовое значение минимальных эффективности радиочастотного экранирования и вносимого затухания радиочастотных помехоподавляющих фильтров, которые должны отвечать требованиям, установленным выше в перечислении b). Выражение «[соответствующий раздел ЭКСПЛУАТАЦИОННОЙ ДОКУМЕНТАЦИИ]» должно быть заменено ссылкой на раздел в ЭКСПЛУАТАЦИОННОЙ ДОКУМЕНТАЦИИ, где приведена информация, требующаяся в соответствии с 5.2.2.3 с). Вместо выражения «[напряженность поля]» должно быть приведено максимальное значение напряженности поля в В/м, округленное до целого числа, определяемое максимальной выходной мощностью стационарных радиочастотных передатчиков, уменьшенное с учетом установленных минимальных значений эффективности экранирования и вносимого затухания радиочастотных фильтров. При этом значение напряженности поля не должно превышать УРОВЕНЬ СООТВЕТСТВИЯ ТРЕБОВАНИЯМ ПОМЕХОУСТОЙЧИВОСТИ для любого интервала полосы частот. При расчетах значений напряженности поля УРОВНИ СООТВЕТСТВИЯ ТРЕБОВАНИЯМ ПОМЕХОУСТОЙЧИВОСТИ для испытаний по МЭК 61000-4-6 должны быть выражены в В/м;
— в сноске
таблицы 7 или в сноске
таблицы 8 слова «[напряженность поля]» должны быть заменены, как указано выше для колонки 4 этих таблиц.
5.2.2.4 Требования к ME ИЗДЕЛЯМ и ME СИСТЕМАМ, преднамеренно использующим радиочастотную энергию для диагностики или лечения
Для ME ИЗДЕЛИЙ и ME СИСТЕМ, которые преднамеренно используют радиочастотную энергию для диагностики или лечения, ЭКСПЛУАТАЦИОННАЯ ДОКУМЕНТАЦИЯ должна включать указания о том, как исключить или идентифицировать неблагоприятное влияние на другое оборудование, которое может возникнуть при функционировании ME ИЗДЕЛИЯ или ME СИСТЕМЫ.
5.2.2.5 Требования к ME ИЗДЕЛИЯМ и ME СИСТЕМАМ, которые преднамеренно воспринимают радиочастотную электромагнитную энергию при функционировании
Для ME ИЗДЕЛИЙ и ME СИСТЕМ, преднамеренно воспринимающих радиочастотную электромагнитную энергию для обеспечения их функционирования, ЭКСПЛУАТАЦИОННАЯ ДОКУМЕНТАЦИЯ должна содержать следующую информацию:
a) каждую частоту или полосу частот приема, предпочитаемые частоты или полосы частот (при наличии), а также ширину полосы пропускания приемного устройства ME ИЗДЕЛИЯ или ME СИСТЕМЫ в этих полосах частот;
b) предупреждение о том, что нормальное функционирование ME ИЗДЕЛИЯ или ME СИСТЕМЫ может быть нарушено в результате влияния другого оборудования, даже если оно отвечает требованиям к ЭЛЕКТРОМАГНИТНОЙ ЭМИССИИ, установленным в стандартах СИСПР.
5.2.2.6 Требования к ME ИЗДЕЛИЯМ и ME СИСТЕМАМ, в состав которых входят радиочастотные передатчики
Для ME ИЗДЕЛИЙ и ME СИСТЕМ, в состав которых входят радиочастотные передатчики, в ЭКСПЛУАТАЦИОННОЙ ДОКУМЕНТАЦИИ должны быть указаны каждая частота или полоса частот передачи, вид и частотные характеристики применяемой модуляции, а также ЭФФЕКТИВНАЯ ИЗЛУЧАЕМАЯ МОЩНОСТЬ.
Таблица 7 — Руководство и декларация ИЗГОТОВИТЕЛЯ — ПОМЕХОУСТОЙЧИВОСТЬ — для ME ИЗДЕЛИЙ и ME СИСТЕМ ЖИЗНЕОБЕСПЕЧЕНИЯ, предназначенных для применения только в экранированных помещениях [см. 5.2.2.3 d)]
Таблица 8 — Руководство и декларация ИЗГОТОВИТЕЛЯ — ПОМЕХОУСТОЙЧИВОСТЬ — для ME ИЗДЕЛИЙ и ME СИСТЕМ, не относящихся к ЖИЗНЕОБЕСПЕЧЕНИЮ, предназначенных для применения только в экранированных помещениях [см. 5/2/2/3 d)]
5.2.2.7 *Требования к кабелям, преобразователям и другим ПРИНАДЛЕЖНОСТЯМ, которые могут влиять на соответствие требованиям, установленным в 6.1 и 6.2
Для кабелей, преобразователей и других ПРИНАДЛЕЖНОСТЕЙ, которые могут влиять на соответствие требованиям, установленным в 6.1 и 6.2, ЭКСПЛУАТАЦИОННАЯ ДОКУМЕНТАЦИЯ должна содержать следующую информацию:
a) перечень всех образцов ME ИЗДЕЛИЙ и ME СИСТЕМ, использование с которыми указанных ПРИНАДЛЕЖНОСТЕЙ, преобразователей или кабелей будет, по утверждению ИЗГОТОВИТЕЛЯ ПРИНАДЛЕЖНОСТЕЙ, преобразователей или кабелей обеспечивать соответствие требованиям, установленным в 6.1 и 6.2. В перечне следует давать сведения об изготовителях и МОДЕЛИ ИЛИ ТИПЕ образца ME ИЗДЕЛИЯ или ME СИСТЕМЫ;
b) предупреждение о том, что использование ПРИНАДЛЕЖНОСТЕЙ, преобразователей или кабелей с ME ИЗДЕЛИЯМИ и ME СИСТЕМАМИ, не указанными в перечне, может привести к повышенной ЭЛЕКТРОМАГНИТНОЙ ЭМИССИИ или пониженной ПОМЕХОУСТОЙЧИВОСТИ ME ИЗДЕЛИЯ или ME СИСТЕМЫ.
5.2.2.8 Требования к КРУПНОГАБАРИТНЫМ СТАЦИОНАРНЫМ ME ИЗДЕЛИЯМ и ME СИСТЕМАМ
Для КРУПНОГАБАРИТНЫХ СТАЦИОНАРНЫХ ME ИЗДЕЛИЙ и ME СИСТЕМ, к которым применено освобождение от испытаний в соответствии с 6.2.3.2 i), ЭКСПЛУАТАЦИОННАЯ ДОКУМЕНТАЦИЯ должна содержать следующую информацию:
a) указание о том, что ME ИЗДЕЛИЕ или ME СИСТЕМА не испытывались на УСТОЙЧИВОСТЬ к излучаемому радиочастотному электромагнитному полю во всей полосе от 80 МГц до 2,5 ГГц;
b) предупреждение о том, что ME ИЗДЕЛИЕ или ME СИСТЕМА проверялись на УСТОЙЧИВОСТЬ к излучаемому радиочастотному электромагнитному полю только на отдельных выбранных частотах;
c) перечень передающих устройств или оборудования, используемых в качестве источников испытательного радиочастотного электромагнитного поля, а также частот и характеристик модуляции каждого источника.
5.2.2.9 Требования к ME ИЗДЕЛИЯМ и ME СИСТЕМАМ, не обеспечивающим ОСНОВНЫЕ ФУНКЦИОНАЛЬНЫЕ ХАРАКТЕРИСТИКИ
a) Для ME ИЗДЕЛИЙ и ME СИСТЕМ, которые по результатам оценки не обеспечивают ОСНОВНЫЕ ФУНКЦИОНАЛЬНЫЕ ХАРАКТЕРИСТИКИ и которые не испытывались на ПОМЕХОУСТОЙЧИВОСТЬ или для которых КРИТЕРИИ СООТВЕТСТВИЯ ТРЕБОВАНИЯМ ПОМЕХОУСТОЙЧИВОСТИ допускают любое УХУДШЕНИЕ КАЧЕСТВА ФУНКЦИОНИРОВАНИЯ, ЭКСПЛУАТАЦИОННАЯ ДОКУМЕНТАЦИЯ, вместо сведений, установленных в 5.2.2.1 е) и f); 5.2.2.2; 5.2.2.3 с) и d) и 5.2.2.8, должна содержать заявление о том, что ME ИЗДЕЛИЕ или ME СИСТЕМА не испытывались на УСТОЙЧИВОСТЬ к ЭЛЕКТРОМАГНИТНЫМ ПОМЕХАМ;
b) Для ME ИЗДЕЛИЙ и ME СИСТЕМ, которые по результатам оценки не обеспечивают ОСНОВНЫЕ ФУНКЦИОНАЛЬНЫЕ ХАРАКТЕРИСТИКИ и которые были испытаны на ПОМЕХОУСТОЙЧИВОСТЬ при выполнении всех ФУНКЦИЙ, причем КРИТЕРИИ СООТВЕТСТВИЯ ТРЕБОВАНИЯМ ПОМЕХОУСТОЙЧИВОСТИ допускают любое УХУДШЕНИЕ КАЧЕСТВА ФУНКЦИОНИРОВАНИЯ, ЭКСПЛУАТАЦИОННАЯ ДОКУМЕНТАЦИЯ должна содержать информацию, применимую для ME ИЗДЕЛИЯ или ME СИСТЕМЫ, установленную в 5.2.2.1-5.2.2.8.
5.2.2.10 Требования к ПРОФЕССИОНАЛЬНЫМ ME ИЗДЕЛИЯМ и ME СИСТЕМАМ ТИПА А
Для ПРОФЕССИОНАЛЬНЫХ ME ИЗДЕЛИЙ и ME СИСТЕМ ТИПА А, предназначенных для применения в жилых зонах или для подключения к ОБЩЕСТВЕННЫМ ЭЛЕКТРИЧЕСКИМ СЕТЯМ [см. 6.1.1.1 f)], ЭКСПЛУАТАЦИОННАЯ ДОКУМЕНТАЦИЯ должна содержать оправдание несоответствия нормам излучаемых электромагнитных помех группы 2 класса В СИСПР 11 в отношении третьей гармоники основной частоты ME ИЗДЕЛИЯ или ME СИСТЕМЫ. Оправдание должно быть основано на существенных физических, технологических или физиологических ограничениях, которые препятствуют соответствию. ЭКСПЛУАТАЦИОННАЯ ДОКУМЕНТАЦИЯ должна также содержать оправдание того, что ME ИЗДЕЛИЕ или ME СИСТЕМА нуждаются в применении в жилых зонах или в подключении к ОБЩЕСТВЕННЫМ ЭЛЕКТРИЧЕСКИМ СЕТЯМ.
Соответствие требованиям 5.2.2 контролируют путем проверки.
6 Электромагнитная совместимость
6.1 ЭЛЕКТРОМАГНИТНАЯ ЭМИССИЯ
ME ИЗДЕЛИЯ и ME СИСТЕМЫ, за исключением установленных ниже в перечислениях 1)-3), должны быть отнесены к группе 1 или 2 и классу А или Б в соответствии с СИСПР 11, учитывая их ПРИМЕНЕНИЕ ПО НАЗНАЧЕНИЮ, установленное ИЗГОТОВИТЕЛЕМ, и используя положения, приведенные в приложении D. ME ИЗДЕЛИЯ и ME СИСТЕМЫ, отнесенные к определенной группе и классу, должны отвечать требованиям СИСПР 11 с исключениями и пояснениями, установленными ниже в перечислениях d), е) и f).
a) Простые электрические компоненты
ME ИЗДЕЛИЕ, в состав которого входят только простые электрические компоненты, такие как электродвигатели и переключатели, и в котором не используются электронные схемы, генерирующие или использующие частоты свыше 9 кГц (например, некоторые зубные буры, вентиляторы, операционные столы), могут быть отнесены к области применения СИСПР 14.1. Однако отнесение к области применения СИСПР 14.1 ограничено ME ИЗДЕЛИЯМИ, применяемыми автономно и не применяемыми для ME СИСТЕМ или ПОДСИСТЕМ.
b) Световое оборудование
Световое оборудование, применяемое в медицинских целях (например, оборудование для освещения рентгеновских пленок, осветительные приборы для операционных), может быть отнесено к области применения СИСПР 15. Однако отнесение к области применения СИСПР 15 ограничивают ME ИЗДЕЛИЯМИ, применяемыми автономно и не применяемыми для ME СИСТЕМ или ПОДСИСТЕМ.
c) Оборудование информационных технологий (ОИТ)
ОИТ, подключенные к ME ИЗДЕЛИЯМ и ME СИСТЕМАМ, может быть отнесено к области применения СИСПР 22 со следующими ограничениями: ОИТ, относящееся к области применения СИСПР 22 класса Б, может применяться совместно с ME СИСТЕМАМИ, относящимися к области применения СИСПР 11 класса А или Б. ОИТ, относящееся к области применения СИСПР 22 класса А, может применяться только с ME СИСТЕМАМИ, относящимися к области применения СИСПР 11 класса А. См. приложение D.
d) ME ИЗДЕЛИЯ и ME СИСТЕМЫ, предназначенные для применения только в экранированных помещениях:
— для ME ИЗДЕЛИЙ И ME СИСТЕМ, предназначенных для применения только в экранированных помещениях, нормы излучаемых электромагнитных помех по СИСПР 11 могут быть повышены при проведении испытаний на испытательной площадке. Нормы могут быть повышены на величину, равную минимальному значению эффективности радиочастотного экранирования, при условии, что значения минимальной эффективности экранирования отвечают требованиям, установленным в 5.2.2.3 b);
— для ME ИЗДЕЛИЙ И ME СИСТЕМ, предназначенных для применения только в экранированных помещениях, нормы напряжения помех на сетевых зажимах по СИСПР 11 могут быть повышены при проведении испытания на испытательной площадке. Нормы могут быть повышены на величину, равную установленному минимальному значению вносимого затухания радиочастотных помехоподавляющих фильтров для всех кабелей, выходящих из экранированного помещения, при условии, что установленные значения минимального вносимого затухания фильтров отвечают требованиям, установленным в 5.2.2.3 b).
е) МЕ ИЗДЕЛИЯ и ME СИСТЕМЫ, в состав которых входит радиооборудование
ME ИЗДЕЛИЯ и ME СИСТЕМЫ, в состав которых входит радиооборудование и которые по результатам испытаний отвечают применяемым национальным нормам, распространяющимся на средства радиосвязи, не подлежат испытаниям на соответствие нормам ЭЛЕКТРОМАГНИТНЫХ ПОМЕХ, установленным в стандартах СИСПР, при условии, что национальные нормы, распространяющиеся на средства радиосвязи меньше или равны соответствующим применимым нормам ЭЛЕКТРОМАГНИТНЫХ ПОМЕХ стандартов СИСПР. К ME ИЗДЕЛИЯМ и ME СИСТЕМАМ, в состав которых входят радиочастотные передатчики, нормы ЭЛЕКТРОМАГНИТНОЙ ЭМИССИИ, регламентированные в настоящем стандарте, не применяют в установленной полосе частот передатчика. Для ME ИЗДЕЛИЙ и ME СИСТЕМ, предназначенных только для эксплуатации в странах, не имеющих национальных норм, распространяющимся на средства радиосвязи, применяют нормы ЭЛЕКТРОМАГНИТНОЙ ЭМИССИИ, установленные в настоящем стандарте.
f) ПРОФЕССИОНАЛЬНЫЕ ME ИЗДЕЛИЯ и ME СИСТЕМЫ ТИПА А
ПРОФЕССИОНАЛЬНЫЕ ME ИЗДЕЛИЯ и ME СИСТЕМЫ группы 2 по СИСПР 11, предназначенные для применения в жилых зонах или для подключения к ОБЩЕСТВЕННЫМ ЭЛЕКТРИЧЕСКИМ СЕТЯМ, должны соответствовать нормам группы 2 класса В по СИСПР 11 с тем исключением, что третья гармоника основной частоты ME ИЗДЕЛИЯ или ME СИСТЕМЫ может соответствовать нормам излучаемых электромагнитных помех группы 2 класса А по СИСПР 11, при условии, что данное соответствие оправдано на основе:
— существенных физических, технологических или физиологических ограничений, которые препятствуют соответствию нормам излучаемых электромагнитных помех группы 2 класса В СИСПР 11 в отношении третьей гармоники основной частоты ME ИЗДЕЛИЯ или ME СИСТЕМЫ; и
— необходимости применения ME ИЗДЕЛИЯ или ME СИСТЕМЫ в жилых зонах или подключения к ОБЩЕСТВЕННЫМ ЭЛЕКТРИЧЕСКИМ СЕТЯМ.
g) Документация испытаний
Документация испытаний должна содержать методы испытаний, применяемые для подтверждения соответствия требованиям, установленным в настоящем подпункте, и оправдания любых допущений, используемых в настоящем параллельном стандарте. Эта документация должна содержать описание испытуемого ME ИЗДЕЛИЯ или ME СИСТЕМЫ, испытательного оборудования и испытательной установки, сведения о размещении и режимах функционирования испытуемого ME ИЗДЕЛИЯ или ME СИСТЕМЫ, о прокладке кабелей, а также о всех используемых имитаторах и ПРИНАДЛЕЖНОСТЯХ, в том числе применяемых для имитации физиологических параметров ПАЦИЕНТА.
Соответствие проверяют путем проведения испытаний в соответствии с 6.1.1.2.
6.1.1.2 Испытания
Должны быть использованы методы испытаний, установленные в стандартах СИСПР, с исключениями и пояснениями, приведенными ниже в перечислениях а), b) и с).
a) Кабели для подключения к ПАЦИЕНТУ
В качестве кабеля для связи с ПАЦИЕНТОМ рассматривают соединительные кабели в соответствии с требованиями СИСПР 11. Используемая нагрузка кабеля должна быть описана в документации проводимых испытаний. Если для нормального функционирования ME ИЗДЕЛИЯ или ME СИСТЕМЫ требуется имитация физиологических сигналов ПАЦИЕНТА, то при испытаниях указанная имитация должна осуществляться. Во время испытания точка связи с ПАЦИЕНТОМ не должна иметь преднамеренного гальванического или емкостного соединения с землей. Непреднамеренная емкость между точкой связи с ПАЦИЕНТОМ и землей не должна превышать 250 пФ.
b) *Подсистемы
Соответствие требованиям, установленным в СИСПР 11, может быть подтверждено путем испытаний каждой подсистемы, входящей в состав ME СИСТЕМЫ, при условии, что при этом имитируются нормальные условия функционирования.
При проверке нормального функционирования ME ИЗДЕЛИЯ, взаимодействующего с другим изделием при создании ME СИСТЕМЫ, такую проверку осуществляют либо с помощью дополнительного оборудования (представляющего полную ME СИСТЕМУ), либо с использованием имитаторов.
c) КРУПНОГАБАРИТНЫЕ СТАЦИОНАРНЫЕ ME ИЗДЕЛИЯ и ME СИСТЕМЫ
Типовые испытания КРУПНОГАБАРИТНЫХ СТАЦИОНАРНЫХ ME ИЗДЕЛИЙ и ME СИСТЕМ, сконструированных таким образом, что обеспечить функционирование каждой отдельной ПОДСИСТЕМЫ, входящей в состав ME СИСТЕМЫ, не представляется возможным, допускается осуществлять после монтажа в типичных условиях ОТВЕТСТВЕННОЙ ОРГАНИЗАЦИИ или ОПЕРАТОРА в соответствии с требованиями, установленными в 5 и 11.2 СИСПР 11 [1]
.
_______________
Цифры в квадратных скобках относятся к Библиографии.
6.1.2 Защита других изделии от низкочастотных магнитных полей
Требования не применяют.
6.1.3 Защита РАСПРЕДЕЛИТЕЛЬНЫХ ЭЛЕКТРИЧЕСКИХ СЕТЕЙ
6.1.3.1 Гармонические искажения
ME ИЗДЕЛИЯ и ME СИСТЕМЫ, у которых НОМИНАЛЬНОЕ значение потребляемого тока составляет не более 16 А (в одной фазе), предназначенные для подключения к РАСПРЕДЕЛИТЕЛЬНЫМ ЭЛЕКТРИЧЕСКИМ СЕТЯМ, должны отвечать требованиям, установленным в МЭК 61000-3-2. Если для ME ИЗДЕЛИЯ или ME СИСТЕМЫ установлено номинальное значение тока как в установившемся, так и переходном режиме, то для определения применимости требований МЭК 61000-3-2 выбирают наибольшее из указанных двух НОМИНАЛЬНЫХ ЗНАЧЕНИЙ потребляемого тока.
Соответствие проверяют путем проведения следующих испытаний.
6.1.3.1.2 Испытания
Должны быть использованы методы и средства испытаний, установленные в МЭК 61000-3-2.
6.1.3.2 Колебания напряжения и фликер
ME ИЗДЕЛИЯ и ME СИСТЕМЫ, у которых НОМИНАЛЬНОЕ значение потребляемого тока составляет не более 16 А (в одной фазе), предназначенные для подключения к РАСПРЕДЕЛИТЕЛЬНЫМ ЭЛЕКТРИЧЕСКИМ СЕТЯМ, должны отвечать требованиям, установленным в МЭК 61000-3-3. Если для ME ИЗДЕЛИЯ или ME СИСТЕМЫ установлено номинальное значение тока как в установившемся, так и переходном режиме, то для определения применимости требований МЭК 61000-3-3 выбирают наибольшее из указанных двух НОМИНАЛЬНЫХ значений потребляемого тока.
Соответствие проверяют путем проведения следующих испытаний.
6.1.3.2.2 Испытания
Должны быть использованы методы и средства испытаний, установленные в МЭК 61000-3-3.
6.2 ПОМЕХОУСТОЙЧИВОСТЬ
6.2.1.1 ИСПЫТАТЕЛЬНЫЕ УРОВНИ при испытаниях на ПОМЕХОУСТОЙЧИВОСТЬ
В подпункте 6.2 установлены требования к ПОМЕХОУСТОЙЧИВОСТИ, пригодные для ME ИЗДЕЛИЙ и ME СИСТЕМ, предназначенных для применения в типичной ЭЛЕКТРОМАГНИТНОЙ ОБСТАНОВКЕ медицинских учреждений.
Примечание — Для информации, касающейся ЭЛЕКТРОМАГНИТНОЙ ОБСТАНОВКИ, см. приложение F и библиографию.
Пока требования, применимые для ЭЛЕКТРОМАГНИТНОЙ ОБСТАНОВКИ других видов, находятся в разработке, требования, установленные в 6.2.2, должны применяться для ME ИЗДЕЛИЙ и ME СИСТЕМ, используемых в любой ЭЛЕКТРОМАГНИТНОЙ ОБСТАНОВКЕ. Если ожидаемые характеристики ЭЛЕКТРОМАГНИТНОЙ ОБСТАНОВКИ при использовании ME ИЗДЕЛИЯ по назначению свидетельствуют о необходимости более высоких ИСПЫТАТЕЛЬНЫХ УРОВНЕЙ при испытаниях на ПОМЕХОУСТОЙЧИВОСТЬ, то они должны иметь приоритетное значение. Допускается применять в особых случаях более низкие УРОВНИ СООТВЕТСТВИЯ ТРЕБОВАНИЯМ ПОМЕХОУСТОЙЧИВОСТИ при условии, что они обусловлены существенными физическими, технологическими или физиологическими ограничениями [см. 5.2.2.1 е)].
Примечание — Разработчикам частных стандартов следует ссылаться на перечисление а) пункта Е.2 для руководства в отношении этих допущений.
6.2.1.2 Документация испытаний
Документация проводимых испытаний должна содержать: методы испытаний, применяемые для подтверждения соответствия требованиям, установленным в настоящем разделе, и обоснования любых применимых отклонений от требований настоящего стандарта; описание испытуемого ME ИЗДЕЛИЯ или ME СИСТЕМЫ; сведения о применяемых критериях соответствия; описание испытательного оборудования и испытательных установок; сведения о размещении и режиме (режимах) функционирования испытуемых ME ИЗДЕЛИЯ или ME СИСТЕМЫ, а также сведения об используемых имитаторах и ПРИНАДЛЕЖНОСТЯХ, в том числе применяемых для имитации всех физиологических параметров ПАЦИЕНТА.
6.2.1.3 Рабочий режим и конфигурация
Испытания на ПОМЕХОУСТОЙЧИВОСТЬ ME ИЗДЕЛИЯ или ME СИСТЕМЫ проводят при выполнении ими каждой ФУНКЦИИ, связанной с ОСНОВНОЙ БЕЗОПАСНОСТЬЮ или ОСНОВНЫМИ ФУНКЦИОНАЛЬНЫМИ ХАРАКТЕРИСТИКАМИ, в наиболее критическом с точки зрения влияния на здоровье ПАЦИЕНТА режиме. Испытания должны проводиться при типичной конфигурации испытуемого ME ИЗДЕЛИЯ или ME СИСТЕМЫ, дополнительного оборудования, кабелей и ПРИНАДЛЕЖНОСТЕЙ, согласующейся с НОРМАЛЬНЫМ ПРИМЕНЕНИЕМ. Если ME ИЗДЕЛИЕ или ME СИСТЕМА не ПРЕДНАЗНАЧЕНЫ для непрерывной работы, то рабочий режим выбирают таким образом, чтобы он обеспечивал надежную работу в течение всего времени испытаний.
6.2.1.4 Электрические изделия, не относящиеся к ME ИЗДЕЛИЯМ
Электрические изделия, не относящиеся к ME ИЗДЕЛИЯМ, и поставляемые в качестве частей ME СИСТЕМЫ, не подлежат испытаниям на ПОМЕХОУСТОЙЧИВОСТЬ по требованиям, установленным в настоящем параллельном стандарте, при выполнении всех указанных ниже условий (см. также приложение G):
— соответствие электрических изделий, не относящихся к ME ИЗДЕЛИЯМ, применимым международным стандартам в области ПОМЕХОУСТОЙЧИВОСТИ
;
_______________
Например, см. СИСПР 24 для ОИТ, МЭК 61326-1: Оборудование для измерения управления и лабораторного применения.
— обоснование отсутствия влияния ЭЛЕКТРОМАГНИТНОЙ ЭМИССИИ и ПОМЕХОУСТОЙЧИВОСТИ электрических изделий, не относящихся к ME ИЗДЕЛИЯМ, поставляемым в качестве частей ME СИСТЕМЫ, на ОСНОВНУЮ БЕЗОПАСНОСТЬ или ОСНОВНЫЕ ФУНКЦИОНАЛЬНЫЕ ХАРАКТЕРИСТИКИ ME СИСТЕМЫ.
6.2.1.5 ME ИЗДЕЛИЯ и ME СИСТЕМЫ, СВЯЗАННЫЕ С ПАЦИЕНТОМ
ME ИЗДЕЛИЯ и ME СИСТЕМЫ, СВЯЗАННЫЕ С ПАЦИЕНТОМ, должны испытываться таким образом, чтобы электромагнитная обстановка, контролируемая при испытаниях, включала точку связи с ПАЦИЕНТОМ. Точка связи с ПАЦИЕНТОМ не должна иметь преднамеренного кондуктивного или емкостного соединения с землей во время испытаний, если иное не установлено в настоящем стандарте. Следует обеспечить непреднамеренную емкость между точкой связи с ПАЦИЕНТОМ и землей не более 250 пФ.
ME ИЗДЕЛИЯ и ME СИСТЕМЫ, в которых осуществляется регулировка усиления, испытывают при установке максимального усиления, согласующегося с нормальной работой.
Если обычного программного обеспечения ME ИЗДЕЛИЯ или ME СИСТЕМЫ достаточно для выполнения указанного требования, то испытание проводят с его использованием. Если обычного программного обеспечения ME ИЗДЕЛИЯ или ME СИСТЕМЫ недостаточно для выполнения указанного требования, то применяют метод, гарантирующий проведение испытаний при соответствующем рабочем режиме. Может потребоваться использование специального программного обеспечения, которое не должно оказывать влияния на изменения усиления, являющиеся результатом испытаний.
6.2.1.7 Имитация ПАЦИЕНТА
Если для подтверждения нормального функционирования ME ИЗДЕЛИЯ или ME СИСТЕМЫ требуется имитация физиологических сигналов ПАЦИЕНТА, то ее осуществляют при проведении испытаний на ПОМЕХОУСТОЙЧИВОСТЬ. Используемый имитатор не должен вызывать нежелательного кондуктивного или емкостного соединения с землей во время испытаний, если иное не установлено в настоящем параллельном стандарте. Следует обеспечить непреднамеренную емкость между точкой связи с ПАЦИЕНТОМ и землей не более 250 пФ. Перед началом испытаний имитируемый сигнал должен быть установлен в соответствии с указанными ниже требованиями:
— для ME ИЗДЕЛИЙ и ME СИСТЕМ, не имеющих ручной регулировки чувствительности, имитируемый физиологический сигнал ПАЦИЕНТА должен быть установлен на минимальное амплитудное значение, при котором обеспечивается нормальное функционирование, заданное ИЗГОТОВИТЕЛЕМ. Если данное минимальное амплитудное значение, соответствующее нормальному функционированию, устанавливает ИЗГОТОВИТЕЛЬ, то оно должно быть приведено в руководстве по эксплуатации в соответствии с 5.2.1.3. Если указанное значение сигнала не устанавливается ИЗГОТОВИТЕЛЕМ, то имитируемый физиологический сигнал ПАЦИЕНТА должен иметь минимальное амплитудное значение, при котором обеспечивается функционирование ME ИЗДЕЛИЯ или ME СИСТЕМЫ в соответствии с назначением;
— для ME ИЗДЕЛИЙ и ME СИСТЕМ с ручной регулировкой чувствительности имитируемый физиологический сигнал ПАЦИЕНТА должен соответствовать максимальной чувствительности при установке согласно руководству ИЗГОТОВИТЕЛЯ по регулировке чувствительности ME ИЗДЕЛИЯ или ME СИСТЕМЫ.
Если для подтверждения нормального функционирования ME ИЗДЕЛИЯ или ME СИСТЕМЫ нет необходимости в имитации физиологического сигнала ПАЦИЕНТА, то ME ИЗДЕЛИЕ или ME СИСТЕМУ испытывают в соответствии с требованиями, установленными в 6.2.1.3, без имитации физиологического сигнала ПАЦИЕНТА.
6.2.1.8 Испытание в условиях отсутствия информации о выполнении ФУНКЦИЙ
Если выполнение определенной ФУНКЦИИ, связанной с ОСНОВНЫМИ ФУНКЦИОНАЛЬНЫМИ ХАРАКТЕРИСТИКАМИ (например ПОДАЧЕЙ СИГНАЛА ТРЕВОГИ ВЫСОКОГО или СРЕДНЕГО ПРИОРИТЕТА), не представляется возможным наблюдать или нельзя проверить при проведении испытаний, то для определения соответствия во время испытаний применяют метод, позволяющий подтвердить соответствие (например, отображение внутренних параметров). Может потребоваться применение специального программного обеспечения или специального оборудования.
6.2.1.9 Подсистемы
Соответствие требованиям настоящего параллельного стандарта может быть подтверждено путем испытаний каждой ПОДСИСТЕМЫ, входящей в состав ME СИСТЕМЫ, при условии, что при этом имитируются нормальные условия функционирования.
Проверку нормального функционирования ME ИЗДЕЛИЯ, взаимодействующего с другим ИЗДЕЛИЕМ при создании ME СИСТЕМЫ, осуществляют либо с помощью дополнительного оборудования (представляющего полную ME СИСТЕМУ), либо с использованием имитаторов.
6.2.1.10 Критерии соответствия
В соответствии с условиями испытаний на ПОМЕХОУСТОЙЧИВОСТЬ, установленными в 6.2, ME ИЗДЕЛИЕ или ME СИСТЕМА должны обеспечивать ОСНОВНУЮ БЕЗОПАСНОСТЬ и ОСНОВНЫЕ ФУНКЦИОНАЛЬНЫЕ ХАРАКТЕРИСТИКИ. Ниже приведен перечень примеров УХУДШЕНИЯ КАЧЕСТВА ФУНКЦИОНИРОВАНИЯ, связанного с отклонением от ОСНОВНОЙ БЕЗОПАСНОСТИ и ОСНОВНЫХ ФУНКЦИОНАЛЬНЫХ ХАРАКТЕРИСТИК, которые являются недопустимыми:
— отказ элемента системы;
— изменение программируемых параметров;
— наличие неисправностей, установленных изготовителем в эксплуатационной документации;
— изменение рабочего режима;
— ложные тревоги;
— прекращение (отключение) или приостановка выполнения любой выполняемой функции, даже сопровождаемые сигналом тревоги;
— инициирование выполнения любой непредусмотренной функции, включая непредусмотренные и неконтролируемые перемещения, даже сопровождаемое сигналом тревоги;
— достаточно большое значение погрешности отображаемых числовых значений, которое может влиять на процесс диагностики или лечения;
— наложение шума на физиологический сигнал, при котором нельзя отличить сигнал от шума, или нарушение процесса интерпретации физиологического сигнала;
— нарушение работы монитора, при котором изображение, вызванное физиологическим сигналом, маскируется помехой или невозможно распознавание физиологического сигнала;
— нарушение процессов автоматической диагностики или выполнения процедур в ME ИЗДЕЛИЯХ и ME СИСТЕМАХ, предназначенных для диагностики или лечения, даже сопровождаемое сигналом тревоги.
Для ME ИЗДЕЛИЙ и ME СИСТЕМ, выполняющих множественные ФУНКЦИИ, критерии соответствия применяют для каждой отдельной ФУНКЦИИ, параметра и канала.
Допускается УХУДШЕНИЕ КАЧЕСТВА ФУНКЦИОНИРОВАНИЯ ME ИЗДЕЛИЯ или ME СИСТЕМЫ (например, отклонение от технических требований ИЗГОТОВИТЕЛЯ), которое не влияет на ОСНОВНУЮ БЕЗОПАСНОСТЬ или ОСНОВНЫЕ ФУНКЦИОНАЛЬНЫЕ ХАРАКТЕРИСТИКИ.
6.2.1.11 ME ИЗДЕЛИЯ и ME СИСТЕМЫ, в состав которых входит радиооборудование
Применительно к ME ИЗДЕЛИЯМ и ME СИСТЕМАМ, в состав которых входит радиооборудование и применительно к которым в ходе испытаний на ПОМЕХОУСТОЙЧИВОСТЬ при выполнении ФУНКЦИИ радиосвязи было установлено соответствие требованиям применимых национальных норм, радиооборудование не испытывают на соответствие требованиям ПОМЕХОУСТОЙЧИВОСТИ, установленным в настоящем параллельном стандарте. Это возможно, только если требования к ПОМЕХОУСТОЙЧИВОСТИ, установленные в применимых национальных нормах для проведения испытаний, являются более жесткими или соответствуют установленным 6.2.1.1. Для ME ИЗДЕЛИЙ и ME СИСТЕМ, предназначенных для эксплуатации в странах, не имеющих национальных норм, распространяющихся на средства радиосвязи, применяют требования к ПОМЕХОУСТОЙЧИВОСТИ, установленные в настоящем параллельном стандарте.
6.2.2 Электростатические разряды (ЭСР)
ME ИЗДЕЛИЯ и ME СИСТЕМЫ должны соответствовать требованиям, установленным в 6.2.1.10, для ИСПЫТАТЕЛЬНЫХ УРОВНЕЙ ПРИ ИСПЫТАНИЯХ НА ПОМЕХОУСТОЙЧИВОСТЬ ±2, ±4 и ±8 кВ — для воздушного разряда; ±2, ±4 и ±6 кВ — для контактного разряда.
Соответствие подтверждается путем проведения испытаний, установленных в 6.2.2.2, и проверки выполнения требований, установленных в 6.2.1.10, в ходе и после проведения испытаний на основе анализа реакции ME ИЗДЕЛИЯ или ME СИСТЕМЫ на воздействие каждого разряда в отдельности.
6.2.2.2 Испытания
Должны применяться методы испытаний и испытательное оборудование, установленные в МЭК 61000-4-2, со следующими уточнениями.
a) Начальное значение промежутка времени между разрядами должно составлять 1 с. Для того, чтобы распознать реакцию, вызванную либо единичным разрядом, либо последовательностью разрядов, может потребоваться больший промежуток времени.
b) Контактные разряды подают на проводящие ДОСТУПНЫЕ ЧАСТИ ME ИЗДЕЛИЯ или ME СИСТЕМЫ и плоскости связи.
c) Воздушные разряды подают на непроводящие ДОСТУПНЫЕ ЧАСТИ ME ИЗДЕЛИЯ или ME СИСТЕМЫ и проводящие недоступные элементы ДОСТУПНЫХ ЧАСТЕЙ. Если ME ИЗДЕЛИЕ или ME СИСТЕМА маркированы в непосредственной близости к соединителю знаком, используемым для соединителей в соответствии со стандартом МЭК 60417-5134 (2003-04), то испытание соединителя не проводят (см. 5.1.2 и 5.2.1.2).
d) ME ИЗДЕЛИЯ и ME СИСТЕМЫ с ВНУТРЕННИМ ИСТОЧНИКОМ ПИТАНИЯ, ИЗДЕЛИЯ, относящиеся к КЛАССУ II по электробезопасности или содержащие электрические цепи, изолированные от защитного заземления, испытывают таким образом, чтобы не происходило значительного накопления заряда между отдельными испытательными разрядами. Значения потенциала ME ИЗДЕЛИЯ или ME СИСТЕМЫ и потенциала горизонтальной плоскости связи между отдельными испытательными разрядами могут быть выравнены с помощью подключения заземления через два резистора сопротивлением 470 кОм, соединенных последовательно. Соединение, выравнивающее потенциалы, должно быть разъединено и удалено от ME ИЗДЕЛИЯ или ME СИСТЕМЫ во время воздействия испытательного разряда.
e) Испытания ME ИЗДЕЛИЯ или ME СИСТЕМЫ, функционирующих при различных НОМИНАЛЬНЫХ значениях напряжения и частоты электропитания, допускается проводить при одном из НОМИНАЛЬНЫХ значений напряжения и частоты.
6.2.3 Излучаемые радиочастотные электромагнитные поля
6.2.3.1 Требования
a) Общие положения
ME ИЗДЕЛИЯ и ME СИСТЕМЫ, не относящиеся к ME ИЗДЕЛИЯМ и ME СИСТЕМАМ ЖИЗНЕОБЕСПЕЧЕНИЯ, за исключением указанных ниже в перечислении с) или работающих на частотах в ИСКЛЮЧЕННОЙ ПОЛОСЕ ЧАСТОТ, как указано в перечислении d), должны соответствовать требованиям, установленным в 6.2.1.10 для ИСПЫТАТЕЛЬНЫХ УРОВНЕЙ ПРИ ИСПЫТАНИЯХ НА ПОМЕХОУСТОЙЧИВОСТЬ 3 В/м в полосе частот от 80 МГц до 2,5 ГГц.
b) ME ИЗДЕЛИЯ и ME СИСТЕМЫ ЖИЗНЕОБЕСПЕЧЕНИЯ
ME ИЗДЕЛИЯ и ME СИСТЕМЫ ЖИЗНЕОБЕСПЕЧЕНИЯ, за исключением указанных в перечислении с) или работающих на частотах в ИСКЛЮЧЕННОЙ ПОЛОСЕ ЧАСТОТ, как указано в перечислении d), должны соответствовать требованиям, установленным в 6.2.1.10 для ИСПЫТАТЕЛЬНЫХ УРОВНЕЙ ПРИ ИСПЫТАНИЯХ НА ПОМЕХОУСТОЙЧИВОСТЬ 10 В/м в полосе частот от 80 МГц до 2,5 ГГц.
c) ME ИЗДЕЛИЯ и ME СИСТЕМЫ, предназначенные для применения только в экранированных помещениях
ME ИЗДЕЛИЯ и ME СИСТЕМЫ, предназначенные для применения только в экранированных помещениях, за исключением работающих на частотах в ИСКЛЮЧЕННОЙ ПОЛОСЕ ЧАСТОТ, как указано в перечислении d), могут соответствовать требованиям, установленным в 6.2.1.10 для ИСПЫТАТЕЛЬНЫХ УРОВНЕЙ ПРИ ИСПЫТАНИЯХ НА ПОМЕХОУСТОЙЧИВОСТЬ, пониженных относительно испытательных уровней, установленных в перечислении а) или b) соответственно. Это понижение пропорционально применимому минимальному значению эффективности радиочастотного экранирования и вносимого затухания радиочастотных помехоподавляющих фильтров при условии, что эффективность экранирования и вносимое затухание фильтров соответствуют требованиям, установленным в 5.2.2.3 b).
d) ME ИЗДЕЛИЯ и ME СИСТЕМЫ, в состав которых входят приемники радиочастотной электромагнитной энергии
Для ME ИЗДЕЛИЙ и ME СИСТЕМ, которые преднамеренно воспринимают радиочастотную электромагнитную энергию при их функционировании, требования к ОСНОВНЫМ ФУНКЦИОНАЛЬНЫМ ХАРАКТЕРИСТИКАМ, установленные в 6.2.1.10, не применяют при условии, что ME ИЗДЕЛИЕ или ME СИСТЕМА работают на частотах в ИСКЛЮЧЕННОЙ ПОЛОСЕ ЧАСТОТ. Однако ME ИЗДЕЛИЕ или ME СИСТЕМА при работе на частотах в ИСКЛЮЧЕННОЙ ПОЛОСЕ ЧАСТОТ должны быть безопасными и при выполнении других ФУНКЦИЙ должны соответствовать применимым требованиям, установленным выше в перечислении а) или b). ME ИЗДЕЛИЯ и ME СИСТЕМЫ, работающие на частотах вне ИСКЛЮЧЕННОЙ ПОЛОСЫ ЧАСТОТ, должны соответствовать требованиям, установленным в перечислениях а) или b).
Соответствие подтверждается путем проведения испытаний, установленных в 6.2.3.2 и проверки выполнения требований, установленных в 6.2.1.10, в ходе и после проведения испытаний на основе анализа реакции ME ИЗДЕЛИЯ или ME СИСТЕМЫ на воздействие.
6.2.3.2 Испытания
Должны применяться методы испытаний и испытательное оборудование, установленные в МЭК 61000-4-3, со следующими добавлениями и уточнениями.
a) Частота испытательного электромагнитного поля должна плавно перестраиваться или дискретно изменяться в полосе частот от 80 МГц до 2,5 ГГц.
b) Шаги изменения частоты, применяемые при аттестации однородного испытательного поля, не должны превышать 1% от основной частоты.
c) Испытательный сигнал должен быть модулирован по амплитуде при глубине модуляции 80%, частота модуляции устанавливается в соответствии с таблицей 9 в зависимости от ИСПОЛЬЗОВАНИЯ ПО НАЗНАЧЕНИЮ ME ИЗДЕЛИЯ или ME СИСТЕМЫ (формы немодулированных и модулированных колебаний на выходе генератора испытательных сигналов при среднеквадратичном значении немодулированного напряжения 1,0 В приведены на рисунке 1 МЭК 61000-4-3) [6].
ME ИЗДЕЛИЯ и ME СИСТЕМЫ, которые должны испытываться при частоте модуляции 2 Гц, не подлежат испытаниям при частоте 1000 Гц. Для ME ИЗДЕЛИЙ и ME СИСТЕМ, предназначенных для отображения или измерения физиологических параметров, применяют ограничения, относящиеся к ИМИТИРОВАННОЙ ФИЗИОЛОГИЧЕСКОЙ ЧАСТОТЕ, установленные в таблице 9. Для ИЗДЕЛИЙ и СИСТЕМ, предназначенных для контроля физиологических параметров, применяют ограничения, относящиеся к РАБОЧЕЙ ЧАСТОТЕ, установленные в таблице 9.
Таблица 9 — Частота модуляции, ИМИТИРОВАННАЯ ФИЗИОЛОГИЧЕСКАЯ ЧАСТОТА и РАБОЧАЯ ЧАСТОТА
|
|
|
|
|
Ограничения, относящиеся к ИМИТИРОВАННОЙ ФИЗИОЛОГИЧЕСКОЙ ЧАСТОТЕ и РАБОЧЕЙ ЧАСТОТЕ, Гц |
||
|
Контроль, мониторинг или измерение физиологического параметра |
||
d) Метод установления шага изменения частоты и времени задержки (длительности воздействия испытательного электромагнитного поля на каждой частоте) (см. раздел 8 МЭК 61000-4-3).
Значение минимального времени задержки на некоторой частоте должно определяться временем, необходимым для того, чтобы ME ИЗДЕЛИЕ или ME СИСТЕМА, подвергаемые воздействию испытательного электромагнитного поля (если испытания применимы), успевали адекватно среагировать на испытательный сигнал. Значение времени задержки для ME ИЗДЕЛИЙ и ME СИСТЕМ, испытываемых при частоте модуляции 2 Гц, должно составлять не менее 3 с, для всех остальных ME ИЗДЕЛИЙ и ME СИСТЕМ — 1 с. Это время не должно быть меньше времени реакции при выполнении самой медленной ФУНКЦИИ плюс время установления уровня излучаемого поля радиочастотной испытательной системы, применяемой при определении ПОМЕХОУСТОЙЧИВОСТИ. Для ME ИЗДЕЛИЙ и ME СИСТЕМ, в которых осуществляется усреднение получаемых данных во времени и применительно к которым нельзя использовать быстроизменяющиеся сигналы для определения влияния испытательного поля, время задержки должно составлять не менее 1,2 времени усреднения. Если время усреднения является регулируемым, то при определении времени задержки используется такое значение, которое предположительно будет наиболее часто встречаться при клиническом применении ME ИЗДЕЛИЯ или ME СИСТЕМЫ.
Для ME ИЗДЕЛИЙ и ME СИСТЕМ, применительно к которым для определения влияния испытательного поля могут быть использованы быстроизменяющиеся сигналы, время задержки можно уменьшить, если наблюдать за воздействием быстроизменяющихся сигналов. В этом случае время задержки должно быть не меньше времени реакции ME ИЗДЕЛИЯ или ME СИСТЕМЫ на сигнал или времени реакции системы текущего контроля в зависимости от того, что является большим, плюс время установления уровня излучаемого поля радиочастотной испытательной системы, применяемой при определении ПОМЕХОУСТОЙЧИВОСТИ. Оно ни в коем случае не должно быть меньше 3 с для ME ИЗДЕЛИЙ и ME СИСТЕМ, испытываемых при частоте модуляции 2 Гц, и 1 с — для всех остальных ME ИЗДЕЛИЙ и ME СИСТЕМ.
Для ME ИЗДЕЛИЙ и ME СИСТЕМ, характеризующихся рядом отдельных параметров или включающих отдельные подсистемы, для которых применимо индивидуальное значение времени задержки, должно использоваться максимальное значение времени задержки.
В случае шаговой перестройки частоты величина шага не должна превышать 1% основной частоты (значение частоты каждого последующего шага должно быть меньше или равно значению частоты предыдущего шага, умноженному на коэффициент 1,01).
e) Метод непрерывного изменения частоты
Скорость изменения частоты должна быть не более вычисляемой по формуле
где
— время воздействия испытательного электромагнитного поля в секундах, определенное в соответствии с перечислением d) (время воздействия для шагового изменения частоты).
f) Во время аттестации испытательного электромагнитного поля и во время испытаний на ПОМЕХОУСТОЙЧИВОСТЬ объекты, не являющиеся ME ИЗДЕЛИЕМ или ME СИСТЕМОЙ и имитационным оборудованием, не должны находиться в пределах области проведения испытаний или в области между передающей полеобразующей антенной и местом расположения ME ИЗДЕЛИЯ или ME СИСТЕМЫ. Оборудование, необходимое для обеспечения имитации, должно быть, по возможности, выбрано и расположено таким образом, чтобы уменьшить нарушение однородности испытательного поля. Основное внимание должно быть уделено проводящим соединениям ME ИЗДЕЛИЯ или ME СИСТЕМЫ.
g) Условия испытаний ME ИЗДЕЛИЯ или ME СИСТЕМЫ с приемником радиочастотной электромагнитной энергии
Приемная часть, входящая в состав ME ИЗДЕЛИЯ или ME СИСТЕМЫ, должна быть настроена на частоту, предпочтительную для обеспечения его работы. Если у приемной части ME ИЗДЕЛИЯ или ME СИСТЕМЫ отсутствует такая частота, то приемная часть должна быть настроена на среднее значение полосы частот приема, за исключением приемников с распределенным спектром, которые должны работать в нормальном режиме.
h) Кабели, соединяющие ME ИЗДЕЛИЕ или ME СИСТЕМУ с ПАЦИЕНТОМ, используемые во время испытаний, должны быть максимальной длины, установленной ИЗГОТОВИТЕЛЕМ в ЭКСПЛУАТАЦИОННОЙ ДОКУМЕНТАЦИИ. Точка связи с ПАЦИЕНТОМ не должна иметь кондуктивного или емкостного соединения с землей, в том числе и через оборудование, имитирующее физиологический сигнал ПАЦИЕНТА (при его использовании). Значение непреднамеренной емкости между точкой связи с ПАЦИЕНТОМ и землей следует обеспечить не более 250 пФ. Кабели между оборудованием, имитирующим физиологический сигнал ПАЦИЕНТА (при его использовании), и ME ИЗДЕЛИЕМ или ME СИСТЕМОЙ должны находиться на расстоянии 0,1 м от вертикальной плоскости однородного испытательного поля при одной ориентации ME ИЗДЕЛИЯ или ME СИСТЕМЫ
.
_______________
Пример расположения кабелей приведен на рисунке А.
i) Для КРУПНОГАБАРИТНЫХ СТАЦИОНАРНЫХ ME ИЗДЕЛИЙ и ME СИСТЕМ, сконструированных таким образом, что имитировать функционирование ПОДСИСТЕМ не представляется возможным, испытания с применением методов, установленных в МЭК 61000-4-3, не применяют. Типовые испытания указанных КРУПНОГАБАРИТНЫХ СТАЦИОНАРНЫХ ME ИЗДЕЛИЙ и ME СИСТЕМ должны быть проведены либо после монтажа в типичных условиях эксплуатации, либо на открытой измерительной площадке с использованием в качестве источников испытательного электромагнитного поля окружающих радиочастотных источников [например, радиотелефонов (сотовых/беспроводных), переносных радиостанций, других разрешенных передатчиков, применяемые в медицинской практике]. Кроме того, испытания в полосе от 80 МГц до 2,5 ГГц должны осуществляться на частотах, выделенных МСЭ для применения ПНМ ВЧ устройств. Мощность и расстояние от источника должны быть подобраны таким образом, чтобы был обеспечен испытательный уровень, установленный выше в перечислении а). При этом допускается применение существующей модуляции сигналов (например, используемой в радиотелефонах и переносных радиостанциях). Указанное снижение требований к проведению испытаний не должно влиять на соблюдение требований, установленных в 6.2.6 (см. также 5.2.2.8).
j) Испытание ME ИЗДЕЛИЯ или ME СИСТЕМЫ, функционирующих при различных НОМИНАЛЬНЫХ значениях напряжения и частоты электропитания, допускается проводить при одном из НОМИНАЛЬНЫХ ЗНАЧЕНИЙ напряжения и одном из НОМИНАЛЬНЫХ ЗНАЧЕНИЙ частоты.
6.2.4 Наносекундные импульсные помехи
ME ИЗДЕЛИЯ и ME СИСТЕМЫ должны соответствовать требованиям, установленным в 6.2.1,10, для ИСПЫТАТЕЛЬНЫХ УРОВНЕЙ ПРИ ИСПЫТАНИЯХ НА ПОМЕХОУСТОЙЧИВОСТЬ: ±2 кВ — для цепей электропитания переменного тока и постоянного тока; ±1 кВ — для сигнальных и соединительных кабелей. На сигнальные и соединительные кабели, длина которых, установленная изготовителем ME ИЗДЕЛИЯ или ME СИСТЕМЫ, составляет менее 3 м, а также на все кабели, с помощью которых ME ИЗДЕЛИЕ или ME СИСТЕМУ подключают к ПАЦИЕНТУ, помехи не подают. Однако влияние любой связи между кабелями, подвергаемыми и не подвергаемыми испытаниям, должно быть принято во внимание.
Соответствие подтверждается путем проведения указанных ниже испытаний и проверки выполнения требований, установленных в 6.2.4.2, во время и после испытаний на основе анализа реакции ME ИЗДЕЛИЯ или ME СИСТЕМЫ на воздействие.
6.2.4.2 Испытания
Должны применяться методы испытаний и испытательное оборудование, установленные в МЭК 61000-4-4, со следующими уточнениями.
a) На кабели, с помощью которых ME ИЗДЕЛИЕ или ME СИСТЕМУ подключают к ПАЦИЕНТУ, помехи не подают, но они должны быть подключены во время подачи наносекундных импульсных помех на цепи электропитания и другие цепи, подлежащие испытаниям. Кабели, включая точку связи с ПАЦИЕНТОМ, должны быть размещены в пределах испытательной установки и располагаться, по возможности, как при ОБЫЧНОМ ИСПОЛЬЗОВАНИИ. Они не должны быть расположены так, чтобы связь с ними кабелей, подвергаемых воздействию, была больше, чем ожидается при ОБЫЧНОМ ИСПОЛЬЗОВАНИИ.
b) ME ИЗДЕЛИЯ и ME СИСТЕМЫ С ВНУТРЕННИМ ИСТОЧНИКОМ ПИТАНИЯ, не имеющие вводов электропитания переменного и постоянного тока, должны быть испытаны при подаче помех на все кабели, кроме:
— кабелей, подключающих ИЗДЕЛИЕ или СИСТЕМУ к ПАЦИЕНТУ;
— сигнальных и соединительных кабелей, длина которых составляет менее 3 м.
Если в комплектацию ИЗДЕЛИЯ или СИСТЕМЫ входят только сигнальные и соединительные кабели длиной менее 3 м или кабели связи с ПАЦИЕНТОМ, то испытания не проводят.
с) Для тех частей ME ИЗДЕЛИЯ или ME СИСТЕМЫ, с помощью которых ME ИЗДЕЛИЕ или ME СИСТЕМУ подключают к ПАЦИЕНТУ, должны быть соблюдены условия, указанные ниже.
— Для точек связи с ПАЦИЕНТОМ без проводящего контакта к точке связи с ПАЦИЕНТОМ должны быть прикреплены эквивалент руки и зажим М RC-элемента по СИСПР 16-1-2. Металлическая фольга эквивалента руки должна быть подогнана по размеру и расположена таким образом, чтобы охватывать место связи с ПАЦИЕНТОМ при НОРМАЛЬНОМ ИСПОЛЬЗОВАНИИ. Зажим М RC-элемента должен быть соединен с металлической фольгой, другой конец RC-элемента должен быть заземлен.
— Для точек связи с ПАЦИЕНТОМ, имеющих проводящий контакт, зажим М RC-элемента (см. СИСПР 16-1-2) должен быть непосредственно соединен с точкой связи с ПАЦИЕНТОМ, а другой конец — с пластиной заземления. Если при соединении зажима М RC-элемента к точке связи нормальная работа ME ИЗДЕЛИЯ или ME СИСТЕМЫ не может быть обеспечена, то необходимо использовать изоляционный материал максимальной толщиной 5 мм между металлической фольгой эквивалента руки (см. СИСПР 16-1-2) и точкой связи с ПАЦИЕНТОМ. При этом металлическая фольга эквивалента руки должна быть подогнана по размеру и расположена таким образом, чтобы охватывать место связи с ПАЦИЕНТОМ при НОРМАЛЬНОМ ИСПОЛЬЗОВАНИИ. Зажим М RC-элемента должен быть соединен с металлической фольгой, а не с токопроводящим соединением с ПАЦИЕНТОМ. Другой конец RC-элемента должен быть соединен с пластиной заземления в любом случае.
— Для ME ИЗДЕЛИЙ и ME СИСТЕМ, которые имеют несколько точек связи с одним ПАЦИЕНТОМ, к каждой точке связи и к каждой детали связи с ПАЦИЕНТОМ должны быть прикреплены эквиваленты руки, применяемые, как указано выше. Эквиваленты руки должны быть подключены к одному общему соединению, которое, в свою очередь, подключается к зажиму М RC-элемента, как установлено в СИСПР 16-1-2.
Для ME ИЗДЕЛИЙ и ME СИСТЕМ, предназначенных для связи с несколькими ПАЦИЕНТАМИ, эквиваленты руки должны применяться, как указано выше, причем общее соединение и RC-элемент должны использоваться отдельно для каждого ПАЦИЕНТА. При этом для каждого ПАЦИЕНТА должны быть имитированы емкостная связь с ПАЦИЕНТОМ и радиочастотное полное сопротивление связи. Другие концы RC-элементов должны быть соединены с пластиной заземления в любом случае.
— Если имитатор физиологических сигналов ПАЦИЕНТА предназначен для имитации физиологических сигналов, а также емкостной связи с ПАЦИЕНТОМ и радиочастотного полного сопротивления связи, то он должен обеспечивать между границей перехода и пластиной заземления сопротивление, эквивалентное сопротивлению эквивалента руки и RC-элемента, как указано выше.
d) ПОРТАТИВНЫЕ ME ИЗДЕЛИЯ и детали ME ИЗДЕЛИЯ, предназначенные для НОРМАЛЬНОГО ИСПОЛЬЗОВАНИЯ в руках, испытывают с эквивалентом руки, применяемым в соответствии с описанием, приведенным в СИСПР 16-1-2. Металлическая фольга эквивалента руки должна быть подогнана по размеру и расположена таким образом, чтобы охватывать место связи с ОПЕРАТОРОМ при НОРМАЛЬНОМ ИСПОЛЬЗОВАНИИ. Металлическая фольга эквивалента руки должна соединяться с зажимом М RC-элемента (как указано в СИСПР 16-1-2), другой конец RC-элемента должен быть соединен с пластиной заземления.
е) ME ИЗДЕЛИЯ и ME СИСТЕМЫ, которые могут функционировать при различных значениях напряжения электропитания или имеют автоматическую регулировку уровня питающего напряжения, испытывают при минимальном и максимальном НОМИНАЛЬНЫХ значениях напряжения электропитания. Испытания ME ИЗДЕЛИЯ или ME СИСТЕМЫ могут быть проведены при любой из НОМИНАЛЬНЫХ частот питающего напряжения.
f) Для ME ИЗДЕЛИЙ и ME СИСТЕМ, имеющих внутренние батареи для обеспечения аварийного электропитания, должно быть подтверждено, что ME ИЗДЕЛИЕ или ME СИСТЕМА будут продолжать работать от электрической сети после испытаний, установленных в настоящем разделе.
6.2.5 Микросекундные импульсные помехи большой энергии
ME ИЗДЕЛИЯ и ME СИСТЕМЫ должны соответствовать требованиям, установленным в 6.2.1.10, для ИСПЫТАТЕЛЬНЫХ УРОВНЕЙ ПРИ ИСПЫТАНИЯХ НА ПОМЕХОУСТОЙЧИВОСТЬ: ±0,5; ±1 и ±2 кВ — при подаче помехи на цепи электропитания переменного тока по схеме «провод-земля»; ±0,5 и ±1 кВ — при подаче помехи по схеме «провод-провод». Все остальные кабели ME ИЗДЕЛИЯ или ME СИСТЕМЫ не подвергают воздействию помех. Определение соответствия требованиям должно основываться на анализе реакции ME ИЗДЕЛИЯ или ME СИСТЕМЫ применительно к каждому импульсу помехи в отдельности с учетом влияния любой связи между кабелями, которые непосредственно подвергаются испытаниям, и кабелями, на которые помехи не подают.
Соответствие подтверждается путем проведения испытаний, установленных в 6.2.5.2, и проверки выполнения требований, установленных в 6.2.1.10, в ходе и после проведения испытаний на основе анализа реакции ME ИЗДЕЛИЯ или ME СИСТЕМЫ на воздействие каждого импульса в отдельности.
6.2.5.2 *Испытания
Должны применяться методы испытаний и испытательное оборудование, установленные в МЭК 61000-4-5 для проведения испытаний с комбинированными сигналами, со следующими уточнениями.
a) Испытания проводят только при подаче помех на цепи силового электропитания переменного тока и на цепи переменного тока преобразователей «переменный ток — постоянный ток» и зарядных устройств батарей. При этом все кабели ME ИЗДЕЛИЯ и ME СИСТЕМЫ во время испытаний должны быть подсоединены.
b) При испытаниях на каждую линию электропитания подают по пять импульсов помех при каждом из уровней испытательного напряжения, при каждой из полярностей и при фазовых углах подачи помехи 0° или 180°, 90° и 270°.
Примечание — Несмотря на то, что допускается проводить испытания как при 0° так и 180°, испытания проводят только при одном из этих фазовых углов, дополнительно к 90° и 270°.
c) ME ИЗДЕЛИЯ и ME СИСТЕМЫ, в которых не установлены устройства защиты от импульсных перенапряжений в первичной силовой цепи, могут испытываться только при уровнях испытательного напряжения: ±2 кВ — при подаче помехи по схеме «провод-земля»; ±1 кВ — при подаче помехи по схеме «провод-провод». Однако в спорных ситуациях ME ИЗДЕЛИЕ или ME СИСТЕМА должны соответствовать требованиям, установленным в 6.2.5.1, при всех ИСПЫТАТЕЛЬНЫХ УРОВНЯХ.
d) Для ME ИЗДЕЛИЙ и ME СИСТЕМ, относящихся к классу II по электробезопасности, у которых нет заземленных соединений, в проведении испытаний при подаче помехи по схеме «провод-земля» нет необходимости.
e) Для ME ИЗДЕЛИЙ и ME СИСТЕМ с ВНУТРЕННИМ ИСТОЧНИКОМ ПИТАНИЯ, не имеющих дополнительных вводов электропитания переменного или постоянного тока, испытания не проводят.
f) ME ИЗДЕЛИЯ и ME СИСТЕМЫ, которые могут функционировать при различных значениях напряжения электропитания или имеют автоматическую регулировку уровня питающего напряжения, испытывают при минимальном и максимальном НОМИНАЛЬНЫХ значениях напряжения электропитания. Испытания ME ИЗДЕЛИЯ или ME СИСТЕМЫ могут быть проведены при любой из НОМИНАЛЬНЫХ частот питающего напряжения.
g) Для ME ИЗДЕЛИЙ и ME СИСТЕМ, имеющих внутренние батареи для обеспечения аварийного электропитания, должно быть подтверждено, что ME ИЗДЕЛИЕ или ME СИСТЕМА будут продолжать работать от электрической сети после испытаний, установленных в настоящем разделе.
6.2.6 Кондуктивные помехи, наведенные радиочастотными электромагнитными полями
6.2.6.1 *Требования
а) Общие положения
ME ИЗДЕЛИЯ и ME СИСТЕМЫ, не относящиеся к ЖИЗНЕОБЕСПЕЧЕНИЮ, за исключением случаев, установленных ниже в перечислениях с), d) и е), должны соответствовать требованиям, установленным в 6.2.1.10, для ИСПЫТАТЕЛЬНОГО УРОВНЯ ПРИ ИСПЫТАНИЯХ НА ПОМЕХОУСТОЙЧИВОСТЬ 3 В (среднеквадратичное значение) в полосе частот, начиная с начальной частоты, определенной в перечислении f), до частоты 80 МГц.
b) ME ИЗДЕЛИЯ и ME СИСТЕМЫ ЖИЗНЕОБЕСПЕЧЕНИЯ
ME ИЗДЕЛИЯ и ME СИСТЕМЫ ЖИЗНЕОБЕСПЕЧЕНИЯ, за исключением случаев, установленных ниже в перечислениях с), d) и е), должны соответствовать требованиям, установленным в 6.2.1.10, для ИСПЫТАТЕЛЬНЫХ УРОВНЕЙ ПРИ ИСПЫТАНИЯХ НА ПОМЕХОУСТОЙЧИВОСТЬ: 3 В (среднеквадратичное значение) — в полосе частот, начиная с начальной частоты, определенной в перечислении f), до частоты 80 МГц; 10 В (среднеквадратичное значение) — в полосах частот, выделенных для работы ПНМ ВЧ устройств, начиная от начальной частоты, как указано выше, до 80 МГц.
с) ME ИЗДЕЛИЯ и ME СИСТЕМЫ, предназначенные для применения только в экранированных помещениях
ME ИЗДЕЛИЯ и ME СИСТЕМЫ, предназначенные для применения только в экранированных помещениях, за исключением ME ИЗДЕЛИЙ и ME СИСТЕМ, работающих на частотах в ИСКЛЮЧЕННОЙ ПОЛОСЕ ЧАСТОТ, как указано в перечислении d), должны удовлетворять требованиям, установленным в 6.2.1.10, для ИСПЫТАТЕЛЬНЫХ УРОВНЕЙ ПРИ ИСПЫТАНИЯХ НА ПОМЕХОУСТОЙЧИВОСТЬ, пониженных относительно ИСПЫТАТЕЛЬНЫХ УРОВНЕЙ, приведенных выше в перечислении а) или b), пропорционально минимальным значениям эффективности радиочастотного экранирования и вносимого затухания радиочастотных помехоподавляющих фильтров при условии, что эффективность экранирования и вносимое затухание фильтров соответствуют требованиям, установленным в 5.2.2.3 b).
d) ME ИЗДЕЛИЯ и ME СИСТЕМЫ, которые преднамеренно воспринимают радиочастотную электромагнитную энергию при функционировании
Для ME ИЗДЕЛИЙ и ME СИСТЕМ, которые преднамеренно воспринимают радиочастотную электромагнитную энергию при их функционировании, требования к ОСНОВНЫМ ФУНКЦИОНАЛЬНЫМ ХАРАКТЕРИСТИКАМ, установленные в 6.2.1.10, не применяют при условии, что ME ИЗДЕЛИЕ или ME СИСТЕМА работают на частотах в ИСКЛЮЧЕННОЙ ПОЛОСЕ ЧАСТОТ. Однако ME ИЗДЕЛИЕ или ME СИСТЕМА при работе на частотах в ИСКЛЮЧЕННОЙ ПОЛОСЕ ЧАСТОТ должны быть безопасными и при выполнении других ФУНКЦИЙ удовлетворять применимым требованиям, установленным выше в перечислении а) или b). ME ИЗДЕЛИЯ и ME СИСТЕМЫ, работающие на частотах вне ИСКЛЮЧЕННОЙ ПОЛОСЫ ЧАСТОТ, должны соответствовать требованиям, установленным выше в перечислениях а) или b).
e) ME ИЗДЕЛИЯ с ВНУТРЕННИМ ИСТОЧНИКОМ ПИТАНИЯ
К ME ИЗДЕЛИЯМ с ВНУТРЕННИМ ИСТОЧНИКОМ ПИТАНИЯ, которые нельзя использовать по назначению во время заряда батареи, максимального размера менее 1 м, включая максимальную длину всех подключенных кабелей
, не имеющим соединений с землей, телекоммуникационными системами и другими ME ИЗДЕЛИЕМ или ME СИСТЕМОЙ или ПАЦИЕНТОМ, установленные в 6.2.6 требования не предъявляют.
_______________
Примеры определения максимального размера ME ИЗДЕЛИЯ приведены на рисунке А.2.
f) Начальная частота
Начальная частота (нижняя граница полосы частот испытательного сигнала), используемая при вводе помехи в каждый кабель ME ИЗДЕЛИЯ или ME СИСТЕМЫ, должна определяться, как указано ниже:
— для ME ИЗДЕЛИЙ и ME СИСТЕМ с ВНУТРЕННИМ ИСТОЧНИКОМ ПИТАНИЯ, которые нельзя использовать по назначению во время заряда батареи, не подключаемых к цепям электропитания переменного тока и не имеющих соединения с землей, телекоммуникационными системами и другими ME ИЗДЕЛИЕМ или ME СИСТЕМОЙ или ПАЦИЕНТОМ, начальная частота должна определяться в соответствии с рисунком В.1 МЭК 61000-4-6 с использованием максимального размера ME ИЗДЕЛИЯ или ME СИСТЕМЫ, включая максимальную длину каждого подключенного кабеля
;
_______________
Примеры определения максимального размера ME ИЗДЕЛИЯ приведены на рисунке А.2
— для всех остальных ME ИЗДЕЛИЙ и ME СИСТЕМ начальная частота должна быть 150 кГц.
Соответствие подтверждается путем проведения испытаний, установленных в 6.2.6.2, и проверки выполнения требований, установленных в 6.2.1.10, в ходе и после проведения испытаний на основе анализа реакции ME ИЗДЕЛИЯ или ME СИСТЕМЫ на воздействие.
6.2.6.2 Испытания
Должны применяться методы испытаний и испытательное оборудование, установленные в МЭК 61000-4-6 со следующими уточнениями.
а) Следующие положения МЭК 61000-4-6 подлежат изменению или прояснению.
— В МЭК 61000-4-6 повсеместно используются термины «непосредственный ввод помехи» и «ввод помехи с использованием устройства связи/развязки». В настоящем стандарте при использовании термина «непосредственный ввод помехи» подразумевается, что конденсаторы в цепи связи не используются. Термин «устройство связи/развязки (УСР)» используется в настоящем стандарте для обозначения устройства, которое обеспечивает подачу помехи на отдельный конкретный кабель, испытуемый в соответствии с МЭК 61000-4-6, и соответствует этому кабелю независимо от того, применяется ли конденсатор в устройстве связи УСР.
— *Положения, приведенные в 6.2.1.1 МЭК 61000-4-6, последний дефис, не применяют.
— Положения, приведенные в 6.4.1 МЭК 61000-4-6 применяют таким образом, чтобы:
точность калибровки ИСПЫТАТЕЛЬНЫХ УРОВНЕЙ ПРИ ИСПЫТАНИЯХ НА ПОМЕХОУСТОЙЧИВОСТЬ находилась в пределах от — 0 до +25% для линейных величин или от — 0 до +2 дБ для логарифмических величин;
калибровка ИСПЫТАТЕЛЬНЫХ УРОВНЕЙ ПРИ ИСПЫТАНИЯХ НА ПОМЕХОУСТОЙЧИВОСТЬ с применением токовых клещей связи производилась в системе с сопротивлением 150 Ом;
калибровка ИСПЫТАТЕЛЬНЫХ УРОВНЕЙ ПРИ ИСПЫТАНИЯХ НА ПОМЕХОУСТОЙЧИВОСТЬ выполнялась с использованием шаговой перестройки частоты при величине шага, не превышающей 1% основной частоты.
— *Положения 7.1.2 МЭК 61000-4-6 заменяют следующими:
при проведении испытаний помеха должна быть подана, по крайней мере, на один представительный кабель из числа используемых при выполнении ME ИЗДЕЛИЕМ или ME СИСТЕМОЙ каждой ФУНКЦИИ;
все кабели, соединяющие ME ИЗДЕЛИЕ или ME СИСТЕМУ с ПАЦИЕНТОМ, должны быть испытаны либо по отдельности, либо в связке;
входной силовой кабель должен быть испытан;
ПОТЕНЦИАЛОУРАВНИВАЮЩИЙ ПРОВОДНИК должен быть испытан.
— Положения 7.4 МЭК 61000-4-6 должны быть изменены так, чтобы уменьшенный ток, вводимый при этих условиях, был больше или равен регламентированному значению
, причем точность установки тока должна находиться в пределах от — 0 до +25% для линейных величин или от — 0 до +2 дБ для логарифмических величин.
— Альтернативный метод испытаний в соответствии с 7.7 МЭК 61000-4-6 применяют только для ME СИСТЕМ, имеющих единственную установленную конфигурацию.
b) Ко всем кабелям, выбранным для проведения испытаний, для которых имеются в наличии устройства связи/развязки, во время испытаний должны быть подключены УСР. Ко всем УСР, которые не применяются для ввода испытательного сигнала, должна быть подключена нагрузка 50 Ом.
c) Кабели, связывающие ME ИЗДЕЛИЕ или ME СИСТЕМУ с ПАЦИЕНТОМ, испытывают с применением токовых клещей связи. Если токовые клещи связи непригодны, необходимо использовать электромагнитные клещи связи. Для кабелей, связывающих ME ИЗДЕЛИЕ или ME СИСТЕМУ с ПАЦИЕНТОМ, устройства связи/развязки не применяют.
К частям ME ИЗДЕЛИЯ и ME СИСТЕМЫ, обеспечивающим связь с ПАЦИЕНТОМ, во время испытания должны быть подключены нагрузки, как указано ниже. Во всех случаях между точкой ввода помехи и точкой связи с ПАЦИЕНТОМ не должны применяться устройства развязки.
— Для точек связи с ПАЦИЕНТОМ без проводящего контакта к точке связи с ПАЦИЕНТОМ должны быть прикреплены эквивалент руки и зажим М RC-элемента по СИСПР 16-1-2. Металлическая фольга эквивалента руки должна быть подогнана по размеру и расположена таким образом, чтобы охватывать место связи с ПАЦИЕНТОМ при НОРМАЛЬНОМ ИСПОЛЬЗОВАНИИ. Зажим М RC-элемента должен быть соединен с металлической фольгой, другой конец RC-элемента должен быть заземлен.
— Для точек связи с ПАЦИЕНТОМ, имеющих проводящий контакт, зажим М RC-элемента (см. СИСПР 16-1-2) должен быть непосредственно соединен с токопроводящим соединением с ПАЦИЕНТОМ, а другой конец — с пластиной заземления. Если при этом нормальная работа ME ИЗДЕЛИЯ или ME СИСТЕМЫ не может быть обеспечена, то необходимо использовать изоляционный материал максимальной толщиной 5 мм между металлической фольгой эквивалента руки и местом связи с ПАЦИЕНТОМ. При этом металлическая фольга эквивалента руки должна быть подогнана по размеру и расположена таким образом, чтобы охватывать место связи с ПАЦИЕНТОМ при НОРМАЛЬНОМ ИСПОЛЬЗОВАНИИ. Зажим М RC-элемента должен быть соединен с металлической фольгой, а не с токопроводящим соединением с ПАЦИЕНТОМ. Другой конец RC-элемента должен быть соединен с пластиной заземления в любом случае.
— Для ME ИЗДЕЛИЙ и ME СИСТЕМ, которые имеют несколько точек связи с одним ПАЦИЕНТОМ, к каждой точке связи и к каждой детали связи с ПАЦИЕНТОМ должны быть прикреплены эквиваленты руки, применяемые, как указано выше. Эквиваленты руки должны быть подключены к одному общему соединению, которое, в свою очередь, подключается к зажиму М RC-элемента, как установлено в СИСПР 16-1-2.
Для ME ИЗДЕЛИЙ и ME СИСТЕМ, предназначенных для связи с несколькими ПАЦИЕНТАМИ, эквиваленты руки должны применяться, как указано выше, причем общее соединение и RC-элемент должны использоваться отдельно для каждого ПАЦИЕНТА. При этом для каждого ПАЦИЕНТА должны быть имитированы емкостная связь с ПАЦИЕНТОМ и радиочастотное полное сопротивление связи. Другие концы RC-элементов должны быть соединены с пластиной заземления в любом случае.
— Если имитатор физиологических сигналов ПАЦИЕНТА предназначен для имитации физиологических сигналов, а также для емкостной связи с ПАЦИЕНТОМ и радиочастотного полного сопротивления связи, то он должен обеспечивать между границей перехода и пластиной заземления сопротивление, эквивалентное сопротивлению эквивалента руки и RC-элемента.
d) ПОРТАТИВНЫЕ ME ИЗДЕЛИЯ и детали ME ИЗДЕЛИЯ, предназначенные для НОРМАЛЬНОГО ИСПОЛЬЗОВАНИЯ в руках, испытывают с эквивалентом руки, применяемым в соответствии с описанием, приведенным в СИСПР 16-1-2. Металлическая фольга эквивалента руки должна быть подогнана по размеру и расположена таким образом, чтобы охватывать место связи с ОПЕРАТОРОМ при НОРМАЛЬНОМ ИСПОЛЬЗОВАНИИ. Металлическая фольга эквивалента руки должна соединяться с зажимом М RC-элемента, другой конец RC-элемента должен быть соединен с пластиной заземления.
е) Испытания при подаче помехи на ПОТЕНЦИАЛОВЫРАВНИВАЮЩИЙ ПРОВОД проводят с помощью устройства связи/развязки типа М1 CDN (см. рисунок D.2 МЭК 61000-4-6) [8].
f) При вводе в каждый кабель испытательный сигнал должен быть модулирован по амплитуде при глубине модуляции 80%. Частота модуляции устанавливается в соответствии с таблицей 9 [см. 6.2.3.2 с)] в зависимости от ПРЕДПОЛАГАЕМОГО ИСПОЛЬЗОВАНИЯ ME ИЗДЕЛИЯ или ME СИСТЕМЫ (формы немодулированных и модулированных колебаний генератора испытательных сигналов на входе УСР при среднеквадратическом значении немодулированного напряжения 1 В приведены на рисунке 4 МЭК 61000-4-6) [8]. ME ИЗДЕЛИЯ и ME СИСТЕМЫ, которые должны испытываться при частоте модуляции 2 Гц, не подлежат испытаниям при частоте 1000 Гц. Для ME ИЗДЕЛИЙ и ME СИСТЕМ, предназначенных для отображения или измерения физиологических параметров, применяют ограничения, относящиеся к ИМИТИРОВАННОЙ ФИЗИОЛОГИЧЕСКОЙ ЧАСТОТЕ и установленные в таблице 9. Для ME ИЗДЕЛИЙ и ME СИСТЕМ, предназначенных для контроля физиологических параметров, применяют ограничения, относящиеся к РАБОЧЕЙ ЧАСТОТЕ, установленные в таблице 9.
g) Метод установления шага изменения частоты и времени задержки на каждой частоте (см. раздел 8 МЭК 61000-4-6) [8].
Значение минимального времени задержки на некоторой частоте должно определяться временем, необходимым для того, чтобы ME ИЗДЕЛИЕ или ME СИСТЕМА, подвергаемые воздействию испытательного электромагнитного поля (если испытания применимы), успевали адекватно среагировать на испытательный сигнал. Значение времени задержки для ME ИЗДЕЛИЙ и ME СИСТЕМ, испытываемых при частоте модуляции 2 Гц, должно составлять не менее 3 с, для всех остальных ME ИЗДЕЛИЙ и ME СИСТЕМ — 1 с. Оно не должно быть меньше времени реакции при выполнении самой медленной ФУНКЦИИ плюс время установления уровня излучаемого поля радиочастотной испытательной системы, применяемой при определении ПОМЕХОУСТОЙЧИВОСТИ. Для ME ИЗДЕЛИЙ и ME СИСТЕМ, в которых осуществляется усреднение получаемых данных во времени и применительно к которым нельзя использовать быстроизменяющиеся сигналы для определения влияния испытательного поля, время задержки должно составлять не менее 1,2 времени усреднения. Если время усреднения является регулируемым, то при определении времени задержки используется такое значение, которое предположительно будет наиболее часто встречаться при клиническом применении ME ИЗДЕЛИЯ или ME СИСТЕМЫ.
Для ME ИЗДЕЛИЙ и ME СИСТЕМ, применительно к которым для определения влияния испытательного поля могут быть использованы быстроизменяющиеся сигналы, время задержки можно уменьшить, если наблюдать за воздействием быстроизменяющихся сигналов. В этом случае время задержки должно быть не меньше времени реакции ME ИЗДЕЛИЯ или ME СИСТЕМЫ на сигнал или времени реакции системы текущего контроля в зависимости от того, что является большим, плюс время установления уровня излучаемого поля радиочастотной испытательной системы, применяемой при определении ПОМЕХОУСТОЙЧИВОСТИ. Время задержки ни в коем случае не должно быть меньше 3 с для ME ИЗДЕЛИЙ и ME СИСТЕМ, испытываемых при частоте модуляции 2 Гц, и 1 с — для всех остальных ME ИЗДЕЛИЙ и ME СИСТЕМ.
Для ME ИЗДЕЛИЙ и ME СИСТЕМ, характеризующихся рядом отдельных параметров или включающих отдельные подсистемы, для которых применимо индивидуальное значение времени задержки, должно использоваться максимальное значение времени задержки.
В случае шаговой перестройки частоты величина шага не должна превышать 1% основной частоты (значение частоты каждого последующего шага должно быть меньше или равно значению частоты предыдущего шага, умноженному на коэффициент 1,01).
h) Метод непрерывного изменения частоты
Скорость изменения частоты должна быть не более вычисляемой по формуле
где
— время воздействия помехи в секундах, определенное в соответствии с перечислением g) (время воздействия для шагового изменения частоты).
i) Условия испытаний ME ИЗДЕЛИЯ или ME СИСТЕМЫ с приемником радиочастотной электромагнитной энергии
Приемная часть, входящая в состав ME ИЗДЕЛИЯ или ME СИСТЕМЫ, должна быть настроена на частоту, предпочтительную для обеспечения его работы. Если у приемной части ME ИЗДЕЛИЯ или ME СИСТЕМЫ отсутствует такая частота, то приемная часть должна быть настроена на среднее значение полосы частот приема, за исключением приемников с распределенным спектром, которые должны работать в нормальном режиме.
j) Испытание ME ИЗДЕЛИЯ или ME СИСТЕМЫ, функционирующих при различных НОМИНАЛЬНЫХ значениях напряжения и частоты электропитания, допускается проводить при одном из НОМИНАЛЬНЫХ ЗНАЧЕНИЙ напряжения и частоты.
6.2.7 Провалы, кратковременные прерывания и изменения напряжения входных линий электропитания
a) ME ИЗДЕЛИЯ и ME СИСТЕМЫ с НОМИНАЛЬНЫМ значением входной мощности не более 1 кВА, а также все ME ИЗДЕЛИЯ и ME СИСТЕМЫ ЖИЗНЕОБЕСПЕЧЕНИЯ должны соответствовать требованиям, установленным в 6.2.1.10, для ИСПЫТАТЕЛЬНЫХ УРОВНЕЙ ПРИ ИСПЫТАНИЯХ НА ПОМЕХОУСТОЙЧИВОСТЬ, установленных в таблице 10. Для ME ИЗДЕЛИЙ и ME СИСТЕМ, не относящихся к ЖИЗНЕОБЕСПЕЧЕНИЮ, у которых НОМИНАЛЬНОЕ значение входной мощности составляет более 1 кВА, а НОМИНАЛЬНОЕ значение потребляемого тока не превышает 16 А (в одной фазе), допускаются отклонения от требований, установленных в 6.2.1.10, для ИСПЫТАТЕЛЬНЫХ УРОВНЕЙ ПРИ ИСПЫТАНИЯХ НА ПОМЕХОУСТОЙЧИВОСТЬ по таблице 10. Соответствующие условия: по результатам проведенных испытаний ME ИЗДЕЛИЕ или ME СИСТЕМА остаются безопасными; отсутствуют отказы компонентов; существует возможность восстановления состояния, предшествующего испытаниям при вмешательстве ОПЕРАТОРА. Для ME ИЗДЕЛИЙ и ME СИСТЕМ, не относящихся к ЖИЗНЕОБЕСПЕЧЕНИЮ и для которых НОМИНАЛЬНОЕ значение потребляемого тока превышает 16 А (в одной фазе), испытания, установленные в таблице 10, не проводят.
Таблица 10 — ИСПЫТАТЕЛЬНЫЕ УРОВНИ ПРИ ИСПЫТАНИЯХ НА УСТОЙЧИВОСТЬ к провалам напряжения
b) Допускаются отклонения ME ИЗДЕЛИЙ и ME СИСТЕМ от требований, установленных в 6.2.1.10, для ИСПЫТАТЕЛЬНЫХ УРОВНЕЙ ПРИ ИСПЫТАНИЯХ НА ПОМЕХОУСТОЙЧИВОСТЬ, установленных в таблице 11. Соответствующие условия: по результатам проведенных испытаний ME ИЗДЕЛИЕ или ME СИСТЕМА остаются безопасными; отсутствуют отказы компонентов; существует возможность восстановления состояния, предшествующего испытаниям при вмешательстве ОПЕРАТОРА
ME ИЗДЕЛИЯ и ME СИСТЕМЫ ЖИЗНЕОБЕСПЕЧЕНИЯ, для которых допускаются отклонения от требований, установленных в 6.2.1.10, должны в соответствии с применимыми международными стандартами обеспечивать подачу сигнала тревоги для индикации прекращения или нарушения выполнения назначенной ФУНКЦИИ, связанной с ОСНОВНЫМИ ФУНКЦИОНАЛЬНЫМИ ХАРАКТЕРИСТИКАМИ.
Соответствие подтверждается путем проведения испытаний, установленных в 6.2.7.2, проверки выполнения требований, установленных в 6.2.1.10, в ходе и после проведения испытаний на основе анализа реакции ME ИЗДЕЛИЯ или ME СИСТЕМЫ на воздействие и допустимости отклонений, указанных в перечислениях а) и b).
Таблица 11 — ИСПЫТАТЕЛЬНЫЙ УРОВЕНЬ ПРИ ИСПЫТАНИЯХ НА УСТОЙЧИВОСТЬ к прерываниям напряжения
6.2.7.2 Испытания
Должны применяться методы испытаний и испытательное оборудование, установленные в МЭК 61000-4-11, со следующими уточнениями.
a) Изменения напряжения при испытаниях должны происходить скачкообразно при переходе напряжения через нуль. Для многофазных ME ИЗДЕЛИЙ и ME СИСТЕМ условие перехода через нулевой уровень должно выполняться применительно к той фазе, где проводится испытание на провал напряжения, и применительно ко всем фазам, если проводится испытание на прерывание напряжения.
b) ME ИЗДЕЛИЯ и ME СИСТЕМЫ с питанием от источника постоянного тока, предназначенные для использования совместно с преобразователями «постоянный ток — переменный ток», испытывают вместе с преобразователем, отвечающим требованиям, установленным ИЗГОТОВИТЕЛЕМ ME ИЗДЕЛИЯ или ME СИСТЕМЫ. При этом ИСПЫТАТЕЛЬНЫЕ УРОВНИ ПРИ ИСПЫТАНИЯХ НА ПОМЕХОУСТОЙЧИВОСТЬ относят к входам переменного тока преобразователя.
c) Испытания ME ИЗДЕЛИЙ и ME СИСТЕМ, которые могут функционировать при различных значениях напряжения или имеют автоматическую регулировку уровня, проводят при минимальном и максимальном НОМИНАЛЬНЫХ значениях питающего напряжения. Испытания должны выполняться при минимальном НОМИНАЛЬНОМ значении частоты электропитания.
d) Для ME ИЗДЕЛИЙ и ME СИСТЕМ, имеющих внутренние батареи для обеспечения аварийного электропитания, должно быть подтверждено, что ME ИЗДЕЛИЕ или ME СИСТЕМА будут продолжать работать от электрической сети после испытаний, установленных в таблицах 10 и 11.
6.2.8.1 Магнитные поля промышленной частоты
ME ИЗДЕЛИЯ и ME СИСТЕМЫ должны соответствовать требованиям, установленным в 6.2.1.10 для ИСПЫТАТЕЛЬНОГО УРОВНЯ ПРИ ИСПЫТАНИЯХ НА ПОМЕХОУСТОЙЧИВОСТЬ 3 А/м.
Соответствие подтверждается путем проведения испытаний, установленных в 6.2.8.1.2, и проверки выполнения требований, установленных в 6.2.1.10, в ходе и после проведения испытаний на основе анализа реакции ME ИЗДЕЛИЯ или ME СИСТЕМЫ на воздействие.
6.2.8.1.2 Испытания
Должны применяться методы испытаний и испытательное оборудование, установленные в МЭК 61000-4-11, со следующими уточнениями.
а) Испытания проводят только при длительном режиме генерации магнитного поля и выполнении следующих условий:
— испытания должны проводиться при частотах 50 и 60 Гц, за исключением ME ИЗДЕЛИЙ и ME СИСТЕМ, предназначенных для применения только при одном из значений частоты электрической сети и испытываемых при этом значении частоты. Во всех случаях во время испытаний ME ИЗДЕЛИЯ или ME СИСТЕМЫ частота магнитного поля должна соответствовать частоте питающей сети;
— если ME ИЗДЕЛИЕ или ME СИСТЕМА работают от внутреннего источника питания или от внешнего источника постоянного тока, то испытания проводят при частотах 50 и 60 Гц, за исключением ME ИЗДЕЛИЙ и ME СИСТЕМ, предназначенных для применения в странах с определенным значением частоты электропитания, испытываемых при этом значении частоты.
b) Испытания ME ИЗДЕЛИЯ или ME СИСТЕМЫ, функционирующих при различных НОМИНАЛЬНЫХ значениях напряжения электропитания, могут быть проведены при одном из НОМИНАЛЬНЫХ значений напряжения.
6.2.8.2 *Импульсные магнитные поля
Требования не устанавливают.
6.2.8.3 Затухающие колебательные магнитные поля
Требования не устанавливают.
6.2.9 Кондуктивные помехи в полосе частот от 0 Гц до 150 кГц
Требования не устанавливают.
6.2.10 *Колебательные помехи
Требования не устанавливают.
6.2.11 Гармоники и интергармоники, включая сигналы, передаваемые в силовой сети и воздействующие на входной порт электропитания
Требования не устанавливают.
6.2.12 Пульсация напряжения электропитания постоянного тока
Требования не устанавливают.
6.2.13 Несимметрия напряжений в трехфазных электрических сетях
Требования не устанавливают.
6.2.14 Изменения частоты питающего напряжения
Применяют требования, относящиеся к частоте питающего напряжения, установленные в общем стандарте.
Приложение А (справочное). Общее руководство и обоснования
А.1 Общее руководство
Настоящий параллельный стандарт применяется к ME ИЗДЕЛИЯМ и ME СИСТЕМАМ. Для целей настоящего параллельного стандарта ME СИСТЕМА включает те ПРИНАДЛЕЖНОСТИ, которые необходимы для функционирования ME СИСТЕМЫ, как установлено ИЗГОТОВИТЕЛЕМ. Следует напомнить пользователю стандарта о том, что ME СИСТЕМА может содержать ME ИЗДЕЛИЕ, используемое в комбинации с другим ME ИЗДЕЛИЕМ или с другим электрическим изделием, которое не является ME ИЗДЕЛИЕМ (см. определение 3.64 в МЭК 60601-10).
А.2 Обоснование для конкретных пунктов и подпунктов
Ниже приведены обоснования для конкретных пунктов и подпунктов настоящего параллельного стандарта с указанием номеров пунктов и подпунктов, аналогичных указанным в тексте документа.
Подпункт 1.1 — Область применения
Область применения настоящего стандарта включает ОБОРУДОВАНИЕ ИНФОРМАЦИОННЫХ ТЕХНОЛОГИЙ (ОИТ), используемое в ME СИСТЕМАХ, с учетом определения термина ME СИСТЕМА. Настоящий параллельный стандарт не следует применять без изменений к имплантируемым ME ИЗДЕЛИЯМ.
Оборудование, образующее существующую электрическую/электронную инфраструктуру (например, имеющиеся локальные сети, сети телефонной связи, силовые электрические сети), не подлежит испытаниям в области ЭМС в соответствии с требованиями, установленными в настоящем параллельном стандарте, в качестве части ME СИСТЕМЫ. Однако влияние указанной электрической/электронной инфраструктуры должно рассматриваться как часть ОЦЕНКИ РИСКОВ в соответствии с ИСО 14971, а электрическая/электронная инфраструктура, функционирующая в качестве составной части ME СИСТЕМЫ, должна имитироваться при осуществлении испытаний. Оборудование, поставляемое ИЗГОТОВИТЕЛЕМ ME СИСТЕМЫ и предназначенное для подключения к ME СИСТЕМЕ с помощью существующей электрической/электронной инфраструктуры, должно отвечать требованиям настоящего параллельного стандарта. Однако, если локальные сети или сети телефонной связи поставляются ИЗГОТОВИТЕЛЕМ ME СИСТЕМЫ в качестве составной части ME СИСТЕМЫ, их следует подвергать испытаниям в области ЭМС в соответствии с требованиями, установленными в настоящем параллельном стандарте, как часть ME СИСТЕМЫ.
Термин 3.2 — УХУДШЕНИЕ (качества функционирования)
В настоящем параллельном стандарте определение термина, приведенное в Международном электротехническом словаре (IEV), было изменено путем замены выражения «устройство, оборудование или система» выражением «ME ИЗДЕЛИЕ или ME СИСТЕМА».
Термин 3.3 — ЭФФЕКТИВНАЯ ИЗЛУЧАЕМАЯ МОЩНОСТЬ
Для того, чтобы примечание к термину, приведенное в IEV, сделать более понятным, его формулировка в настоящем стандарте изменена. Примечание к термину IEV 161-04-16 приведено в следующем виде:
«Примечание — Для Международного союза электросвязи и в главе 712 термин «эффективная излучаемая мощность» без оговорки используется только когда эталонная антенна является полуволновым диполем».
Термин 3.5 — ЭЛЕКТРОМАГНИТНАЯ ПОМЕХА
В настоящем параллельном стандарте, распространяющемся на ME ИЗДЕЛИЯ И ME СИСТЕМЫ, неприемлемо считать, что ЭЛЕКТРОМАГНИТНАЯ ПОМЕХА может «неблагоприятно воздействовать на живую (или неживую) материю». В результате указанный текст, содержащийся в определении термина IEV 161-01-05, не был сохранен при отсутствии каких-либо других изменений текста.
Термин 3.10 — ИСКЛЮЧЕННАЯ ПОЛОСА ЧАСТОТ
Это определение приведено с учетом европейских телекоммуникационных стандартов ETC 300 220 и ETC 300 741.
Термин 3.11 — ФУНКЦИЯ
Ниже приведены примеры ФУНКЦИЙ ME ИЗДЕЛИЯ или ME СИСТЕМЫ:
— ФУНКЦИИ монитора, отображающего ритм биения сердца, включая измерение и отображение сердечного ритма. Возможны дополнительное подключение звукового и визуального сигналов тревоги и отображение электрокардиограммы (ЭКГ);
— ФУНКЦИИ наружного автоматического дефибриллятора, осуществляющего анализ ЭКГ и дефибрилляцию. Возможно также дополнительное осуществление мониторинга ЭКГ, кардиостимуляции и записи показаний приборов.
Термин 3.13 — УСТОЙЧИВОСТЬ (К ЭЛЕКТРОМАГНИТНОЙ ПОМЕХЕ), ПОМЕХОУСТОЙЧИВОСТЬ)
В настоящем параллельном стандарте определение термина, приведенное в IEV, было изменено путем замены выражения «устройство, оборудование или система» выражением «ME ИЗДЕЛИЕ или ME СИСТЕМА».
Термин 3.17 — КРУПНОГАБАРИТНЫЕ ME ИЗДЕЛИЕ или ME СИСТЕМА
Выбор предельных размеров, указанных в данном определении, осуществлялся на основании ограничений, накладываемых типовым испытательным оборудованием. Во внимание принимались и физические ограничения размеров дверей, и области однородного поля.
Термин 3.18 — ME ИЗДЕЛИЕ или ME СИСТЕМА ЖИЗНЕОБЕСПЕЧЕНИЯ
ME ИЗДЕЛИЯ и ME СИСТЕМЫ, используемые для поддержания жизни ПАЦИЕНТА, в том числе для приведения в сознание ПАЦИЕНТА, отличаются от ME ИЗДЕЛИЙ и ME СИСТЕМ других видов требованиями, предъявляемыми к активному вмешательству с целью поддержания жизнедеятельности организма.
Термин 3.19 — НИЗКОЕ НАПРЯЖЕНИЕ
Определение термина «НИЗКОЕ НАПРЯЖЕНИЕ» соответствует определению термина IEV 601-01-26 («набор уровней напряжения, используемых для распределения электрической энергии, верхний предел которых, как правило, составляет 1000 В переменного тока»), и области действия Директивы ЕС 73/23/ЕЕС [15] («Низковольтная директива»), распространяющейся на оборудование, предназначенное для использования при напряжении в пределах от 50 до 1000 В переменного тока и от 75 до 1500 В постоянного тока.
Термин 3.20 — РАБОЧАЯ ЧАСТОТА
Например, РАБОЧАЯ ЧАСТОТА (основная) для оборудования вентиляции легких может составлять 0,1 Гц (частота — 6 вдохов-выдохов в 1 мин). Сигнал может также содержать гармонические составляющие, чтобы правильно воспроизводить форму волны респираторного цикла человека.
Термин 3.21 — ME ИЗДЕЛИЕ или ME СИСТЕМА, СВЯЗАННЫЕ С ПАЦИЕНТОМ
Данное определение не включает механические неэлектрические средства поддержки ПАЦИЕНТА (например, поручни для кровати, шины).
Термин 3.22 — ИМИТИРОВАННАЯ ФИЗИОЛОГИЧЕСКАЯ ЧАСТОТА
Например, имитированная частота (основная) для монитора ЭКГ может составлять 0,92 Гц (сердечный ритм — 55 ударов в 1 мин). Сигнал может также содержать гармонические составляющие частотой до нескольких сотен герц для обеспечения формы сигнала, копирующей форму сигнала человека.
Термин 3.23 — ПРОФЕССИОНАЛЬНЫЕ ME ИЗДЕЛИЯ или ME СИСТЕМЫ
В настоящем параллельном стандарте определение термина, приведенное в IEV, было изменено путем замены выражения «оборудование» на «ME ИЗДЕЛИЕ или ME СИСТЕМА», замены выражения «в торговле, профессиональной деятельности или в отраслях промышленности» на «для использования профессионалами здравоохранения», а также исключения примечания. Примечание было исключено потому, что ПРОФЕССИОНАЛЬНЫЕ ME ИЗДЕЛИЕ или ME СИСТЕМА ТИПА А, которые предназначены для применения в жилых зонах и подключения к общественным электрическим сетям, должны быть идентифицированы как предназначенные для использования профессионалами здравоохранения, но не как «профессиональное оборудование».
Область применения, соответствующая выражению «для использования профессионалами здравоохранения», является более узкой, чем область применения, соответствующая выражению «под медицинским наблюдением». В настоящем параллельном стандарте применимость допущений, установленных в 6.1.1.1 f), ограничена для ПРОФЕССИОНАЛЬНЫХ ME ИЗДЕЛИЙ или ME СИСТЕМ ME ИЗДЕЛИЯМИ и ME СИСТЕМАМИ, непосредственно применяемыми профессионалами здравоохранения. В противоположность этому выражение «под медицинским наблюдением» включает в себя любые ME ИЗДЕЛИЯ или ME СИСТЕМЫ, предписанные для профессионалов здравоохранения, даже если они функционируют под управлением ПАЦИЕНТОВ или другой категории лиц, в отсутствие профессионалов здравоохранения.
Термин 3.24 — РАСПРЕДЕЛИТЕЛЬНАЯ ЭЛЕКТРИЧЕСКАЯ СЕТЬ
Ссылка на РАСПРЕДЕЛИТЕЛЬНУЮ ЭЛЕКТРИЧЕСКУЮ СЕТЬ, как на «распределительную электрическую сеть, питающую жилые дома» содержится в таблице 1 для согласования с определением, приведенным в СИСПР 11, учитывая, что таблицы предназначены для ОТВЕТСТВЕННОЙ ОРГАНИЗАЦИИ или ОПЕРАТОРА, которые, возможно, не знакомы с указанным стандартом и определениями, приведенными в нем. «РАСПРЕДЕЛИТЕЛЬНАЯ ЭЛЕКТРИЧЕСКАЯ СЕТЬ» названа в СИСПР 11 «низковольтной сетью электроснабжения, от которой получают питание здания, предназначенные для жилых целей» и «источником электропитания жилых зданий», в МЭК 61000-3-2 и МЭК 61000-3-3 названа «общественной системой электропитания», «общественной низковольтной системой» и «общественной низковольтной распределительной системой».
Термин 3.25 — РАДИОЧАСТОТА
Это определение приведено с учетом определения термина «радиочастота» (при передаче данных) в стандарте ANSI/IEEE 100:1996 [12].
Подпункт 4.1.14 — ЭЛЕКТРОМАГНИТНАЯ СОВМЕСТИМОСТЬ
Соответствие указанным требованиям подтверждается выполнением требований, установленных в настоящем параллельном стандарте. Соответствие требованию о недопустимости создания ME ИЗДЕЛИЯМИ и ME СИСТЕМАМИ ЭЛЕКТРОМАГНИТНЫХ ПОМЕХ, которые могли бы воздействовать на работу радиослужб, другое оборудование или влиять на ОСНОВНЫЕ ФУНКЦИОНАЛЬНЫЕ ХАРАКТЕРИСТИКИ других ME ИЗДЕЛИЙ или ME СИСТЕМ, подтверждается выполнением требований, установленных в пункте 5 и в 6.1. Соответствие требованию адекватной устойчивости ME ИЗДЕЛИЯ или ME СИСТЕМЫ к ЭЛЕКТРОМАГНИТНЫМ ПОМЕХАМ для обеспечения ОСНОВНОЙ БЕЗОПАСНОСТИ и ОСНОВНЫХ ФУНКЦИОНАЛЬНЫХ ХАРАКТЕРИСТИК подтверждается выполнением требований, установленных в пункте 5 и в 6.1.
Подпункт 4.2 — УСЛОВИЕ ЕДИНИЧНОГО НАРУШЕНИЯ для ME ИЗДЕЛИЯ
Определенные УСЛОВИЯ ЕДИНИЧНОГО НАРУШЕНИЯ для ME ИЗДЕЛИЯ могут привести к значительному неблагоприятному воздействию на характеристики ЭМС ME ИЗДЕЛИЯ или ME СИСТЕМЫ. Некоторые методы обеспечения ЭМС направляют ПОМЕХИ к земле или рассеивают их с помощью компонентов цепей. Если в процессе испытаний в области ЭМС имитируется разрыв ПРОВОДНИКА ЗАЩИТНОГО ЗАЗЕМЛЕНИЯ или отказ компонента в фильтре ЭЛЕКТРОМАГНИТНЫХ ПОМЕХ, то обеспечение соответствия требованиям ЭМС настоящего параллельного стандарта может быть крайне затруднено. Следовательно, испытания в области ЭМС должны быть выполнены при НОРМАЛЬНЫХ УСЛОВИЯХ и в отсутствие УСЛОВИЙ ЕДИНИЧНОГО НАРУШЕНИЯ для ME ИЗДЕЛИЯ.
Если ЭЛЕКТРОМАГНИТНЫЕ ПОМЕХИ, установленные в настоящем параллельном стандарте в качестве ИСПЫТАТЕЛЬНЫХ УРОВНЕЙ ПРИ ИСПЫТАНИЯХ НА ПОМЕХОУСТОЙЧИВОСТЬ, будут рассматриваться как УСЛОВИЯ ЕДИНИЧНОГО НАРУШЕНИЯ для ME ИЗДЕЛИЙ, то положение 4.2 может интерпретироваться как означающее, что испытания на помехоустойчивость ME ИЗДЕЛИЯ или ME СИСТЕМЫ не подлежат проведению. Учитывая, что такие испытания рассматриваются как репрезентативные в обстановке применения ME ИЗДЕЛИЙ и ME СИСТЕМ, ИСПЫТАТЕЛЬНЫЕ УРОВНИ ПРИ ИСПЫТАНИЯХ НА ПОМЕХОУСТОЙЧИВОСТЬ, установленные в настоящем параллельном стандарте [а также в частных стандартах (МЭК 60601-1-2-Х) (в «частях 2» стандарта) и в стандартах ИСО, основанных на МЭК 60601-1, на которые приведены ссылки в настоящем параллельном стандарте], не следует рассматривать как УСЛОВИЯ ЕДИНИЧНОГО НАРУШЕНИЯ для ME ИЗДЕЛИЙ в контексте положений 4.2.
Возможно, что УСЛОВИЕ ЕДИНИЧНОГО НАРУШЕНИЯ для ME ИЗДЕЛИЯ может возникнуть в комбинации с ожидаемой ЭЛЕКТРОМАГНИТНОЙ ПОМЕХОЙ, которая приводит к возникновению ОПАСНОСТИ. В противоположность этому УСЛОВИЕ ЕДИНИЧНОГО НАРУШЕНИЯ для ME ИЗДЕЛИЯ может возникнуть в устройстве для защиты от ЭЛЕКТРОМАГНИТНОЙ ПОМЕХИ, которая может привести к возникновению ОПАСНОСТИ. Эти ОПАСНОСТИ следует рассматривать в ПРОЦЕССАХ МЕНЕДЖМЕНТА РИСКОВ.
Подпункт 5.1.1 — Маркировка на наружных поверхностях ME ИЗДЕЛИЯ или частей ME ИЗДЕЛИЯ, включающих радиочастотные передатчики или преднамеренно использующих радиочастотную электромагнитную энергию для диагностики или лечения
ME ИЗДЕЛИЯ, использующие радиочастотную электромагнитную энергию для диагностики или лечения, обычно относятся к группе 2 по СИСПР 11. Это неприменимо к ME ИЗДЕЛИЯМ и ME СИСТЕМАМ, выполняющим ФУНКЦИИ наблюдения и контроля (например, мониторам дыхания).
Подпункт 5.2.1.2 с) — описание процедур, предотвращающих воздействие ЭСР
Персонал должен быть осведомлен о том, что к доступным контактам соединителей, маркированным знаком, предупреждающим о чувствительности к ЭСР, нельзя прикасаться руками или ручным ИНСТРУМЕНТОМ без выполнения процедур, предотвращающих воздействие ЭСР.
К указанным процедурам, предотвращающим воздействие ЭСР, относятся:
— применение методов, предотвращающих создание электростатического заряда (например, кондиционирование воздуха, увлажнение, применение проводящих покрытий пола, одежды из несинтетического материала);
— разряд накопленного на теле человека электростатического заряда через корпус ME ИЗДЕЛИЯ или ME СИСТЕМЫ, или через землю, или через любой большой металлический предмет;
— электрическое соединение с ME ИЗДЕЛИЕМ или ME СИСТЕМОЙ или землей при помощи металлической ленты на запястье.
Подпункт 5.2.1.2 d) — рекомендацию всему персоналу, привлекаемому к работе с…., быть осведомленным…
Персонал, который может прикасаться к соединителям, маркированным знаком, предупреждающим о чувствительности к ЭСР, следует обучить процедурам, предотвращающим воздействие ЭСР. Это относится к клиническому/биомедицинскому инженерному персоналу и санитарному персоналу.
Подпункт 5.2.1.2 е) — требования к обязательному объему знаний и навыков для выполнения процедур, предотвращающих воздействие ЭСР
Обучение выполнению процедур, предотвращающих воздействие ЭСР, должно включать: ознакомление с процессами накопления электростатических зарядов и уровнями напряжений, имеющими место в обычной практике; предоставление сведений о возможных повреждениях электронных компонентов, которые могут быть вызваны ОПЕРАТОРОМ (несущим электростатический заряд) в результате прикосновения к ним. Затем должны быть объяснены процедуры предотвращения создания электростатического заряда, в том числе, как и зачем необходимо перед установлением соединения разрядить накопленный на теле человека заряд: путем заземления напрямую с землей или через корпус ME ИЗДЕЛИЯ или ME СИСТЕМЫ; подключения при помощи специального ремня на запястье к ME ИЗДЕЛИЮ или ME СИСТЕМЕ или к земле до того, как произвести соединение.
Подпункт 5.2.1.4 — Требования, предъявляемые к ПРОФЕССИОНАЛЬНЫМ ME ИЗДЕЛИЯМ и ME СИСТЕМАМ ТИПА А
Если использование ПРОФЕССИОНАЛЬНЫХ ME ИЗДЕЛИЙ и ME СИСТЕМ ТИПА А в жилых зонах или их подключение к РАСПРЕДЕЛИТЕЛЬНЫМ ЭЛЕКТРИЧЕСКИМ СЕТЯМ может быть обосновано, то такое использование может привести к возникновению влияния помех. Поэтому необходимо поставить в известность ОПЕРАТОРА о такой возможности и предложить способы исключения влияния помех.
Подпункты 5.2.2.1 а) и b) — перечень всех кабелей и предупреждение о том, что использование…
Использование ПРИНАДЛЕЖНОСТЕЙ, кабелей и преобразователей, которые не были сконструированы для применения с ME ИЗДЕЛИЕМ или ME СИСТЕМОЙ, может привести к существенному повышению ЭЛЕКТРОМАГНИТНОЙ ЭМИССИИ и снижению ПОМЕХОУСТОЙЧИВОСТИ. Следовательно, предупреждение о недопустимости использования ПРИНАДЛЕЖНОСТЕЙ, кабелей и преобразователей, не перечисленных в ЭКСПЛУАТАЦИОННОЙ ДОКУМЕНТАЦИИ, является необходимым для обеспечения применения ME ИЗДЕЛИЯ или ME СИСТЕМЫ по назначению.
Подпункт 5.2.2.1 с) — Таблицу 1 с изменениями…
До тех пор, пока ME ИЗДЕЛИЯ и ME СИСТЕМЫ не будут иметь очень высокий уровень ПОМЕХОУСТОЙЧИВОСТИ (например, уровни УСТОЙЧИВОСТИ: к радиочастотному электромагнитному полю — 200 В/м, к ЭСР — 35 кВ) и низкий уровень ЭЛЕКТРОМАГНИТНОЙ ЭМИССИИ (например, соответствующий группе 1 класса В по СИСПР 11), ОТВЕТСТВЕННАЯ ОРГАНИЗАЦИЯ или ОПЕРАТОР всегда будут вынуждены осуществлять контроль ЭЛЕКТРОМАГНИТНОЙ ОБСТАНОВКИ. Таблицы и другие указания, которые должны содержаться в ЭКСПЛУАТАЦИОННОЙ ДОКУМЕНТАЦИИ, предоставляют ОТВЕТСТВЕННОЙ ОРГАНИЗАЦИИ или ОПЕРАТОРУ информацию, необходимую для определения пригодности ME ИЗДЕЛИЯ или ME СИСТЕМЫ к использованию в конкретной ЭЛЕКТРОМАГНИТНОЙ ОБСТАНОВКЕ и для управления параметрами ЭЛЕКТРОМАГНИТНОЙ ОБСТАНОВКИ. ME ИЗДЕЛИЕ или ME СИСТЕМА должны функционировать, не оказывая влияния на другие ME ИЗДЕЛИЕ или ME СИСТЕМУ или немедицинское электрическое оборудование.
Подпункт 5.2.2.1 е) — обоснование каждого УРОВНЯ СООТВЕТСТВИЯ (ТРЕБОВАНИЯМ ПОМЕХОУСТОЙЧИВОСТИ), значение которого ниже…
Обоснование для применения пониженных УРОВНЕЙ СООТВЕТСТВИЯ необходимо включить в ЭКСПЛУАТАЦИОННУЮ ДОКУМЕНТАЦИЮ, чтобы сообщить ОТВЕТСТВЕННОЙ ОРГАНИЗАЦИИ или ОПЕРАТОРУ о том, что существуют физические, технологические или физиологические ограничения способности ME ИЗДЕЛИЯ или ME СИСТЕМЫ функционировать в соответствии с назначением в присутствии ЭЛЕКТРОМАГНИТНЫХ ПОМЕХ. Обеспечению управления ЭЛЕКТРОМАГНИТНОЙ ОБСТАНОВКОЙ также будет способствовать указание о важности дополнительных рекомендаций, приведенных в таблицах.
Для испытаний на ПОМЕХОУСТОЙЧИВОСТЬ по МЭК 61000-4-11 «пониженные УРОВНИ СООТВЕТСТВИЯ» означают меньшую длительность провалов и прерываний напряжения или меньшую глубину провала напряжения.
Подпункт 5.2.2.1 f) — таблицу 2, заполненную в соответствии с требованиями…
До тех пор, пока ME ИЗДЕЛИЯ и ME СИСТЕМЫ не будут иметь очень высокий уровень ПОМЕХОУСТОЙЧИВОСТИ (например, уровни УСТОЙЧИВОСТИ: к радиочастотному электромагнитному полю — 200 В/м, к ЭСР — 35 кВ), ОТВЕТСТВЕННАЯ ОРГАНИЗАЦИЯ или ОПЕРАТОР всегда будут вынуждены осуществлять контроль ЭЛЕКТРОМАГНИТНОЙ ОБСТАНОВКИ. Таблицы, которые должны содержаться в ЭКСПЛУАТАЦИОННОЙ ДОКУМЕНТАЦИИ, предоставляют ОТВЕТСТВЕННОЙ ОРГАНИЗАЦИИ или ОПЕРАТОРУ информацию, необходимую для определения пригодности ME ИЗДЕЛИЯ или ME СИСТЕМЫ при использовании в конкретной ЭЛЕКТРОМАГНИТНОЙ ОБСТАНОВКЕ и для управления параметрами ЭЛЕКТРОМАГНИТНОЙ ОБСТАНОВКИ. ME ИЗДЕЛИЕ или ME СИСТЕМА должны функционировать в соответствии с назначением.
Подпункт 5.2.2.1 f), второй дефис — в колонку 3 таблицы 2 должны быть внесены…
Ограничения в отношении более низких или более высоких требуемых УРОВНЕЙ СООТВЕТСТВИЯ ТРЕБОВАНИЯМ ПОМЕХОУСТОЙЧИВОСТИ необходимы для того, чтобы установленные более низкие или более высокие УРОВНИ СООТВЕТСТВИЯ отличались от ИСПЫТАТЕЛЬНЫХ УРОВНЕЙ по МЭК 60601 на величину, которая является существенной в отношении ЭМС.
Несмотря на то, что при испытаниях на ПОМЕХОУСТОЙЧИВОСТЬ применимы воздействия всех видов, испытания не проводят, если ME ИЗДЕЛИЕ или ME СИСТЕМА не соответствуют области применения основополагающего стандарта на ЭМС. В 6.2 установлено, в каких случаях испытание является неприменимым или его проведение невозможно применительно к конкретному ME ИЗДЕЛИЮ или ME СИСТЕМЕ. Например, метод испытаний, установленный в МЭК 61000-4-11, неприменим к ME ИЗДЕЛИЯМ с ВНУТРЕННИМ ИСТОЧНИКОМ ПИТАНИЯ, которые не подключают к электрической сети.
Подпункт 5.2.2.1 f), третий дефис — для испытаний на УСТОЙЧИВОСТЬ…
Если УРОВЕНЬ СООТВЕТСТВИЯ (ТРЕБОВАНИЯМ ПОМЕХОУСТОЙЧИВОСТИ) равен ИСПЫТАТЕЛЬНОМУ УРОВНЮ по МЭК 60601, установленному в настоящем параллельном стандарте для каждого испытания на ПОМЕХОУСТОЙЧИВОСТЬ, то колонку 4 таблицы 2 следует оставить без изменений. Для испытаний на ПОМЕХОУСТОЙЧИВОСТЬ, применительно к которым УРОВЕНЬ СООТВЕТСТВИЯ является обоснованно более низким, чем ИСПЫТАТЕЛЬНЫЙ УРОВЕНЬ по МЭК 60601, установленный в настоящем параллельном стандарте, пример текста для колонки 4 таблицы 2 приведен ниже. Если УРОВЕНЬ СООТВЕТСТВИЯ выше ИСПЫТАТЕЛЬНОГО УРОВНЯ по МЭК 60601, установленного в настоящем параллельном стандарте для испытаний на ПОМЕХОУСТОЙЧИВОСТЬ, то ИЗГОТОВИТЕЛЬ ME ИЗДЕЛИЯ или ME СИСТЕМЫ может использовать существующий в колонке 4 таблицы 2 текст без изменений либо описать характеристики ЭЛЕКТРОМАГНИТНОЙ ОБСТАНОВКИ, в которой могут быть применены по назначению ME ИЗДЕЛИЕ или ME СИСТЕМА благодаря более высокой ПОМЕХОУСТОЙЧИВОСТИ. Примеры текста для колонки 4 таблицы 2 для ME ИЗДЕЛИЙ или ME СИСТЕМ, УРОВЕНЬ СООТВЕТСТВИЯ которых превышает ИСПЫТАТЕЛЬНЫЙ УРОВЕНЬ по МЭК 60601, приведены ниже (см. 6.2.2, Электростатические разряды (ЭСР) и 6.2.7, Провалы, кратковременные прерывания и изменения напряжения входных линий электропитания).
— К 6.2.2, Электростатические разряды.
Например, если заявлен и обоснован испытательный уровень 2 по МЭК 61000-4-2 (±4 кВ при контактном разряде и ±4 кВ при воздушном разряде), то, возможно, потребуется рекомендовать применение антистатических материалов или эксплуатацию оборудования при повышенной относительной влажности воздуха. Если требуется испытательный уровень 4 по МЭК 61000-4-2 (±8 кВ при контактном разряде и ±15 кВ при воздушном разряде), то ME ИЗДЕЛИЕ или ME СИСТЕМА могут применяться при низкой влажности воздуха.
— К 6.2.4, Наносекундные импульсные помехи
Например, если заявлен и обоснован более низкий УРОВЕНЬ СООТВЕТСТВИЯ, то, возможно, потребуется рекомендовать применение фильтров на входных линиях электропитания или обеспечить минимальное разнесение сигнальных и силовых кабелей.
— К 6.2.5, Микросекундные импульсные помехи большой энергии
Например, если заявлен и обоснован более низкий УРОВЕНЬ СООТВЕТСТВИЯ ТРЕБОВАНИЯМ ПОМЕХОУСТОЙЧИВОСТИ, то, возможно, потребуется рекомендовать применение устройств защиты от импульсных перенапряжений.
— К 6.2.7, Провалы, кратковременные прерывания и изменения напряжения входных линий электропитания
Для этих испытаний понятие «более низкий УРОВЕНЬ СООТВЕТСТВИЯ» означает меньшую продолжительность провалов или прерываний напряжения электропитания, или меньшую глубину провалов напряжения.
Аналогично понятие «более высокие УРОВНИ СООТВЕТСТВИЯ» означает большую продолжительность провалов или прерываний напряжения электропитания, или больший уровень провалов напряжения.
Если заявлен и обоснован более низкий УРОВЕНЬ СООТВЕТСТВИЯ, то, возможно, потребуются дополнительные рекомендации относительно устройств бесперебойного питания, батарей или другого оборудования, обеспечивающего регулирование мощности.
Для ME ИЗДЕЛИЙ и ME СИСТЕМ с внутренним источником питания (батареей), которые могут соответствовать более высокому ИСПЫТАТЕЛЬНОМУ УРОВНЮ при испытаниях на УСТОЙЧИВОСТЬ к прерываниям напряжения по МЭК 61000-4-11, текст в колонке 4 таблицы 2 может быть соответственно изменен. Если, например, оборудование для вентиляции легких отвечает требованиям, установленным в 6.2.1.10 при ИСПЫТАТЕЛЬНОМ УРОВНЕ при ИСПЫТАНИЯХ НА ПОМЕХОУСТОЙЧИВОСТЬ <5%
продолжительностью 24 ч, то текст в колонке 4 таблицы 2 может быть заменен на следующий (или аналогичный):
«Следует обеспечить соответствие качества электрической энергии типичным условиям коммерческой или больничной обстановки. При прерывании напряжения электропитания [ME ИЗДЕЛИЕ или ME СИСТЕМА] могут непрерывно функционировать в течение 24 ч при условии, что батареи были полностью заряжены перед прерыванием напряжения».
— К 6.2.8.1, Магнитное поле промышленной частоты
Например, если заявлен и обоснован более низкий УРОВЕНЬ СООТВЕТСТВИЯ, то, возможно, понадобится расположить ME ИЗДЕЛИЕ или ME СИСТЕМУ дальше от источника магнитного поля промышленной частоты или применить магнитное экранирование.
Подпункт 5.2.2.2 — Требования к ME ИЗДЕЛИЯМ и ME СИСТЕМАМ, отличным от применяемых только в экранированных помещениях
Примеры заполнения таблиц 3-6 см. в приложении С.
См. также обоснование к 5.2.2.1 f) настоящего приложения.
Ограничения в отношении более низкого или более высокого УРОВНЕЙ СООТВЕТСТВИЯ ТРЕБОВАНИЯМ ПОМЕХОУСТОЙЧИВОСТИ необходимы для того, чтобы установленные более низкие или более высокие УРОВНИ СООТВЕТСТВИЯ отличались от ИСПЫТАТЕЛЬНЫХ УРОВНЕЙ по МЭК 60601 на величину, которая является существенной для обеспечения ЭМС.
Увеличенный ИСПЫТАТЕЛЬНЫЙ УРОВЕНЬ при ИСПЫТАНИЯХ НА ПОМЕХОУСТОЙЧИВОСТЬ при воздействии радиочастотного электромагнитного поля для ME ИЗДЕЛИЙ и ME СИСТЕМ ЖИЗНЕОБЕСПЕЧЕНИЯ следует рассматривать как дополнительный запас надежности для уменьшения вероятности того, что портативные/мобильные средства радиосвязи, такие как радиотелефоны (сотовые и беспроводные), могут стать причиной УХУДШЕНИЯ КАЧЕСТВА ФУНКЦИОНИРОВАНИЯ ME ИЗДЕЛИЯ или ME СИСТЕМЫ, которое в результате нанесет вред ПАЦИЕНТУ, если средства радиосвязи внесены в зону ПАЦИЕНТА. Увеличение ИСПЫТАТЕЛЬНОГО УРОВНЯ при ИСПЫТАНИЯХ НА ПОМЕХОУСТОЙЧИВОСТЬ не означает разрешения использовать мобильные/портативные средства радиосвязи в непосредственной близости от ME ИЗДЕЛИЯ или ME СИСТЕМЫ. Для ME ИЗДЕЛИЙ и ME СИСТЕМ ЖИЗНЕОБЕСПЕЧЕНИЯ указанный запас надежности следует лишь принимать во внимание при расчетах максимальной рекомендуемой напряженности поля и минимального пространственного разноса. Для частот, выделенных для ПНМ ВЧ устройств в полосе от 150 кГц до 80 МГц и в полосе от 80 МГц до 2,5 ГГц, при расчетах рекомендуемого пространственного разноса используется дополнительный коэффициент 10/3.
Для расчетов рекомендуемого пространственного разноса в таблицах 3 и 5 применяют четыре уравнения, в таблицах 4 и 6 — три уравнения. В полосе частот от 150 кГц до 80 МГц используются выражения для
и
, так как испытания на ПОМЕХОУСТОЙЧИВОСТЬ при воздействии кондуктивных помех, наведенных радиочастотными электромагнитными полями по МЭК 61000-4-6 [6], используются в данной полосе вместо испытаний при воздействии излучаемого радиочастотного электромагнитного поля по МЭК 61000-4-3. Приведенные в таблицах 3-6 уравнения получены из уравнения Е.1 приложения Е МЭК 61000-4-3. Значения принятых в уравнениях констант получены с учетом следующих допущений относительно мобильных/портативных радиочастотных передатчиков:
— для радиопередатчиков, работающих на частотах выше 800 МГц, напряженность поля в свободном пространстве на заданном расстоянии приблизительно соответствует напряженности поля от идеального полуволнового диполя (
7);
— для радиопередатчиков, работающих на частотах ниже 800 МГц, напряженность поля в свободном пространстве на заданном расстоянии приблизительно соответствует половине напряженности поля от идеального полуволнового диполя (
3,5);
— в мобильных/портативных средствах радиосвязи антенны с усилением обычно не используются.
Для ME ИЗДЕЛИЙ и ME СИСТЕМ, предназначенных для применения только в экранированных помещениях, которые удовлетворяют уменьшенным ИСПЫТАТЕЛЬНЫМ УРОВНЯМ при ИСПЫТАНИЯХ НА ПОМЕХОУСТОЙЧИВОСТЬ при воздействии радиочастотных излучаемых и кондуктивных электромагнитных помех, учитывающим минимальные значения эффективности радиочастотного экранирования и вносимого затухания радиочастотных помехоподавляющих фильтров, установленные для экранированных помещений [см. 6.2.3.1 с) и 6.2.6.1 с)], нет необходимости в определении пространственных разносов. Поэтому вместо таблиц 3 и 5 используется таблица 7, вместо таблиц 4 и 6 — таблица 8 [см. также 5.2.2.3 d)].
Подпункт 5.2.2.3 b) — если применяются допустимые уровни излучаемых электромагнитных помех…
Применение ME ИЗДЕЛИЯ и ME СИСТЕМЫ только в экранированном помещении может стать необходимым с учетом либо характеристик ЭЛЕКТРОМАГНИТНОЙ ЭМИССИИ, либо характеристик ПОМЕХОУСТОЙЧИВОСТИ ME ИЗДЕЛИЯ или ME СИСТЕМЫ. Требования к экранированному помещению, полученные с учетом характеристик ЭЛЕКТРОМАГНИТНОЙ ЭМИССИИ и ПОМЕХОУСТОЙЧИВОСТИ ME ИЗДЕЛИЯ и ME СИСТЕМЫ, должны быть идентичными, так как они относятся к одному и тому же экранированному помещению.
Установленные минимальные значения эффективности радиочастотного экранирования и вносимого затухания радиочастотных помехоподавляющих фильтров должны быть идентичными в каждой полосе частот, для которой они установлены, чтобы излучаемые радиочастотные помехи не обходили экран, а кондуктивные радиочастотные помехи не обходили фильтры. Это верно, даже если применяемое экранированное помещение соответствует только требованиям МЭК 61000-4-6. В этом случае установленные минимальные значения эффективности радиочастотного экранирования также должны быть равны установленным минимальным значениям вносимого затухания фильтров в каждой полосе частот, для которой они определены, несмотря на то, что испытания проводятся путем подачи помех на кабели.
Если применение ME ИЗДЕЛИЯ или ME СИСТЕМЫ только в экранированном помещении установлено в соответствии с характеристиками ПОМЕХОУСТОЙЧИВОСТИ, то ИЗГОТОВИТЕЛЬ может не снижать требования к ЭЛЕКТРОМАГНИТНОЙ ЭМИССИИ, установленные в 6.1.1.1 d). Если указанное снижение требований не предусмотрено, то нет необходимости в добавлении в таблицу 1 текста, установленного в 5.2.2.3 b).
Подпункт 5.2.2.3 с) — требования к характеристикам ЭЛЕКТРОМАГНИТНОЙ ЭМИССИИ…
Например, ИЗГОТОВИТЕЛЕМ может быть установлено, что применение некоторого оборудования, такого как высокочастотные хирургические ME ИЗДЕЛИЯ, радиостанции и сотовые/беспроводные радиотелефоны, должно быть запрещено в экранированном помещении или указанное оборудование должно быть выключено во время работы ME ИЗДЕЛИЯ или ME СИСТЕМЫ. ИЗГОТОВИТЕЛЬ может дать рекомендации относительного других ME ИЗДЕЛИЙ или ME СИСТЕМ, также предназначенных для применения только в экранированном помещении, например, о невозможности их применения в том же экранированном помещении или о необходимости их выключения во время работы указанных ME ИЗДЕЛИЯ или ME СИСТЕМЫ.
В любом случае при применении ME ИЗДЕЛИЯ или ME СИСТЕМЫ только в экранированном помещении в соответствии с характеристиками ПОМЕХОУСТОЙЧИВОСТИ (следует учитывать, что применение в экранированном помещении может быть также установлено в соответствии с характеристиками ЭЛЕКТРОМАГНИТНОЙ ЭМИССИИ) отражения радиочастотных электромагнитных полей в экранированных помещениях приводят к значительным изменениям напряженности поля в пределах помещения. При этом напряженность поля не обязательно уменьшается с расстоянием в соответствии с уравнениями, приведенными в таблицах 3 и 6. Следовательно, должно быть предупреждение о запрете применения любых радиочастотных передатчиков в заданном экранированном помещении.
Необходимы рекомендации для ОТВЕТСТВЕННОЙ ОРГАНИЗАЦИИ и ОПЕРАТОРА о наличии на всех входах в экранированное помещение предупреждающих надписей, касающихся разрешенного для применения в экранированном помещении или запрещенного оборудования, учитывая то обстоятельство, что соответствующей информации, содержащейся в ЭКСПЛУАТАЦИОННОЙ ДОКУМЕНТАЦИИ, будет недостаточно для персонала, ПАЦИЕНТОВ или посетителей.
Подпункт 5.2.2.3 d) — применимую таблицу (таблицу 7 или таблицу 8)
Примеры заполнения таблиц 7 и 8 см. в приложении С.
См. также обоснования к 5.2.2.1 f) настоящего приложения.
Ограничения в отношении более низких или более высоких УРОВНЕЙ СООТВЕТСТВИЯ ТРЕБОВАНИЯМ ПОМЕХОУСТОЙЧИВОСТИ необходимы для того, чтобы установленные более низкие или более высокие УРОВНИ СООТВЕТСТВИЯ отличались от ИСПЫТАТЕЛЬНЫХ УРОВНЕЙ по МЭК 60601 на величину, которая является существенной с точки зрения ЭМС.
Для ME ИЗДЕЛИЙ и ME СИСТЕМ, предназначенных для применения только в экранированных помещениях, которые удовлетворяют уменьшенным ИСПЫТАТЕЛЬНЫМ УРОВНЯМ при ИСПЫТАНИЯХ НА ПОМЕХОУСТОЙЧИВОСТЬ при воздействии радиочастотных излучаемых и кондуктивных электромагнитных помех, учитывающим минимальные значения эффективности радиочастотного экранирования и вносимого затухания радиочастотных фильтров, установленные для экранированных помещений [см. 6.2.3.1 с) и 6.2.6.1 с)], нет необходимости в определении пространственных разносов. Поэтому вместо таблиц 3 и 5 используется таблица 7, вместо таблиц 4 и 6 — таблица 8.
Подпункт 5.2.2.3 d), третий дефис — в колонке 4 таблицы 7 или таблицы 8…
См. обоснование к 5.2.2.3 b) настоящего приложения.
Подпункт 5.2.2.7 — Требования к кабелям, преобразователям и другим ПРИНАДЛЕЖНОСТЯМ, которые могут влиять на соответствие требованиям, установленным в 6.1 и 6.2
Использование ПРИНАДЛЕЖНОСТЕЙ, кабелей и преобразователей, которые не пригодны для применения с ME ИЗДЕЛИЕМ или ME СИСТЕМОЙ, может привести к существенному повышению ЭЛЕКТРОМАГНИТНОЙ ЭМИССИИ и снижению ПОМЕХОУСТОЙЧИВОСТИ. Следовательно, предупреждение о недопустимости использования с ME ИЗДЕЛИЕМ или ME СИСТЕМОЙ ПРИНАДЛЕЖНОСТЕЙ, кабелей и преобразователей, не перечисленных в ЭКСПЛУАТАЦИОННОЙ ДОКУМЕНТАЦИИ, является необходимым для обеспечения применения ОПЕРАТОРОМ ME ИЗДЕЛИЯ или ME СИСТЕМЫ в соответствии с назначением. Если поставщик, являющийся третьей стороной, предлагает ПРИНАДЛЕЖНОСТИ, кабели и преобразователи для применения в ME ИЗДЕЛИИ или ME СИСТЕМЕ и они не перечислены или их характеристики не соответствуют установленным в ЭКСПЛУАТАЦИОННОЙ ДОКУМЕНТАЦИИ ME ИЗДЕЛИЯ или ME СИСТЕМЫ, то ответственность за соответствие требованиям настоящего параллельного стандарта при применении ME ИЗДЕЛИЯ или ME СИСТЕМЫ с данными ПРИНАДЛЕЖНОСТЯМИ, кабелями или преобразователями несет поставщик или ОТВЕТСТВЕННАЯ ОРГАНИЗАЦИЯ.
Подпункт 5.2.2.8 с) — перечень передающих устройств или оборудования…
Виды модуляции приведены в Регламенте радиосвязи МСЭ. Том 2. Приложения. Приложение S1. Классификация эмиссий и необходимые полосы частот. Раздел II. Классификация. Подраздел IIА. Основные характеристики.
Подпункт 5.2.2.10 — Требования к ПРОФЕССИОНАЛЬНЫМ ME ИЗДЕЛИЯМ и ME СИСТЕМАМ ТИПА А
Обоснование для ПРОФЕССИОНАЛЬНЫХ ME ИЗДЕЛИЙ и ME СИСТЕМ ТИПА А, предназначенных для применения в жилых зонах и для подключения к ОБЩЕСТВЕННЫМ РАСПРЕДЕЛИТЕЛЬНЫМ СЕТЯМ, должно быть включено в ЭКСПЛУАТАЦИОННУЮ ДОКУМЕНТАЦИЮ. Это необходимо, чтобы сообщить ОТВЕТСТВЕННОЙ ОРГАНИЗАЦИИ или ОПЕРАТОРУ, что такое применение представляет важность для обеспечения здоровья ПАЦИЕНТОВ и что существуют физические, технологические или физиологические ограничения способности ME ИЗДЕЛИЯ или ME СИСТЕМЫ соответствовать нормам электромагнитных помех СИСПР 11, группы 2, класса В в отношении третьей гармоники основной частоты ME ИЗДЕЛИЯ или ME СИСТЕМЫ.
Этому также будет способствовать указание о важности предупреждения в таблице 1 и в инструкции по применению в отношении мер, которые могут быть необходимы при использовании ПРОФЕССИОНАЛЬНЫХ ME ИЗДЕЛИЙ и ME СИСТЕМ ТИПА А в жилых зонах и их подключении к ОБЩЕСТВЕННЫМ РАСПРЕДЕЛИТЕЛЬНЫМ СЕТЯМ.
Подпункт 6.1.1.1 — Требования
В качестве основополагающего стандарта в области ЭМС для ME ИЗДЕЛИЙ и ME СИСТЕМ применяется стандарт СИСПР 11, распространяющийся на группу однородной продукции. См. также термин «ME СИСТЕМЫ» в общем стандарте.
Подпункт 6.1.1.1 а) — Простые электрические компоненты
Когда ME ИЗДЕЛИЕ, относящееся к области применения СИСПР 14-1, функционирует совместно с другим ИЗДЕЛИЕМ (например, относящимся к области применения СИСПР 11), образуя ME СИСТЕМУ, то его соединительные кабели дополнительно могут излучать электромагнитную энергию, генерируемую другими источниками. Следовательно, дополнительные испытания на ЭЛЕКТРОМАГНИТНУЮ ЭМИССИЮ в соответствии с требованиями СИСПР 11 являются необходимыми.
ME ИЗДЕЛИЯ или ME СИСТЕМЫ, классифицируемые в соответствии с СИСПР 11, не подлежат испытаниям в соответствии с СИСПР 14-1.
Подпункт 6.1.1.1 с) — Оборудование информационных технологий (ОИТ)
Характеристики изделий, относящихся к группе 1 классов А и В по СИСПР 11 (ПНМ ВЧ устройства), в целом подобны характеристикам изделий классов А и В по СИСПР 22. В указанных стандартах нормы кондуктивных и излучаемых ЭЛЕКТРОМАГНИТНЫХ ПОМЕХ и методы измерений подобны. Это значит, что изделие, соответствующее требованиям СИСПР 22, класса А, автоматически соответствует требованиям СИСПР 11, группы 1 класса А. Аналогично, изделие, соответствующее требованиям СИСПР 22, класса В, автоматически соответствует требованиям СИСПР 11, группы 1 класса В. Так как оба стандарта относятся к испытаниям подсистем и их требования являются, по существу, одинаковыми, то соответственно, нет необходимости в испытаниях ME СИСТЕМЫ для гарантии того, что включение ОИТ, соответствующего требованиям СИСПР 22 в состав ME СИСТЕМЫ не ухудшит работоспособность ME СИСТЕМЫ.
Если ОИТ, используемое как часть ME СИСТЕМЫ, может быть классифицировано в соответствии с СИСПР 22, то ME ИЗДЕЛИЕ или ME СИСТЕМА могут не быть классифицированы в соответствии с СИСПР 22.
Подпункт 6.1.1.1 d) — ME ИЗДЕЛИЯ и ME СИСТЕМЫ, предназначенные для применения только в экранированных помещениях
См. обоснование 5.2.2.3 d) настоящего приложения.
Если с учетом характеристик ПОМЕХОУСТОЙЧИВОСТИ необходимо применять ME ИЗДЕЛИЕ или ME СИСТЕМУ только в экранированном помещении, то ИЗГОТОВИТЕЛЬ может не снижать нормы ЭЛЕКТРОМАГНИТНОЙ ЭМИССИИ.
Подпункт 6.1.1.1 е) — ME ИЗДЕЛИЯ и ME СИСТЕМЫ, в состав которых входит радиооборудование
Если, например, в применимых национальных нормах, распространяющихся на средства радиосвязи, не установлены нормы напряжения радиопомех на сетевых зажимах, то для ME ИЗДЕЛИЙ и ME СИСТЕМ, относящихся к области применения СИСПР 11, должны быть применены нормы напряжения радиопомех на сетевых зажимах, установленные СИСПР 11. Так же, если в применимых национальных нормах, распространяющихся на средства радиосвязи, не установлены нормы в тех полосах частот, для которых установлены нормы в СИСПР 11, то для ME ИЗДЕЛИЙ и ME СИСТЕМ, относящихся к области применения СИСПР 11, применяют требования, установленные в СИСПР 11 в данных полосах частот.
Настоящий параллельный стандарт в части требований ЭЛЕКТРОМАГНИТНОЙ ЭМИССИИ не применяют для входящих в состав ME ИЗДЕЛИЙ и ME СИСТЕМ средств радиосвязи, для которых указанные требования установлены в национальных нормах, распространяющихся на средства радиосвязи.
Подпункт 6.1.1.1 f) — ПРОФЕССИОНАЛЬНЫЕ ME ИЗДЕЛИЯ и ME СИСТЕМЫ ТИПА А
Определенные ME ИЗДЕЛИЯ ИЛИ ME СИСТЕМЫ, применяемые в соответствии с назначением, могут не соответствовать нормам излучаемых электромагнитных помех по стандарту СИСПР 11, группа 2, класс В в отношении третьей гармоники основной частоты ME ИЗДЕЛИЯ или ME СИСТЕМЫ, или их применение по назначению будет ограничиваться местами, в которых указанное соответствие может быть обеспечено, например госпиталями, в отличие от клиник или офисов специалистов здравоохранения в жилых зонах. Допущения, установленные в 6.1.1.1 f), предоставляют возможность обеспечить ПРИМЕНЕНИЕ ПО НАЗНАЧЕНИЮ указанных ME ИЗДЕЛИЙ и ME СИСТЕМ также в жилых зонах или их подключение к ОБЩЕСТВЕННЫМ ЭЛЕКТРИЧЕСКИМ СЕТЯМ, например, в клиниках или офисах специалистов здравоохранения в жилых зонах, если проведено обоснование, как установлено в 5.2.2.10, и включено предупреждение в инструкцию по применению, как установлено в 5.2.1.4, и в ЭКСПЛУАТАЦИОННУЮ ДОКУМЕНТАЦИЮ, как установлено в 5.2.2.1 с).
Например, физиотерапевтические учреждения в основном размещаются в жилых зонах. Без применения указанных допущений для соответствующих ME ИЗДЕЛИЙ и ME СИСТЕМ может быть лишь рекомендовано использование в экранированных помещениях или в госпиталях. В результате многие ПАЦИЕНТЫ будут оставаться без лечения или должны будут длительное время ожидать приема.
Радиочастотные терапевтические ME ИЗДЕЛИЯ для физиотерапии функционируют на коротковолновых или УВЧ ПНМ частотах и генерируют 400 Вт в непрерывном режиме или 1000 Вт в импульсном режиме при лечении болезни или более короткое время при выздоровлении. Радиочастотная энергия подается к ПАЦИЕНТУ с помощью открытых емкостных или индуктивных «антенн». Даже если ток ME ИЗДЕЛИЯ соответствует требованиям для преднамеренных радиочастотных генераторов на частотах ПНМ устройств, обеспечивая подавление нежелательных излучаемых сигналов, например, до 40-60 дБ, данное изделие не может соответствовать нормам излучаемых электромагнитных помех по СИСПР 11, группа 2, класс В на третьей гармонике основной частоты ME ИЗДЕЛИЯ. Следовательно было бы желательно применить к данному типу ME ИЗДЕЛИЯ допущения, установленные в 6.1.1.1. f).
В ПРОФЕССИОНАЛЬНЫХ ME ИЗДЕЛИЯХ и ME СИСТЕМАХ ТИПА А, для которых требуется соответствие нормам напряжения помех на сетевых зажимах по СИСПР 11, группа 2, класс В, могут быть использованы фильтры для обеспечения соответствия.
Подпункт 6.1.1.2 а) — Кабели для подключения к ПАЦИЕНТУ
В соответствии с СИСПР 11 при проведении испытаний ME ИЗДЕЛИЯ или ME СИСТЕМЫ необходимы присоединение всех кабелей и выполнение условий НОРМАЛЬНОГО ИСПОЛЬЗОВАНИЯ. Подключение кабелей, обеспечивающих связь с ПАЦИЕНТОМ, является частью этих требований. Необходимо применять средства имитации для того, чтобы ME ИЗДЕЛИЕ или ME СИСТЕМА могли функционировать в условиях НОРМАЛЬНОГО ИСПОЛЬЗОВАНИЯ. Средства имитации ПАЦИЕНТА должны быть сконструированы таким образом, чтобы не снизить уровень ЭЛЕКТРОМАГНИТНОЙ ЭМИССИИ ME ИЗДЕЛИЯ или ME СИСТЕМЫ и не вызывать дополнительную непреднамеренную ЭЛЕКТРОМАГНИТНУЮ ЭМИССИЮ за счет средств имитации. Влияние ПАЦИЕНТА на уровень ЭЛЕКТРОМАГНИТНОЙ ЭМИССИИ считается в настоящее время незначительным, однако при разработке общей радиочастотной модели ПАЦИЕНТА это положение может быть пересмотрено.
Для того, чтобы во время испытаний избежать протекания слишком большого тока в устройствах заземления, необходимо установить верхний предел паразитной емкости. Значение емкости 250 пФ, установленное в настоящем стандарте, согласовано с характеристиками эквивалента руки, регламентированными в СИСПР 16-1-2.
Подпункт 6.1.1.2 b) — Подсистемы
Учитывая, что ME СИСТЕМЫ могут иметь различные конфигурации, допускаются испытания ПОДСИСТЕМ. При этом любое имитирующее устройство, используемое вместо реального ME ИЗДЕЛИЯ, должно представлять электрические и в некоторых случаях механические характеристики интерфейса, особенно в части радиочастотных сигналов и полных сопротивлений, а также видов разводок кабелей.
Подпункт 6.1.2 — Защита других изделий от низкочастотных магнитных полей
Требования к ограничению ЭЛЕКТРОМАГНИТНОЙ ЭМИССИИ магнитных полей на частотах ниже 9 кГц находятся на рассмотрении подкомитетов 77А и 62А МЭК.
Подпункт 6.1.3.1.1 — Требования
МЭК 61000-3-2 и МЭК 61000-3-3 применимы только для изделий НОМИНАЛЬНЫМ напряжением СЕТЕВОГО ЭЛЕКТРОПИТАНИЯ не менее 220 В, предназначенным для подключения к РАСПРЕДЕЛИТЕЛЬНЫМ ЭЛЕКТРИЧЕСКИМ СЕТЯМ. Если ME ИЗДЕЛИЕ или ME СИСТЕМА не предназначены для подключения к РАСПРЕДЕЛИТЕЛЬНЫМ ЭЛЕКТРИЧЕСКИМ СЕТЯМ, данное требование не применяют. Примером помещений, подключенных к РАСПРЕДЕЛИТЕЛЬНЫМ ЭЛЕКТРИЧЕСКИМ СЕТЯМ, являются жилые помещения, офисы докторов и небольшие клиники. Считают, что место установки ME ИЗДЕЛИЯ или ME СИСТЕМЫ связано с РАСПРЕДЕЛИТЕЛЬНОЙ ЭЛЕКТРИЧЕСКОЙ СЕТЬЮ, если более чем один покупатель ME ИЗДЕЛИЯ или ME СИСТЕМЫ обслуживается от одной и той же выходной шины электрического распределительного трансформатора среднего или высокого напряжения.
Подпункт 6.1.3.2.1 — Требования
См. обоснование к 6.1.3.1.1 настоящего приложения.
Подпункт 6.2.1 — Общие положения
Методы испытаний на ПОМЕХОУСТОЙЧИВОСТЬ и руководства для выбора испытательных уровней соответствуют установленным в основополагающих стандартах ЭМС в области ПОМЕХОУСТОЙЧИВОСТИ. Отклонения от основополагающих стандартов на ЭМС в области ПОМЕХОУСТОЙЧИВОСТИ являются минимальными и сопровождаются специальным рассмотрением, относящимся к конкретным ME ИЗДЕЛИЯМ и ME СИСТЕМАМ.
Подпункт 6.2.1.1 — ИСПЫТАТЕЛЬНЫЕ УРОВНИ при испытаниях на ПОМЕХОУСТОЙЧИВОСТЬ
ИСПЫТАТЕЛЬНЫЕ УРОВНИ при испытаниях на ПОМЕХОУСТОЙЧИВОСТЬ в настоящем параллельном стандарте были выбраны так, чтобы представлять обстановку нормального использования, и следовательно, должны соответствовать установленным в стандартах ЭМС в области ПОМЕХОУСТОЙЧИВОСТИ, а не в стандартах БЕЗОПАСНОСТИ. Испытательные уровни в стандартах БЕЗОПАСНОСТИ существенно выше (см. МЭК 61000-1-2).
Медицинская практика включает множество специальностей, что обуславливает необходимость создания ME ИЗДЕЛИЙ и ME СИСТЕМ, сконструированных для выполнения различных ФУНКЦИЙ. Некоторые функции могут включать измерение сигналов ПАЦИЕНТА, имеющих крайне низкие уровни в сравнении с уровнями ЭЛЕКТРОМАГНИТНЫХ ПОМЕХ, которые во время испытаний на ПОМЕХОУСТОЙЧИВОСТЬ, установленных настоящим стандартом, могут налагаться или объединяться с полезным сигналом в ME ИЗДЕЛИЯХ и ME СИСТЕМАХ. Ввиду доказанного преимущества большей части таких ME ИЗДЕЛИЙ и ME СИСТЕМ настоящий параллельный стандарт допускает возможность более низких ИСПЫТАТЕЛЬНЫХ УРОВНЕЙ при испытаниях на ПОМЕХОУСТОЙЧИВОСТЬ при условии, что их применение оправдано существенными физическими, технологическими или физиологическими ограничениями. Так, в перечислении а) пункта Е.2 приложения Е приведены рекомендации о возможности установления минимальных уровней ПОМЕХОУСТОЙЧИВОСТИ, когда требования настоящего параллельного стандарта используются в частном стандарте, распространяющемся на продукцию конкретного вида. Однако если в частном стандарте (МЭК 60601-1-2-х) устанавливается и обосновывается ИСПЫТАТЕЛЬНЫЙ УРОВЕНЬ при испытаниях на ПОМЕХОУСТОЙЧИВОСТЬ, более низкий, чем ИСПЫТАТЕЛЬНЫЙ УРОВЕНЬ по МЭК 60601, приведенный в настоящем параллельном стандарте, то возможность применения еще более низких УРОВНЕЙ ПОМЕХОУСТОЙЧИВОСТИ должна быть исключена.
Подпункт 6.2.1.4 — Электрические изделия, не относящиеся к ME ИЗДЕЛИЯМ
К электрическим изделиям, не относящимся к ME ИЗДЕЛИЯМ, часто предъявляют требования ПОМЕХОУСТОЙЧИВОСТИ, отличающиеся от требований, установленных в настоящем параллельном стандарте. Исключение испытаний на ПОМЕХОУСТОЙЧИВОСТЬ в соответствии с требованиями настоящего стандарта для электрических изделий, не относящихся к ME ИЗДЕЛИЯМ, которые, как ожидается, не влияют на ОСНОВНУЮ БЕЗОПАСНОСТЬ и ОСНОВНЫЕ ФУНКЦИОНАЛЬНЫЕ ХАРАКТЕРИСТИКИ ME СИСТЕМЫ, даже если проявляется УХУДШЕНИЕ КАЧЕСТВА ФУНКЦИОНИРОВАНИЯ электрических изделий, не относящихся к ME ИЗДЕЛИЯМ, позволяет использовать в ME СИСТЕМЕ немедицинское электрическое оборудование, не соответствующее требованиям настоящего параллельного стандарта. Примером такого оборудования может служить принтер, используемый в ME СИСТЕМЕ в случае, когда распечатываемая информация остается в памяти ME ИЗДЕЛИЯ до удаления и может быть повторно передана на принтер для распечатки при нарушении его функционирования под воздействием помех. В инструкции по эксплуатации ME СИСТЕМЫ следует привести предупреждение о том, что ОПЕРАТОРУ необходимо проверить работу принтера перед тем, как удалить хранящуюся информацию. Кроме того, к такому немедицинскому электрическому оборудованию, как например ОИТ, используемому в качестве центральной станции мониторинга состояния ПАЦИЕНТА, вероятно, будут применимы требования к ПОМЕХОУСТОЙЧИВОСТИ, установленные в настоящем стандарте, с учетом результатов анализа рисков, так как потеря или изменение информации о состоянии ПАЦИЕНТА в центральной станции мониторинга могут сказаться на его безопасности.
Если установлено, что изделие может влиять на ОСНОВНУЮ БЕЗОПАСНОСТЬ И ОСНОВНЫЕ ФУНКЦИОНАЛЬНЫЕ ХАРАКТЕРИСТИКИ ME СИСТЕМЫ, то данное изделие должно соответствовать требованиям, установленным в 6.2.
Подпункт 6.2.1.5 — ME ИЗДЕЛИЯ и ME СИСТЕМЫ, СВЯЗАННЫЕ С ПАЦИЕНТОМ
Требование о том, что электромагнитная обстановка, контролируемая при испытаниях ME ИЗДЕЛИЙ и ME СИСТЕМ, СВЯЗАННЫХ С ПАЦИЕНТОМ, должна включать точку связи с ПАЦИЕНТОМ, причем точка связи с ПАЦИЕНТОМ не должна иметь преднамеренной кондуктивной или емкостной связи с землей при проведении испытаний, за исключением той, которая установлена в подпункте настоящего параллельного стандарта, установлена для того, чтобы кабели, связывающие ME ИЗДЕЛИЕ или ME СИСТЕМУ с ПАЦИЕНТОМ, были испытаны в наиболее жестких условиях. Случай, когда предусмотрено наличие преднамеренного емкостного соединения с землей (т.е. применение эквивалента руки и RC-элемента), считается наихудшим. Следует ограничить значение паразитной емкости между точкой связи с ПАЦИЕНТОМ и землей значением не более 250 пФ. В соответствии с МЭК 60601-1 условия, при которых ПАЦИЕНТ изолирован от земли и при которых ПАЦИЕНТ заземлен, рассматриваются как НОРМАЛЬНЫЕ УСЛОВИЯ. Однако, учитывая радиочастотные полные сопротивления, маловероятно, что в клинических условиях ПАЦИЕНТ может быть так же эффективно заземлен, как при проведении испытаний в области ЭМС, когда используется непосредственное соединение с пластиной заземления. Именно поэтому для создания условий заземления ПАЦИЕНТА используют эквивалент руки и RC-элемент, установленные в СИСПР 16-1-2.
Подпункт 6.2.1.6 — Регулируемое усиление
Требование к установке максимального регулируемого усиления ME ИЗДЕЛИЯ или ME СИСТЕМЫ, позволяющего обеспечить нормальное функционирование при проведении испытаний, является обоснованным, так как отношение сигнал/помеха в этом режиме будет существенно ниже, чем при испытаниях с установкой меньшего усиления, при котором возможно ошибочное определение нормального функционирования.
Подпункт 6.2.1.7 — Имитация ПАЦИЕНТА
Подробные требования к имитаторам, используемым для ME ИЗДЕЛИЙ, СВЯЗАННЫХ С ПАЦИЕНТОМ, следует устанавливать в частных стандартах (МЭК 60601-1-2-х и стандартах ИСО, основанных на МЭК 60601-1) с учетом указаний, приведенных в настоящем параллельном стандарте. Необходимо позаботиться о том, чтобы используемый имитатор не приводил к УХУДШЕНИЮ КАЧЕСТВА ФУНКЦИОНИРОВАНИЯ при заданном ИСПЫТАТЕЛЬНОМ УРОВНЕ при испытаниях на ПОМЕХОУСТОЙЧИВОСТЬ и в минимальной степени нарушал условия испытаний. Устройство, имитирующее ПАЦИЕНТА, не предназначено для отображения радиочастотных характеристик человеческого тела. Поэтому возможны различия между радиочастотной энергией, поступающей в ME ИЗДЕЛИЕ или ME СИСТЕМУ, при применении устройства, имитирующего ПАЦИЕНТА, и энергией при подключении ME ИЗДЕЛИЯ или ME СИСТЕМЫ к реальному ПАЦИЕНТУ.
См. также обоснование к 6.2.1.5 настоящего приложения.
Требования к регулировке чувствительности ME ИЗДЕЛИЯ или ME СИСТЕМЫ и установке уровня имитируемого физиологического сигнала ПАЦИЕНТА установлены для того, чтобы ME ИЗДЕЛИЕ или ME СИСТЕМА функционировали в диапазоне уровней физиологических сигналов от ПАЦИЕНТА, применительно к которым ME ИЗДЕЛИЕ или ME СИСТЕМА были сконструированы.
Для ME ИЗДЕЛИЙ и ME СИСТЕМ, не имеющих ручной регулировки чувствительности (в отсутствие регулировки усиления или с автоматической регулировкой усиления), предполагается, что при их эксплуатации ОПЕРАТОР не должен постоянно находиться около оборудования для контроля сигнала ПАЦИЕНТА и обеспечения функционирования ME ИЗДЕЛИЯ или ME СИСТЕМЫ в соответствии с требованиями, установленными в ЭКСПЛУАТАЦИОННОЙ ДОКУМЕНТАЦИИ. Вместе с тем предполагается, что ОПЕРАТОР должен увидеть предупреждение о недостаточной силе сигнала. Испытания указанных ME ИЗДЕЛИЙ или ME СИСТЕМ проводят с имитируемым физиологическим сигналом ПАЦИЕНТА, настроенным либо на минимальное амплитудное значение, установленное изготовителем, либо на минимальное амплитудное значение (величину), при котором в ходе испытаний обеспечивается нормальное функционирование ME ИЗДЕЛИЯ или ME СИСТЕМЫ. Требования к минимальному амплитудному значению (величине) физиологического сигнала ПАЦИЕНТА, при котором в ходе испытаний обеспечивается нормальное функционирование ME ИЗДЕЛИЯ или ME СИСТЕМЫ, могут быть установлены более детально в частных стандартах (МЭК 60601-1-2-х и стандарты ИСО, основанные на МЭК 60601-1).
Для ME ИЗДЕЛИЙ и ME СИСТЕМ с ручной регулировкой чувствительности предполагается, что при их эксплуатации ОПЕРАТОР должен постоянно находиться около оборудования для контроля сигнала ПАЦИЕНТА и обеспечения функционирования ME ИЗДЕЛИЯ или ME СИСТЕМЫ в соответствии с требованиями, установленными в ЭКСПЛУАТАЦИОННОЙ ДОКУМЕНТАЦИИ. В этом случае испытания ME ИЗДЕЛИЯ или ME СИСТЕМЫ целесообразно проводить во время функционирования при наиболее чувствительных настройках на имитируемый физиологический сигнал ПАЦИЕНТА. Уровень сигнала устанавливают в соответствии с руководством изготовителя по регулировке чувствительности ME ИЗДЕЛИЯ или ME СИСТЕМЫ.
Подпункт 6.2.1.8 — Испытание в условиях отсутствия информации о выполнении ФУНКЦИЙ
Влияние ИСПЫТАТЕЛЬНОГО УРОВНЯ ПОМЕХОУСТОЙЧИВОСТИ на выполнение некоторых ФУНКЦИЙ ME ИЗДЕЛИЯ или ME СИСТЕМЫ (например, дыхательный объем, подаваемый оборудованием вентиляции легких, или количество кислорода, отображаемое монитором вдыхаемой смеси) может быть легко выявлено во время испытаний на ПОМЕХОУСТОЙЧИВОСТЬ. Однако для других ФУНКЦИЙ (например, обнаружения воздушных пузырьков в диализной СИСТЕМЕ) это может оказаться затруднительным. Поэтому важно определить, каким образом способность ME ИЗДЕЛИЯ или ME СИСТЕМЫ обеспечивать ОСНОВНЫЕ ФУНКЦИОНАЛЬНЫЕ ХАРАКТЕРИСТИКИ должна оцениваться практическим путем в ходе испытаний на ПОМЕХОУСТОЙЧИВОСТЬ. Например, проверка выполнения функции ПОДАЧИ СИГНАЛА ТРЕВОГИ ВЫСШЕГО ПРИОРИТЕТА и СРЕДНЕГО ПРИОРИТЕТА, особенно при испытаниях на УСТОЙЧИВОСТЬ к радиочастотному электромагнитному полю, может оказаться непрактичной, так как потребует многократно устанавливать нормальные значения параметров ПАЦИЕНТА, или ME ИЗДЕЛИЯ, или ME СИСТЕМЫ, моделировать тревожные ситуации и вновь возвращать ME ИЗДЕЛИЕ или ME СИСТЕМУ в исходное состояние.
Применительно к тем параметрам, которые обычно отображаются, определить, влияют ли на их выполнение ЭЛЕКТРОМАГНИТНЫЕ ПОМЕХИ и приводит ли воздействие ПОМЕХ к отказу ME ИЗДЕЛИЯ или ME СИСТЕМЫ и ПОДАЧЕ СИГНАЛА ТРЕВОГИ, возможно путем наблюдения за отображаемыми значениями. Поэтому ME ИЗДЕЛИЯ и ME СИСТЕМЫ должны быть спроектированы так, чтобы при испытаниях на ПОМЕХОУСТОЙЧИВОСТЬ можно было наблюдать и контролировать параметры, связанные с ОСНОВНЫМИ ФУНКЦИОНАЛЬНЫМИ ХАРАКТЕРИСТИКАМИ, например с ПОДАЧЕЙ СИГНАЛА ТРЕВОГИ ВЫСШЕГО ПРИОРИТЕТА и СРЕДНЕГО ПРИОРИТЕТА. Применительно к тем параметрам, которые используются для обеспечения выполнения ФУНКЦИЙ, связанных с ОСНОВНЫМИ ФУНКЦИОНАЛЬНЫМИ ХАРАКТЕРИСТИКАМИ (например, ПОДАЧЕЙ СИГНАЛА ТРЕВОГИ ВЫСШЕГО ПРИОРИТЕТА и СРЕДНЕГО ПРИОРИТЕТА), но для которых влияние ЭЛЕКТРОМАГНИТНЫХ ПОМЕХ может не отображаться во время испытаний на ПОМЕХОУСТОЙЧИВОСТЬ, должны использоваться специальное испытательное программное обеспечение или специальные устройства, позволяющие определить влияние ПОМЕХ на эти параметры.
Примечание — На оценку отображаемых параметров в немалой степени влияет способность наблюдателя правильно отличить нормально функционирующий дисплей от «замерзшего».
В большинстве случаев аналоговые схемы более чувствительны к ЭЛЕКТРОМАГНИТНЫМ ПОМЕХАМ, чем цифровые. Более того, в современном оборудовании цифровые системы часто используются для обработки и отображения аналоговых сигналов. Следовательно, если аналоговые сигналы распознаются, должным образом усиливаются и правильно отображаются, то в большинстве случаев можно предположить, что логические решения аналоговых ME ИЗДЕЛИЙ или ME СИСТЕМ будут правильными. Однако при оценке отображения сигналов и логических решений цифровых ME ИЗДЕЛИЙ и ME СИСТЕМ, учитывая возможность воздействия на них ПОМЕХ, необходимо соблюдать осторожность.
Примером ФУНКЦИИ, связанной с ОСНОВНЫМИ ФУНКЦИОНАЛЬНЫМИ ХАРАКТЕРИСТИКАМИ, выполнение которой обычно наблюдается и подтверждается во время испытания на ПОМЕХОУСТОЙЧИВОСТЬ, является дыхательный объем, подаваемый оборудованием для вентиляции легких. Этот параметр обычно измеряется с помощью специального устройства в оборудовании для вентиляции легких, позволяющего оценить работоспособность данного оборудования во время испытаний. Другим примером ФУНКЦИИ, связанной с ОСНОВНЫМИ ФУНКЦИОНАЛЬНЫМИ ХАРАКТЕРИСТИКАМИ, выполнение которой ИЗДЕЛИЕМ или СИСТЕМОЙ обычно наблюдается и подтверждается во время испытаний на ПОМЕХОУСТОЙЧИВОСТЬ, является отображение количества вдыхаемого кислорода. Если для срабатывания СИГНАЛА ТРЕВОГИ используется отображаемое значение количества кислорода и нет сомнений в нормальной работе дисплея, то можно предположить, что если точность значения количества кислорода, отображаемого во время испытания на ПОМЕХОУСТОЙЧИВОСТЬ, остается в допустимых пределах, то СИГНАЛ ТРЕВОГИ будет срабатывать, если действительное количество вдыхаемого кислорода ниже установленного порога. Нет необходимости настраивать порог срабатывания сигнала тревоги таким образом, чтобы он действительно срабатывал, так как это значительно затянет процесс испытания.
Примером ФУНКЦИИ, связанной с ОСНОВНЫМИ ФУНКЦИОНАЛЬНЫМИ ХАРАКТЕРИСТИКАМИ, выполнение которой при нормальных условиях во время испытания на ПОМЕХОУСТОЙЧИВОСТЬ не наблюдается или не подтверждается, является СИГНАЛ ТРЕВОГИ при обнаружении воздушного пузыря в ИЗДЕЛИИ, применяемом для диализа. Поскольку сигнал прибора для обнаружения пузырей в обычных условиях не отображается, необходимо дополнительно оценивать, как влияет ИСПЫТАТЕЛЬНЫЙ УРОВЕНЬ ПОМЕХОУСТОЙЧИВОСТИ на работу устройств для измерения вязкости или акустического импеданса. Это позволит исключить ложное срабатывание СИГНАЛА ТРЕВОГИ в ходе испытаний.
Подпункт 6.2.1.9 — Подсистемы
Любое имитирующее устройство, используемое вместо реального ME ИЗДЕЛИЯ, должно представлять электрические и в некоторых случаях механические характеристики интерфейса, особенно в части радиочастотных сигналов и полных сопротивлений, а также видов разводок кабелей.
Подпункт 6.2.1.10 — Критерии соответствия
Приемлемым критерием при определении УХУДШЕНИЯ КАЧЕСТВА ФУНКЦИОНИРОВАНИЯ (например, ошибки), допустимого при испытаниях на ПОМЕХОУСТОЙЧИВОСТЬ, являются требования к точности, установленные ИЗГОТОВИТЕЛЕМ в ЭКСПЛУАТАЦИОННОЙ ДОКУМЕНТАЦИИ. При этом все другие источники ошибок, обычно принимаемые во внимание при определении требований к точности, должны быть устранены, и полное отклонение от установленной точности должно быть связанно с реакцией ME ИЗДЕЛИЯ или ME СИСТЕМЫ на ИСПЫТАТЕЛЬНЫЙ УРОВЕНЬ ПОМЕХОУСТОЙЧИВОСТИ. Если отклонения точности, связанные с воздействием ПОМЕХ, считаются допустимыми, то предельное отклонение должно определяться по результатам консультаций с врачами-клиницистами, чей опыт и область знаний допускают применение конкретных ME ИЗДЕЛИЙ или ME СИСТЕМ. Сведения об этом должны содержаться в ЭКСПЛУАТАЦИОННОЙ ДОКУМЕНТАЦИИ.
Если обоснованы более низкие УРОВНИ СООТВЕТСТВИЯ ТРЕБОВАНИЯМ ПОМЕХОУСТОЙЧИВОСТИ (см. 6.2.1.1), то УРОВЕНЬ ПОМЕХОУСТОЙЧИВОСТИ можно определить, понижая ИСПЫТАТЕЛЬНЫЙ УРОВЕНЬ ПОМЕХОУСТОЙЧИВОСТИ, пока ФУНКЦИОНИРОВАНИЕ оборудования не будет отвечать критериям соответствия, установленным в 6.2.1.1. Например, если обоснованы более низкие УРОВНИ СООТВЕТСТВИЯ ТРЕБОВАНИЯМ ПОМЕХОУСТОЙЧИВОСТИ и ИСПЫТАТЕЛЬНЫЙ УРОВЕНЬ по МЭК 60601 приводит к ЛОЖНОМУ ПОЛОЖИТЕЛЬНОМУ СРАБАТЫВАНИЮ СИГНАЛА ТРЕВОГИ или ЛОЖНОМУ ОТРИЦАТЕЛЬНОМУ СРАБАТЫВАНИЮ СИГНАЛА ТРЕВОГИ, то ИСПЫТАТЕЛЬНЫЙ УРОВЕНЬ ПОМЕХОУСТОЙЧИВОСТИ можно понизить до уровня, ниже которого ЛОЖНОЕ ПОЛОЖИТЕЛЬНОЕ СРАБАТЫВАНИЕ СИГНАЛА ТРЕВОГИ или ЛОЖНОЕ ОТРИЦАТЕЛЬНОЕ СРАБАТЫВАНИЕ СИГНАЛА ТРЕВОГИ отсутствует. Этот пониженный испытательный уровень будет представлять собой УРОВЕНЬ ПОМЕХОУСТОЙЧИВОСТИ.
В таком случае УРОВЕНЬ СООТВЕТСТВИЯ ТРЕБОВАНИЯМ ПОМЕХОУСТОЙЧИВОСТИ может быть определен из УРОВНЯ ПОМЕХОУСТОЙЧИВОСТИ, как указано в 5.2.2.1 f), второй дефис, 5.2.2.2 b) или 5.2.2.3 d), второй дефис.
Примеры нарушений, сообразующихся с критериями качества функционирования:
— изображение в ME СИСТЕМЕ визуализации искажено, но это искажение распознается как не связанное с физиологическим процессом и не влияющее на диагностику или лечение;
— монитор отображает сердечный ритм с погрешностью, которая в сумме является клинически несущественной;
— на мониторе, подключенном к ПАЦИЕНТУ, наблюдаются незначительные помехи в виде шума или переходных процессов, не связанные с физиологическим сигналом и не влияющие на диагностику и лечение.
Примеры ME ИЗДЕЛИЙ и ME СИСТЕМ, обеспечивающих выполнение различных ФУНКЦИЙ:
— многофункциональные мониторы;
— ME СИСТЕМЫ анестезии, снабженные мониторами;
— оборудование для вентиляции легких, снабженное мониторами;
— многоконтактные инвазивные сенсоры давления крови.
Прекращение выполнения установленной ФУНКЦИИ в установленный период времени ME ИЗДЕЛИЯМИ, используемыми при лечении, считается остановкой или прерыванием функционирования по назначению, связанными с ОСНОВНЫМИ ФУНКЦИОНАЛЬНЫМИ ХАРАКТЕРИСТИКАМИ.
Если воздействие испытательного сигнала на ME ИЗДЕЛИЕ или ME СИСТЕМУ настолько кратковременно, что является незаметным для ПАЦИЕНТА или ОПЕРАТОРА и не влияет на диагностику, управление или процесс лечения ПАЦИЕНТА, то данное воздействие не рассматривают в качестве остановки или прерывания установленного функционирования. Например, если при определенном ИСПЫТАТЕЛЬНОМ УРОВНЕ ПОМЕХОУСТОЙЧИВОСТИ оборудование для вентиляции легких прекращает нагнетание воздуха на 50 мс и затем возобновляет функционирование таким образом, что точность находится в допустимых пределах, то это не считается остановкой или прерыванием установленного функционирования.
В соответствии с 6.2.1.10 требуется, чтобы ME ИЗДЕЛИЯ и ME СИСТЕМЫ оставались безопасными при проведении испытаний на ПОМЕХОУСТОЙЧИВОСТЬ, установленных в 6.2. Критерии безопасности, которые будут контролироваться во время испытаний на ПОМЕХОУСТОЙЧИВОСТЬ, должны быть идентифицированы до проведения испытаний.
Подпункт 6.2.1.11 — ME ИЗДЕЛИЯ и ME СИСТЕМЫ, в состав которых входит радиооборудование
Например, если национальные нормы, распространяющиеся на средства радиосвязи, устанавливают требования ПОМЕХОУСТОЙЧИВОСТИ только в отношении излучаемого радиочастотного электромагнитного поля, то для радиооборудования должны применяться другие испытания на ПОМЕХОУСТОЙЧИВОСТЬ, установленные в настоящем параллельном стандарте. Необходимо отметить, что в соответствии с 6.2.3.1 приемники радиочастотной электромагнитной энергии не подлежат испытаниям на соответствие требованиям УСТОЙЧИВОСТИ к излучаемому радиочастотному электромагнитному полю в ИСКЛЮЧЕННОЙ ПОЛОСЕ ЧАСТОТ приемника.
См. обоснование к 5.2.1.1 е) в отношении значения пониженных ИСПЫТАТЕЛЬНЫХ УРОВНЕЙ ПОМЕХОУСТОЙЧИВОСТИ для испытаний на ПОМЕХОУСТОЙЧИВОСТЬ по МЭК 61000-4-11.
Кроме того, если, например, национальные нормы, распространяющиеся на средства радиосвязи, устанавливают требования ПОМЕХОУСТОЙЧИВОСТИ к излучаемому радиочастотному электромагнитному полю в более узкой полосе частот, чем в настоящем параллельном стандарте, то эти требования не считают более жесткими или эквивалентными требованиям, установленным в 6.2.1.1.
Для ME ИЗДЕЛИЙ и ME СИСТЕМ, в состав которых входит радиооборудование, настоящий параллельный стандарт не предусматривает замену требований ПОМЕХОУСТОЙЧИВОСТИ, установленных в национальных нормах, распространяющихся на средства радиосвязи.
Подпункт 6.2.2.1 — Требования
В соответствии с МЭК 61000-4-2 ИСПЫТАТЕЛЬНЫЙ УРОВЕНЬ ПОМЕХОУСТОЙЧИВОСТИ, равный ±4 кВ как для воздушных, так и для контактных разрядов, является адекватным при любой влажности в тех случаях, когда покрытие полов выполнено из дерева, бетона или керамики. Однако ИСПЫТАТЕЛЬНЫЙ УРОВЕНЬ ПОМЕХОУСТОЙЧИВОСТИ, равный ±8 кВ для воздушных и ±6 кВ для контактных разрядов, является соответствующим условиям большинства медицинских учреждений.
Во время испытаний на ПОМЕХОУСТОЙЧИВОСТЬ ME ИЗДЕЛИЯ и ME СИСТЕМЫ должны удовлетворять требованиям, установленным в 6.2.1.10. Однако для многих ФУНКЦИЙ ME ИЗДЕЛИЙ и ME СИСТЕМ непрактично оценивать их выполнение во время воздействия отдельных кратковременных ПОМЕХ (например, при испытаниях на УСТОЙЧИВОСТЬ к ЭСР, наносекундным импульсным помехам, микросекундным импульсным помехам большой энергии). Следовательно, для этих ФУНКЦИЙ выражение «во время испытаний» необходимо интерпретировать в более широком смысле, оценивая выполнение ФУНКЦИИ на протяжении всей испытательной последовательности. См. также обоснование 6.2.1.10 настоящего приложения относительно интерпретации выражения «остановка или прерывание» при кратковременном воздействии на ME ИЗДЕЛИЕ или ME СИСТЕМУ.
ME ИЗДЕЛИЯ и ME СИСТЕМЫ должны также удовлетворять требованиям, установленным в 6.2.1.10, после испытаний на ПОМЕХОУСТОЙЧИВОСТЬ. Однако необходима правильная интерпретация понятия «после испытаний». Иногда влияние ИСПЫТАТЕЛЬНОГО УРОВНЯ ПОМЕХОУСТОЙЧИВОСТИ можно обнаружить только после прекращения воздействия ПОМЕХ (например, при испытаниях на УСТОЙЧИВОСТЬ к излучаемым радиочастотным электромагнитным полям). Возможно также существование скрытого (остаточного) влияния, вызванного ИСПЫТАТЕЛЬНЫМ УРОВНЕМ ПОМЕХОУСТОЙЧИВОСТИ. Однако, если ME ИЗДЕЛИЕ или ME СИСТЕМА удовлетворяют требованиям, установленным в 6.2.1.10, в течение приемлемого периода времени (например, равного времени выравнивания потенциала ME ИЗДЕЛИЯ или ME СИСТЕМЫ, установленного в соответствии с 6.2.3.2, d), или времени восстановления ME ИЗДЕЛИЯ или ME СИСТЕМЫ, установленного ИЗГОТОВИТЕЛЕМ), после завершения испытательной последовательности, то можно считать их удовлетворяющими требованиям, установленным в 6.2.1.10 «после испытаний».
Подпункт 6.2.2.1 — Время между разрядами
Требование, чтобы в основе определения соответствия было применение отдельных ЭЛЕКТРОСТАТИЧЕСКИХ РАЗРЯДОВ, гарантирует, что испытания адекватны реальным эксплуатационным условиям. Во время испытаний применение многократно повторяющихся разрядов к каждой контрольной точке (например, при интервалах, равных приблизительно 1 с) позволяет улучшить статистику испытаний, а также проводить исследовательские испытания достаточно быстро. Однако для некоторых ME ИЗДЕЛИЙ и ME СИСТЕМ, таких как мониторы, подключенные к ПАЦИЕНТУ, разряды могут быть ошибочно приняты за сигнал от ПАЦИЕНТА с частотой, равной частоте повторения разрядов. Так как маловероятно, что при реальной эксплуатации ME ИЗДЕЛИЕ или ME СИСТЕМА будут подвергаться воздействию ЭЛЕКТРОСТАТИЧЕСКИХ РАЗРЯДОВ, повторяющихся с такой частотой, для исключения ошибок результаты испытаний должны оцениваться на основе рассмотрения реакции ME ИЗДЕЛИЯ или ME СИСТЕМЫ на каждый разряд в отдельности.
Подпункт 6.2.2.2 b) и с) — Контактные разряды подают… и Воздушные разряды подают…
ДОСТУПНЫЕ ЧАСТИ — это термин, установленный в общем стандарте, который используется в настоящем подпункте для установления возможности применения разрядов только к тем точкам на корпусе оборудования, к которым можно прикоснуться испытательным наконечником, установленным в МЭК 61000-4-2, и к точкам внутри корпуса, доступным без применения ИНСТРУМЕНТОВ. К недоступным элементам ДОСТУПНЫХ ЧАСТЕЙ относятся контакты углубленного соединителя и любые другие контакты соединителя, к которым нельзя прикоснуться испытательным наконечником. Большая часть входов соединителей спроектирована для обработки высокочастотной информации либо в аналоговом, либо в цифровом виде и, следовательно, не может включать приборы защиты от перенапряжений
. Для гарантии надлежащего функционирования ME ИЗДЕЛИЯ или ME СИСТЕМЫ требуются маркировка на ME ИЗДЕЛИИ или ME СИСТЕМЕ и указания в ЭКСПЛУАТАЦИОННОЙ ДОКУМЕНТАЦИИ в отношении соединителей, не подлежащих испытаниям на УСТОЙЧИВОСТЬ к ЭСР.
_______________
Этот текст приведен в Изменении 2 (2000) к стандарту МЭК 61000-4-2:1995 [5].
Подпункт 6.2.2.2 d) — ME ИЗДЕЛИЯ и ME СИСТЕМЫ с ВНУТРЕННИМ ИСТОЧНИКОМ ПИТАНИЯ
Любой электростатический заряд, который накапливается на ME ИЗДЕЛИИ, относящемся к классу II по электробезопасности, или на ME ИЗДЕЛИИ с ВНУТРЕННИМ ИСТОЧНИКОМ ПИТАНИЯ, должен рассеиваться в течение интервалов времени между последовательными разрядами от испытательного генератора ЭСР так, чтобы можно было определить действительное влияние каждого разряда. При испытаниях на УСТОЙЧИВОСТЬ к ЭСР должны быть предприняты меры предосторожности, чтобы избежать повышения напряжения на ME ИЗДЕЛИИ или ME СИСТЕМЕ. Следовательно, между разрядами от испытательного генератора ЭСР рекомендуется рассеивать любой накопленный заряд на ME ИЗДЕЛИИ или ME СИСТЕМЕ с помощью специально применимой резистивной цепи. Однако эта резистивная цепь должна быть отключена и удалена во время воздействия ЭСР для того, чтобы не влиять на испытательный разряд и возникающие при этом кратковременные электрические и магнитные поля.
Подпункт 6.2.3.1 — Требования
Для информации относительно выражения «во время и после испытаний» см. обоснование 6.2.2.1 настоящего приложения.
Подпункт 6.2.3.1 а) и b) — Общие положения и ME ИЗДЕЛИЯ и ME СИСТЕМЫ ЖИЗНЕОБЕСПЕЧЕНИЯ
Предполагается, что для некоторых ME ИЗДЕЛИЙ и ME СИСТЕМ, СВЯЗАННЫХ С ПАЦИЕНТОМ, может быть обосновано применение более низких УРОВНЕЙ СООТВЕТСТВИЯ ТРЕБОВАНИЯМ ПОМЕХОУСТОЙЧИВОСТИ, с учетом того, что физиологические сигналы могут быть существенно ниже сигналов, наведенных испытательным радиочастотным электромагнитным полем напряженностью 3 В/м.
Увеличенный ИСПЫТАТЕЛЬНЫЙ УРОВЕНЬ при испытаниях на ПОМЕХОУСТОЙЧИВОСТЬ при воздействии радиочастотного электромагнитного поля для ME ИЗДЕЛИЙ и ME СИСТЕМ ЖИЗНЕОБЕСПЕЧЕНИЯ следует рассматривать как дополнительный запас надежности для уменьшения вероятности того, что портативные/мобильные средства радиосвязи, такие как радиотелефоны (сотовые и беспроводные), могут стать причиной УХУДШЕНИЯ КАЧЕСТВА ФУНКЦИОНИРОВАНИЯ ME ИЗДЕЛИЯ или ME СИСТЕМЫ. Они в результате нанесут вред ПАЦИЕНТУ, если портативные/мобильные средства радиосвязи будут внесены в зону ПАЦИЕНТА. Увеличение ИСПЫТАТЕЛЬНОГО УРОВНЯ при испытаниях на ПОМЕХОУСТОЙЧИВОСТЬ не означает разрешения использовать мобильные/портативные средства радиосвязи в непосредственной близости от ME ИЗДЕЛИЯ или ME СИСТЕМЫ. Запас безопасности ME ИЗДЕЛИЙ и ME СИСТЕМ ЖИЗНЕОБЕСПЕЧЕНИЯ, обеспечиваемый с помощью установления ИСПЫТАТЕЛЬНОГО УРОВНЯ при испытаниях на ПОМЕХОУСТОЙЧИВОСТЬ, равного 10 В/м, особенно важен в полосе от 80 МГц до 2,5 ГГц, так как данная полоса частот используется различными переносными и подвижными приемно-передающими радиостанциями, сотовыми и беспроводными радиотелефонами.
Практика показывает, что ME ИЗДЕЛИЯ и ME СИСТЕМЫ, особенно те, которые не подвергались испытаниям в соответствии с требованиями настоящего параллельного стандарта, оказываются более восприимчивыми к радиопередачам цифровых сотовых и беспроволочных радиотелефонов, чем к передачам более старых аналоговых портативных и мобильных радиотелефонов, при одной и той же НОМИНАЛЬНОЙ максимальной выходной мощности. Наибольшая восприимчивость проявляется к помехам от переносных и подвижных приемно-передающих радиостанций, которые часто имеют более высокую выходную мощность, чем радиотелефоны.
Частота 2,5 ГГц была выбрана в качестве верхнего предела частоты испытательного электромагнитного поля, чтобы охватить полосу частот от 2,4 до 2,5 ГГц, выделенную для ПНМ ВЧ устройств. До тех пор, пока полоса от 2,5 до 3 ГГц не будет использоваться более интенсивно, в дополнительных испытаниях в этой полосе частот нет необходимости.
Подпункт 6.2.3.1 с) — ME ИЗДЕЛИЯ и ME СИСТЕМЫ, предназначенные для применения только в экранированных помещениях
Для ME ИЗДЕЛИЙ и ME СИСТЕМ, предназначенных для применения только в экранированных помещениях, целесообразно понижать ИСПЫТАТЕЛЬНЫЙ УРОВЕНЬ при испытаниях на ПОМЕХОУСТОЙЧИВОСТЬ при воздействии радиочастотных излучаемых и кондуктивных помех посредством установления минимальных значений эффективности экранирования и вносимого затухания помехоподавляющих фильтров, обеспечиваемых экранированным помещением. Однако если применение только в экранированном помещении обусловлено характеристиками ЭЛЕКТРОМАГНИТНОЙ ЭМИССИИ ME ИЗДЕЛИЯ или ME СИСТЕМЫ, то изготовитель может не понижать ИСПЫТАТЕЛЬНЫЙ УРОВЕНЬ при испытаниях на ПОМЕХОУСТОЙЧИВОСТЬ.
См. обоснование 5.2.2.3 b) настоящего приложения.
Для ME ИЗДЕЛИЙ и ME СИСТЕМ, предназначенных для применения только в экранированных помещениях, с высокой эффективностью экранирования и высокими значениями вносимого затухания фильтров, ИСПЫТАТЕЛЬНЫЙ УРОВЕНЬ ПОМЕХОУСТОЙЧИВОСТИ может быть уменьшен до значений ниже норм ЭЛЕКТРОМАГНИТНОЙ ЭМИССИИ, установленных в стандартах СИСПР. Следовательно, необходимо предоставить ОПЕРАТОРУ рекомендации о том, какие ограничения должны быть применены для других приборов, используемых в данном экранированном помещении: (см. 5.2.2.3 с).
Частота 2,5 ГГц была выбрана в качестве верхнего предела частоты испытательного электромагнитного поля, чтобы охватить полосу частот от 2,4 до 2,5 ГГц, выделенную для ПНМ ВЧ устройств. До тех пор, пока полоса от 2,5 до 3 ГГц не будет использоваться более интенсивно, в дополнительных испытаниях в этой полосе нет необходимости.
Подпункт 6.2.3.1 d) — ME ИЗДЕЛИЯ и ME СИСТЕМЫ, в состав которых входят приемники радиочастотной электромагнитной энергии
В медицинской практике используется оборудование, которое настраивается на определенную частоту для того, чтобы обнаружить радиочастотный электромагнитный сигнал от ПАЦИЕНТА (например, ИЗДЕЛИЯ, функционирующие по принципу магнитного резонанса) или передать данные для дистанционного контроля за ПАЦИЕНТОМ (например, устройства телеметрии). Когда приемник радиочастотной электромагнитной энергии настраивается на установленную частоту, то невозможно обеспечить невосприимчивость данной части ME ИЗДЕЛИЯ или ME СИСТЕМЫ к испытательному сигналу в полосе пропускания указанного приемника. Следовательно, должно быть допущено УХУДШЕНИЕ КАЧЕСТВА ФУНКЦИОНИРОВАНИЯ приемной части. Однако другие рабочие ФУНКЦИИ ME ИЗДЕЛИЯ или ME СИСТЕМЫ должны выполняться, как установлено.
Частота 2,5 ГГц была выбрана в качестве верхнего предела частоты испытательного электромагнитного поля, чтобы охватить полосу частот от 2,4 до 2,5 ГГц, выделенную для ПНМ ВЧ устройств. До тех пор, пока полоса от 2,5 до 3,0 ГГц не будет использоваться более интенсивно, в дополнительных испытаниях в этой полосе нет необходимости.
Подпункт 6.2.3.2 с) — Испытательный сигнал должен быть модулирован по амплитуде при глубине модуляции 80%…
Частота модуляции 2 Гц является компромиссом, который был выбран таким образом, чтобы эта частота находилась в пределах полос пропускания физиологических сигналов, а также чтобы избежать увеличения времени испытаний, которое может потребоваться, если частоты модуляции будут соответствовать всем применяемым полосам пропускания физиологических сигналов. Она соответствует характерной полосе пропускания физиологических сигналов респираторных и кардиологических ИЗДЕЛИЙ и СИСТЕМ и второй частоте модуляции некоторых видов сотовых/беспроводных радиотелефонов. Использование частоты модуляции 1 кГц для ME ИЗДЕЛИЙ и ME СИСТЕМ, которые не применяются для измерения или контроля физиологических параметров, соответствуют требованиям, установленным в МЭК 61000-4-3. Необходимо, чтобы ИМИТИРОВАННАЯ ФИЗИОЛОГИЧЕСКАЯ ЧАСТОТА и РАБОЧАЯ ЧАСТОТА были отделены от частоты модуляции для того, чтобы сделать обнаружение влияния воздействующих помех более очевидным. Разработчикам частных стандартов (МЭК 60601-1-2-х и стандарты ИСО, основанные на МЭК 60601-1) рекомендуется использовать требования к частоте модуляции, ИМИТИРОВАННОЙ ФИЗИОЛОГИЧЕСКОЙ ЧАСТОТЕ и РАБОЧЕЙ ЧАСТОТЕ, установленным в настоящем параллельном стандарте, пока они не признаны не отвечающими требованиям для конкретной продукции. Для ME СИСТЕМ с большим числом параметров это уменьшит время испытаний, которое в противном случае будет определяться требованием проведения испытаний в пределах всей полосы частот при индивидуальных частотах модуляции, установленных для каждой ПОДСИСТЕМЫ.
Подпункт 6.2.3.2 d) и е) — Метод установления шага изменения частоты и времени задержки и Метод непрерывного изменения частоты
Минимальное время задержки на каждой частоте, равное 3 с для ME ИЗДЕЛИЙ и ME СИСТЕМ, которые испытывают при частоте модуляции 2 Гц, определяется из установленных в МЭК 61000-4-3 требований к максимальной скорости изменения частоты (1,5·10
декад/с) и к максимальной величине шага изменения частоты (1%). Это гарантирует, что испытуемые ME ИЗДЕЛИЕ или ME СИСТЕМА будут подвергаться воздействию помехи на некоторой частоте в течение по крайней мере шести периодов модуляции. Для остальных ME ИЗДЕЛИЙ и ME СИСТЕМ требуется минимальное время задержки, равное 1 с, для того чтобы УХУДШЕНИЕ КАЧЕСТВА ФУНКЦИОНИРОВАНИЯ, которое может иметь место в ходе испытаний на ПОМЕХОУСТОЙЧИВОСТЬ при определенном ИСПЫТАТЕЛЬНОМ УРОВНЕ, могло быть зафиксировано специалистами по испытаниям.
Обеспечение достаточного времени задержки на каждой частоте (применение достаточно малой скорости изменения частоты) может иметь большое значение при испытаниях ME ИЗДЕЛИЙ и ME СИСТЕМ на ПОМЕХОУСТОЙЧИВОСТЬ. Несмотря на то, что помеха может проявляться на дисплее немедленно, ME ИЗДЕЛИЯ и ME СИСТЕМЫ в ряде случаев обладают значительным временем реакции, и может потребоваться достаточно длительное время задержки для того, чтобы оценить функционирование при воздействии помех. Это подтверждается следующими примерами:
— пульсовая оксиметрия может отображать значение, усредненное по нескольким сердечным циклам;
— изменение скорости потока инфузионного насоса может занять несколько минут;
— оборудованию для вентиляции легких может потребоваться несколько циклов, чтобы среагировать на испытательное воздействие.
Примечание — Время реакции некоторых медленно действующих датчиков, например химических или биохимических, может составлять несколько минут, причем указанные датчики могут быть невосприимчивыми к воздействию радиочастотного электромагнитного поля. В таких случаях время реакции электронных устройств, включая фильтрацию и усреднение в аппаратуре или программном обеспечении, может рассматриваться в качестве времени реакции, которое должно учитываться при определении времени задержки на каждой частоте.
Подпункт 6.2.3.2 h) — Кабели, соединяющие ME ИЗДЕЛИЕ или ME СИСТЕМУ с ПАЦИЕНТОМ…
Связь ME ИЗДЕЛИЯ или ME СИСТЕМЫ с ПАЦИЕНТОМ может существенным образом влиять на ЭЛЕКТРОМАГНИТНУЮ ОБСТАНОВКУ при их испытаниях (ПАЦИЕНТ может выполнять роль антенны). Поэтому разработка адекватных моделей ПАЦИЕНТА и методов испытаний потребует обширных исследований применительно к каждому ME ИЗДЕЛИЮ или ME СИСТЕМЕ, связанным с ПАЦИЕНТОМ. Требование того, что во время испытаний точка связи с ПАЦИЕНТОМ не должна иметь преднамеренного кондуктивного или емкостного соединения с землей, является гарантией, что кабель, соединяющий ME ИЗДЕЛИЕ или МЕ СИСТЕМУ с ПАЦИЕНТОМ, испытывают в наихудших условиях. В МЭК 60601-1 условия, при которых ПАЦИЕНТ изолирован от земли или заземлен, рассматриваются как НОРМАЛЬНЫЕ УСЛОВИЯ. Следует ограничить паразитную емкость между точкой связи с ПАЦИЕНТОМ и землей значением не более 250 пФ. Данные условия считаются наихудшими. При этом не учитывается, что тело человека может выполнять роль антенны, которая в зависимости от физиологической конфигурации может существенным образом увеличить или уменьшить радиочастотную электромагнитную энергию, вводимую в ME ИЗДЕЛИЕ или ME СИСТЕМУ на каждой конкретной частоте. Подкомитет 62А не планирует разработку радиочастотной модели ПАЦИЕНТА.
Подпункт 6.2.3.2 i) — Для КРУПНОГАБАРИТНЫХ СТАЦИОНАРНЫХ ME ИЗДЕЛИЙ и ME СИСТЕМ…
Если имитация работы ПОДСИСТЕМ невозможна, то испытывать КРУПНОГАБАРИТНЫЕ СТАЦИОНАРНЫЕ ME ИЗДЕЛИЯ и ME СИСТЕМЫ на УСТОЙЧИВОСТЬ к излучаемому радиочастотному электромагнитному полю в соответствии с требованиями МЭК 61000-4-3 на испытательной площадке нецелесообразно. Следовательно, они должны испытываться при работе средств радиосвязи в качестве испытательных радиочастотных источников (разрешенное использование передатчиков).
Подпункт 6.2.4.1 — Требования
МЭК 61000-4-4:2004 (раздел В) [7] рекомендует применять испытательный уровень 3 (±2 кВ для портов электропитания и защитного заземления и ±1 кВ для портов ввода-вывода и управления) в условиях электромагнитной обстановки, характеризующихся «плохим разнесением кабелей электроснабжения, управления, сигнальных и соединительных», что может иметь место в больницах. Кроме того, испытательный уровень 3 обеспечивает больший запас безопасности, чем, например, испытательный уровень 2.
Кабели, с помощью которых ME ИЗДЕЛИЕ или ME СИСТЕМУ подключают к ПАЦИЕНТУ, в основном обладают недостаточной длиной для того, чтобы при их прокладке параллельно кабелям питающей сети на достаточном расстоянии был обеспечен ввод ЭЛЕКТРОМАГНИТНОЙ ПОМЕХИ такого уровня, который оправдал бы применение емкостных клещей связи при испытаниях на ПОМЕХОУСТОЙЧИВОСТЬ. Кроме того, даже при очень длинных кабелях, с помощью которых ME ИЗДЕЛИЕ или ME СИСТЕМУ подключают к ПАЦИЕНТУ, нежелательно располагать их поблизости от кабелей питающей сети для обеспечения электрической безопасности и снижения шума. Присоединение кабелей, с помощью которых ME ИЗДЕЛИЕ или ME СИСТЕМУ подключают к ПАЦИЕНТУ, позволяет реально учесть в ходе испытаний на ПОМЕХОУСТОЙЧИВОСТЬ влияние на указанные кабели ЭЛЕКТРОМАГНИТНЫХ ПОМЕХ при заданном ИСПЫТАТЕЛЬНОМ УРОВНЕ ПОМЕХОУСТОЙЧИВОСТИ.
Несмотря на то, что при испытаниях помехи не вводят в сигнальные и соединительные кабели, длина которых не превышает 3 м, и во все кабели, с помощью которых ME ИЗДЕЛИЕ или ME СИСТЕМУ подключают к ПАЦИЕНТУ, взаимная связь между кабелями, которые испытывают непосредственно, и кабелями, на которые помеху не подают, создает условия для несоответствия ME ИЗДЕЛИЯ или ME СИСТЕМЫ требованиям ПОМЕХОУСТОЙЧИВОСТИ настоящего параллельного стандарта, относящимся к данному испытанию.
Для информации относительно выражения «во время и после испытаний» см. обоснование 6.2.2.1 настоящего приложения.
Подпункт 6.2.4.2 с) — Для тех частей ME ИЗДЕЛИЯ или ME СИСТЕМЫ, с помощью которых ME ИЗДЕЛИЕ или ME СИСТЕМУ подключают к ПАЦИЕНТУ, …
Эквивалент руки и RC-элемент воспроизводят взаимную связь между ПАЦИЕНТОМ и землей и необходимы для установления указанной связи во время испытаний. Эквивалент руки имитирует емкостную связь с ПАЦИЕНТОМ, а RC-элемент — радиочастотное полное сопротивление ПАЦИЕНТА по отношению к земле. Применительно к испытаниям, установленным в настоящем параллельном стандарте, использование эквивалента руки и RC-элемента является единственно пригодным для настоящих испытаний и испытаний, установленных в МЭК 61000-4-6, так как эквивалент руки, RC-элемент и соединительный провод не в полной мере соответствуют условиям испытаний на ПОМЕХОУСТОЙЧИВОСТЬ при более высоких частотах.
Подпункт 6.2.4.2 d) — ПОРТАТИВНЫЕ ME ИЗДЕЛИЯ и детали ME ИЗДЕЛИЯ, предназначенные для НОРМАЛЬНОГО ИСПОЛЬЗОВАНИЯ в руках…
Эквивалент руки и RC-элемент воспроизводят взаимную связь между ОПЕРАТОРОМ и землей и необходимы для установления указанной связи во время испытаний. Эквивалент руки имитирует емкостную связь с ПАЦИЕНТОМ, а RC-элемент — радиочастотное полное сопротивление ПАЦИЕНТА по отношению к земле. Применительно к испытаниям, установленным в настоящем параллельном стандарте, использование эквивалента руки и RC-элемента является единственно пригодным для настоящих испытаний и испытаний, установленных в МЭК 61000-4-6, так как эквивалент руки, RC-элемент и соединительный провод не в полной мере соответствуют условиям испытаний на ПОМЕХОУСТОЙЧИВОСТЬ при более высоких частотах.
Металлическая фольга и RC-элемент должны использоваться для имитации как ОПЕРАТОРА, так и ПАЦИЕНТА, несмотря на то, что ОПЕРАТОР конкретного ИЗДЕЛИЯ или СИСТЕМЫ всегда является ПАЦИЕНТОМ.
Подпункт 6.2.5.1 — Требования
Несмотря на то, что при испытаниях помехи подают только на цепи силового электропитания и переменного тока преобразователей «переменный ток — постоянный ток» и зарядных устройств батарей, взаимная связь между кабелями, которые испытывают непосредственно, и кабелями, на которые помехи не подают, создает условия для несоответствия ME ИЗДЕЛИЯ или ME СИСТЕМЫ требованиям ПОМЕХОУСТОЙЧИВОСТИ настоящего параллельного стандарта, относящимся к данному испытанию.
Для информации относительно выражения «во время и после испытаний» см. обоснование 6.2.2.1 настоящего приложения.
Подпункт 6.2.5.2 — Испытания
Испытания при подаче микросекундных импульсных помех от комбинированного испытательного генератора осуществляют при внутреннем сопротивлении испытательного генератора 2 Ом для схемы «провод-провод» и 12 Ом для схемы «провод-земля».
Подпункт 6.2.5.2 с) — ME ИЗДЕЛИЯ и ME СИСТЕМЫ, в которых не установлены устройства защиты от импульсных перенапряжений
Испытание на УСТОЙЧИВОСТЬ к микросекундным импульсным помехам большой энергии позволяет в основном проверить способность источника питания выдерживать воздействие высокоэнергетических импульсов помех. Если в ME ИЗДЕЛИИ или ME СИСТЕМЕ не установлено устройство защиты от импульсных перенапряжений, то испытания при наивысшем ИСПЫТАТЕЛЬНОМ УРОВНЕ ПОМЕХОУСТОЙЧИВОСТИ, установленном в 6.2.6 (±2 кВ при подаче помехи на цепи электропитания переменного тока по схеме «провод-земля» и ±1 кВ при подаче помехи на цепи электропитания переменного тока по схеме «провод-провод»), будут проводиться в наиболее жестких условиях. В этом случае испытания при более низком ИСПЫТАТЕЛЬНОМ УРОВНЕ ПОМЕХОУСТОЙЧИВОСТИ бесполезны и не дадут дополнительной информации. Если же в ME ИЗДЕЛИИ или ME СИСТЕМЕ установлено устройство защиты от импульсных перенапряжений, то испытания при более низких ИСПЫТАТЕЛЬНЫХ УРОВНЯХ ПОМЕХОУСТОЙЧИВОСТИ являются необходимыми для подтверждения правильной работы устройства защиты от импульсных перенапряжений.
Подпункт 6.2.5.2 d) — Для ME ИЗДЕЛИЙ и ME СИСТЕМ, относящихся к классу II по электробезопасности, у которых нет заземленных соединений,…
ME ИЗДЕЛИЯ и ME СИСТЕМЫ класса II по электробезопасности не имеют ПРОВОДНИКОВ ЗАЩИТНОГО ЗАЗЕМЛЕНИЯ. Поэтому проведение испытаний по схеме «провод-земля» со стандартным устройством связи будет невозможным. ME ИЗДЕЛИЯ и ME СИСТЕМЫ класса II должны обладать электрической прочностью изоляции: 3 кВ — между входными цепями электропитания и КОРПУСОМ для НАПРЯЖЕНИЙ СЕТИ на входе больших, чем 50 В, и меньших или равных 150 В: 4 кВ — между питающей сетью и КОРПУСОМ для НАПРЯЖЕНИЙ СЕТИ, больших, чем 150 В, и меньших или равных 250 В. В обоих случаях требуемая электрическая прочность изоляции превышает ИСПЫТАТЕЛЬНЫЙ УРОВЕНЬ ПОМЕХОУСТОЙЧИВОСТИ при воздействии микросекундных импульсных помех большой энергии. Поэтому подача микросекундных импульсных помех между линиями электропитания и КОРПУСОМ не обеспечит дополнительной информации.
Подпункт 6.2.6.1 — Требования
Для информации относительно выражения «во время и после испытаний» см. обоснование 6.2.2.1 настоящего приложения.
Подпункт 6.2.6.1 а) — Общие положения
Предполагается, что для некоторых ME ИЗДЕЛИЙ и ME СИСТЕМ, СВЯЗАННЫХ С ПАЦИЕНТОМ, может быть обосновано применение более низких УРОВНЕЙ СООТВЕТСТВИЯ ТРЕБОВАНИЯМ ПОМЕХОУСТОЙЧИВОСТИ. Учитывается, что физиологические сигналы могут быть существенно ниже сигналов, вызванных испытательным сигналом напряжением 3 В (среднеквадратичное значение).
Подпункт 6.2.6.1 b) — ME ИЗДЕЛИЯ и ME СИСТЕМЫ ЖИЗНЕОБЕСПЕЧЕНИЯ
Увеличенный ИСПЫТАТЕЛЬНЫЙ УРОВЕНЬ при испытаниях на ПОМЕХОУСТОЙЧИВОСТЬ при воздействии кондуктивных помех, наведенных радиочастотными электромагнитными полями на частотах, выделенных для работы ПНМ ВЧ устройств в полосе от 150 кГц до 80 МГц, для ME ИЗДЕЛИЙ и ME СИСТЕМ ЖИЗНЕОБЕСПЕЧЕНИЯ следует рассматривать как дополнительный запас безопасности. Цель — уменьшение вероятности того, что мобильные/портативные радиотелефонные системы связи, такие как приемно-передающие радиостанции, могут стать причиной УХУДШЕНИЯ КАЧЕСТВА ФУНКЦИОНИРОВАНИЯ ME ИЗДЕЛИЯ или ME СИСТЕМЫ, которое в результате нанесет вред ПАЦИЕНТУ, если мобильные/портативные средства радиосвязи оказываются в зоне ПАЦИЕНТА. Увеличение ИСПЫТАТЕЛЬНОГО УРОВНЯ при испытаниях на ПОМЕХОУСТОЙЧИВОСТЬ не означает разрешения использовать мобильные/портативные средства радиосвязи в непосредственной близости от ИЗДЕЛИЯ или СИСТЕМЫ. Запас безопасности ME ИЗДЕЛИЙ и ME СИСТЕМ ЖИЗНЕОБЕСПЕЧЕНИЯ, обеспечиваемый с помощью установления ИСПЫТАТЕЛЬНОГО УРОВНЯ при испытаниях на ПОМЕХОУСТОЙЧИВОСТЬ 10 В на частотах, выделенных для работы ПНМ ВЧ устройств в полосе от 150 кГц до 80 МГц, особенно важен, так как данная полоса частот используется мобильными/портативными радиотелефонными системами связи, которые часто имеют выходную мощность более 1 Вт.
Подпункт 6.2.6.1 с) — ME ИЗДЕЛИЯ и ME СИСТЕМЫ, предназначенные для применения только в экранированных помещениях
Для ИЗДЕЛИЙ и СИСТЕМ, предназначенных для применения только в экранированных помещениях, целесообразно понижать ИСПЫТАТЕЛЬНЫЙ УРОВЕНЬ при испытаниях на ПОМЕХОУСТОЙЧИВОСТЬ при воздействии радиочастотных излучаемых и кондуктивных помех, установив минимальные значения эффективности экранирования и вносимого затухания помехоподавляющих фильтров, обеспечиваемых экранированным помещением. Однако, если применение только в экранированном помещении обусловлено характеристиками ЭЛЕКТРОМАГНИТНОЙ ЭМИССИИ ME ИЗДЕЛИЯ или ME СИСТЕМЫ, то ИЗГОТОВИТЕЛЬ может не понижать ИСПЫТАТЕЛЬНЫЙ УРОВЕНЬ при испытаниях на ПОМЕХОУСТОЙЧИВОСТЬ. См. также обоснование 5.2.2.3 настоящего приложения.
Для ME ИЗДЕЛИЙ и ME СИСТЕМ, предназначенных для применения только в экранированных помещениях с высокой эффективностью экранирования и высокими значениями вносимого затухания фильтров, ИСПЫТАТЕЛЬНЫЙ УРОВЕНЬ при испытаниях на ПОМЕХОУСТОЙЧИВОСТЬ может быть понижен до значений ниже норм радиопомех, установленных в стандартах СИСПР. Следовательно, необходимо предоставить пользователю рекомендации о том, какие ограничения должны быть применены для других приборов, используемых в данном экранированном помещении. См. 5.2.2.3 с).
Подпункт 6.2.6.1 d) — ME ИЗДЕЛИЯ и ME СИСТЕМЫ, которые преднамеренно воспринимают радиочастотную электромагнитную энергию…
В медицинской практике используются изделия, которые настраиваются на определенную частоту для того, чтобы обнаружить радиочастотный электромагнитный сигнал от ПАЦИЕНТА (например, ИЗДЕЛИЕ, функционирующее по принципу магнитного резонанса) или передать данные для дистанционного контроля над ПАЦИЕНТОМ (например, устройство телеметрии). Когда приемник радиочастотной электромагнитной энергии настраивается на установленную частоту, то невозможно обеспечить невосприимчивость для данной части ME ИЗДЕЛИЯ или ME СИСТЕМЫ к испытательному сигналу в полосе пропускания указанного приемника. Следовательно, должно быть допущено УХУДШЕНИЕ КАЧЕСТВА ФУНКЦИОНИРОВАНИЯ приемной части. Однако другие рабочие ФУНКЦИИ ME ИЗДЕЛИЯ или ME СИСТЕМЫ должны выполняться, как установлено.
Подпункт 6.2.6.1 е) — ME ИЗДЕЛИЯ с ВНУТРЕННИМ ИСТОЧНИКОМ ПИТАНИЯ
К таким ME ИЗДЕЛИЯМ и ME СИСТЕМАМ требования, установленные в 6.2.6, не применяются, поскольку маловероятно, чтобы энергия радиочастотного электромагнитного поля, вызванного источниками в полосе от 150 кГц до 80 МГц, могла эффективно воздействовать на ME ИЗДЕЛИЯ или ME СИСТЕМЫ. В качестве примеров можно привести некоторые инфракрасные термометры и инфузионные насосы.
Подпункт 6.2.6.2 а), первый дефис — …термины «непосредственный ввод помехи» и «ввод помехи с использованием устройства связи/развязки«
Значения характеристического сопротивления кабелей и параметров ввода помехи для ME ИЗДЕЛИЙ и ME СИСТЕМ изменяются в более широких пределах, чем для ОИТ, применительно к которому были установлены требования и методы испытаний в МЭК 61000-4-6. Это уточнение позволяет обеспечить большее согласование подаваемых воздействий с испытуемыми ME ИЗДЕЛИЕМ или ME СИСТЕМОЙ.
Подпункт 6.2.6.2 а), второй дефис — Положения, приведенные в 6.2.1.1 МЭК 61000-4-6, последний дефис, не применяют
Для ME ИЗДЕЛИЙ и ME СИСТЕМ требования, установленные в 6.2.2.1 МЭК 61000-4-6, несовместимы с требованиями общего стандарта к ТОКАМ УТЕЧКИ.
Подпункт 6.2.6.2 а), третий дефис, первая точка — точность калибровки ИСПЫТАТЕЛЬНЫХ УРОВНЕЙ ПРИ ИСПЫТАНИЯХ НА ПОМЕХОУСТОЙЧИВОСТЬ…
Допускаемые значения отклонений напряжения испытательного сигнала (±2 дБ), установленные в МЭК 61000-4-6, применяют таким образом, чтобы уровень испытательного сигнала был всегда равен или превышал НОМИНАЛЬНОЕ значение [аналогично установленным допустимым значениям отклонений напряженности поля испытательного сигнала по МЭК 61000-4-3 (-0 дБ; +6 дБ)].
Подпункт 6.2.6.2 а), третий дефис, вторая точка — калибровка ИСПЫТАТЕЛЬНЫХ УРОВНЕЙ ПРИ ИСПЫТАНИЯХ НА ПОМЕХОУСТОЙЧИВОСТЬ с применением токовых клещей связи…
Калибровка в системе с сопротивлением 150 Ом уменьшает неопределенность испытаний благодаря согласованию характеристических сопротивлений с сопротивлением испытательной установки, которое в соответствии с МЭК 61000-4-6 должно быть равно 150 Ом.
Подпункт 6.2.6.2 а), третий дефис, третья точка — калибровка ИСПЫТАТЕЛЬНЫХ УРОВНЕЙ ПРИ ИСПЫТАНИЯХ НА ПОМЕХОУСТОЙЧИВОСТЬ выполнялась с использованием шаговой перестройки частоты…
Данная модификация преследует цель прояснить не установленный в МЭК 61000-4-6 параметр согласованием максимальных значений шага изменения частоты при установке уровня испытательного поля и при испытаниях. Это позволяет исключить необнаруженные отклонения характеристик калибровочной системы, которые могут искажать результаты испытаний.
Подпункт 6.2.6.2 а), четвертый дефис — Положения 7.1.2 МЭК 61000-4-6 заменяют следующими
Уточнения предназначены для согласования условий испытаний, установленных в МЭК 61000-4-6, с условиями обеспечения безопасности, установленными для ME ИЗДЕЛИЙ и ME СИСТЕМ в общем стандарте.
Подпункт 6.2.6.2 а), пятый дефис — Положения 7.4 МЭК 61000-4-6 должны быть изменены
См. обоснование 6.2.6.2 а), третий дефис, третья точка
Подпункт 6.2.6.2 а), шестой дефис — Альтернативный метод испытаний в соответствии с 7.7 МЭК 61000-4-6…
Для ME ИЗДЕЛИЙ и ME СИСТЕМ, в которых можно менять конфигурацию, требование об исключении испытаний на ПОМЕХОУСТОЙЧИВОСТЬ в коротких соединениях (<1 м) не применяют.
Подпункт 6.2.6.2 с) — Кабели, связывающие ME ИЗДЕЛИЕ или ME СИСТЕМУ с ПАЦИЕНТОМ…
На функционирование ME ИЗДЕЛИЙ и ME СИСТЕМ в основном отрицательно сказывается сопротивление, которое вносится устройствами связи/развязки в кабели, соединяющие ME ИЗДЕЛИЕ или ME СИСТЕМУ с ПАЦИЕНТОМ. Кроме того, желательно, чтобы радиочастотные сигналы действовали в точке связи с ПАЦИЕНТОМ. Это позволяет определить, влияют ли во время испытаний на ПОМЕХОУСТОЙЧИВОСТЬ демодуляция или другие процессы, происходящие в этой точке, на функционирование ME ИЗДЕЛИЯ или ME СИСТЕМЫ. Подключение, как установлено, концов кабелей, связывающих ME ИЗДЕЛИЕ или ME СИСТЕМУ с ПАЦИЕНТОМ, к пластине заземления является необходимым при применении токовых клещей связи для замыкания цепи ввода испытательного сигнала, включающей точку связи с ПАЦИЕНТОМ. В общем стандарте условия, при которых ПАЦИЕНТ изолирован от земли или заземлен, рассматриваются как НОРМАЛЬНЫЕ УСЛОВИЯ. Предлагаемый способ приводит к наиболее жестким испытаниям на ПОМЕХОУСТОЙЧИВОСТЬ. При этом эквивалент руки имитирует емкостную связь с ПАЦИЕНТОМ, а RC-элемент — радиочастотное полное сопротивление связи с ПАЦИЕНТОМ относительно земли. Эти требования не следует изменять в частных стандартах (МЭК 60601-1-2-х и стандарты ИСО, основанные на МЭК 60601-1).
См. также обоснование 6.2.4.2 с)
Из числа испытаний, установленных в настоящем параллельном стандарте, использование эквивалента руки и RC-элемента является наиболее адекватным для настоящих испытаний и испытаний, установленных в МЭК 61000-4-6. Эквивалент руки, RC-элемент и соединительный провод (см. СИСПР 16-1-2) не в полной мере соответствуют условиям испытаний на ПОМЕХОУСТОЙЧИВОСТЬ при более высоких частотах.
Подпункт 6.2.6.2 d) — ПОРТАТИВНЫЕ ME ИЗДЕЛИЯ и детали ME ИЗДЕЛИЯ, …
Эквивалент руки и RC-элемент воспроизводят взаимную связь между ОПЕРАТОРОМ и землей. Эквивалент руки имитирует емкостную связь с ОПЕРАТОРОМ, а RC-элемент — радиочастотное полное сопротивление связи ОПЕРАТОРА относительно земли. Если в состав ME ИЗДЕЛИЯ или ME СИСТЕМЫ не входят кабели, связывающие ME ИЗДЕЛИЕ или ME СИСТЕМУ с ПАЦИЕНТОМ, то эквивалент руки и RC-элемент, имитирующие емкостную связь и радиочастотное полное сопротивление связи с ОПЕРАТОРОМ, потребуются для обеспечения связи во время испытания. Из числа испытаний, установленных в настоящем параллельном стандарте, использование эквивалента руки и RC-элемента является наиболее адекватным для настоящих испытаний и испытаний, установленных в МЭК 61000-4-6. дЭквивалент руки, RC-элемент и соединительный провод (см. СИСПР 16-1-2) не в полной мере соответствуют условиям испытаний на ПОМЕХОУСТОЙЧИВОСТЬ при более высоких частотах.
Металлическая фольга и RC-элемент должны использоваться для имитации как ОПЕРАТОРА, так и ПАЦИЕНТА, несмотря на то, что ОПЕРАТОР конкретного ИЗДЕЛИЯ или СИСТЕМЫ всегда является ПАЦИЕНТОМ.
Подпункт 6.2.6.2 е) — Испытания при подаче помехи на ПОТЕНЦИАЛОВЫРАВНИВАЮЩИЙ ПРОВОД…
Цепи эквипотенциального заземления подлежат испытаниям.
Подпункт 6.2.6.2 f) — При вводе в каждый кабель испытательный сигнал должен быть модулирован…
См. обоснование 6.2.3.2 с.
Для ME ИЗДЕЛИЙ и ME СИСТЕМ, предназначенных для контроля, отображения или измерения физиологических параметров, испытательный сигнал, вводимый в каждый кабель, должен быть модулирован по амплитуде при частоте модуляции 2 Гц. Указанное требование относится не только к кабелям, при помощи которых ME ИЗДЕЛИЕ или ME СИСТЕМУ подключают к ПАЦИЕНТУ. Это гарантирует, что выполнение ФУНКЦИЙ связи с ПАЦИЕНТОМ будет должным образом оцениваться даже при вводе помехи в линии электропитания и соединительные кабели.
Подпункт 6.2.6.2 g) и h) — Метод установления шага изменения частоты и времени задержки… и Метод непрерывного изменения частоты…
См. обоснование 6.2.3.2, d) и е).
Подпункт 6.2.7.1 — Требования
МЭК 61000-4-11 распространяется на изделия с НОМИНАЛЬНЫМ потребляемым током, не превышающим 16 А в одной фазе. Однако настоящий стандарт расширяет применение МЭК 61000-4-11 для ME ИЗДЕЛИЙ и ME СИСТЕМ ЖИЗНЕОБЕСПЕЧЕНИЯ с НОМИНАЛЬНЫМ потребляемым током, превышающим 16 А в одной фазе, учитывая необходимость обеспечения безопасности указанных ME ИЗДЕЛИЙ и ME СИСТЕМ. Кроме того, настоящий параллельный стандарт вводит испытания с прерыванием напряжения электропитания длительностью 5 с для всех ME ИЗДЕЛИЙ и ME СИСТЕМ. При этом допускаются отклонения от требований, установленных в 6.2.1.10, потому что испытательное оборудование, необходимое для выполнения данных испытаний, является легко доступным.
Для этих испытаний понятие «более низкие УРОВНИ СООТВЕТСТВИЯ» (см. 6.2.1.1) означает меньшую продолжительность провала или прерывания напряжения или меньшее значение провала напряжения.
Для информации относительно выражения «во время и после испытаний» см. обоснование 6.2.2.1.
Подпункт 6.2.7.1 b) — Допускаются отклонения ME ИЗДЕЛИЙ и ME СИСТЕМ от требований,…
Для ME ИЗДЕЛИЙ и ME СИСТЕМ ЖИЗНЕОБЕСПЕЧЕНИЯ, для которых необходима СИСТЕМА СИГНАЛИЗАЦИИ, вероятно, необходимо, чтобы во время перебоев электроснабжения питание СИСТЕМЫ СИГНАЛИЗАЦИИ осуществлялось за счет накопленной энергии. Испытание должно проводиться для подтверждения, что накопленной энергии достаточно для работы СИСТЕМЫ СИГНАЛИЗАЦИИ в течение длительного периода времени, например 5 мин, или в течение срока, установленного в частном стандарте (МЭК 60601-1-2-Х).
Подпункт 6.2.8 — Магнитные поля
Дополнительные требования УСТОЙЧИВОСТИ к магнитным полям находятся на рассмотрении в Техническом комитете 77 и подкомитете 62 А МЭК.
Подпункт 6.2.8.1.1 — Требования
Предполагается, что применительно к видеотерминалам и другим устройствам, включающим электронно-лучевые приборы (например, электронно-рентгеновские преобразователи), будет использовано обоснование для установления более низких УРОВНЕЙ СООТВЕТСТВИЯ ТРЕБОВАНИЯМ ПОМЕХОУСТОЙЧИВОСТИ, как указано в 6.2.1.1.
Примечание — ИСПЫТАТЕЛЬНЫЙ УРОВЕНЬ ПОМЕХОУСТОЙЧИВОСТИ 3 А/м равен магнитной индукции 3,78 мкТл (0,0378 Гс) в свободном пространстве.
Для информации относительно выражения «во время и после испытаний» см. обоснование 6.2.2.1.
Подпункт 6.2.8.1.2 а) — Испытания проводят только при длительном режиме генерации магнитного поля…
Испытания при кратковременном воздействии магнитного поля неприменимы к ME ИЗДЕЛИЯМ и ME СИСТЕМАМ.
Подпункт 6.2.8.2 — Импульсное магнитное поле
Эти требования в основном применимы для изделий, предназначенных для установки на электростанциях. Типичная обстановка медицинских учреждений существенно отличается от той, на которую оказывают влияние высоковольтные переключатели большой мощности. Следовательно, эти требования для ME ИЗДЕЛИЙ и ME СИСТЕМ не применяют.
Подпункт 6.2.8.3 — Затухающее колебательное магнитное поле
Эти требования в основном применимы для изделий, предназначенных для установки на высоковольтных подстанциях. Типичная обстановка медицинских учреждений существенно отличается от той, на которую оказывают влияние высоковольтные переключатели большой мощности. Следовательно, эти требования для ME ИЗДЕЛИЙ и ME СИСТЕМ не применяют.
Подпункт 6.2.9 — Кондуктивные помехи в полосе частот от 0 Гц до 150 кГц
Эти требования применимы для специального оборудования, входящего в состав больших установок, у которых длины кабелей питающей сети и соединительных кабелей по меньшей мере близки к одной четверти длины волны при частоте 150 кГц. Для такой частоты значение
/4 составляет 500 м. Кабели, длина которых составляет 500 м, обычно не применяются в больницах. Кроме того, радиослужбы, функционирующие в этой полосе частот, являются либо оборудованием малого радиуса действия, либо морскими навигационными системами. По этим причинам указанные требования для ME ИЗДЕЛИЙ и ME СИСТЕМ не применяют.
Подпункт 6.2.10 — Колебательные помехи
Испытания при воздействии звенящих волн и колебательных затухающих помех не применяют для ME ИЗДЕЛИЙ и ME СИСТЕМ, так как ПОМЕХОУСТОЙЧИВОСТЬ в отношении переходных процессов в электрической сети обеспечивается установлением требований УСТОЙЧИВОСТИ к микросекундным импульсным помехам большой энергии и наносекундным импульсным помехам. Сопоставление спектральных характеристик затухающих колебательных помех и микросекундных импульсных помех большой энергии показывает, что испытания при воздействии микросекундных импульсных помех являются более жесткими. Кроме того, помехоподавляющие фильтры, обычно устанавливаемые в цепях электропитания изделий в целях контроля ЭЛЕКТРОМАГНИТНОЙ ЭМИССИИ, подавляют также внешние помехи в электрической сети на частотах выше 100 кГц. На практике изделие, которое выдерживает испытания на УСТОЙЧИВОСТЬ к микросекундным импульсным помехам большой энергии, проходит и испытания при воздействии колебательных затухающих помех.
Подпункт 6.2.11 — Гармоники и интергармоники, включая сигналы, передаваемые в силовой сети, воздействующие на входной порт электропитания
Эти требования в основном применимы для изделий, чувствительных к изменениям времени пересечения НАПРЯЖЕНИЕМ СЕТИ ЭЛЕКТРОПИТАНИЯ переменного тока нулевого уровня. ME ИЗДЕЛИЯ и ME СИСТЕМЫ, предназначенные для применения в обычных больничных условиях, как правило, не восприимчивы к малым изменениям времени пересечения нулевого уровня НАПРЯЖЕНИЕМ СЕТИ ЭЛЕКТРОПИТАНИЯ. Следовательно, указанные требования для ME ИЗДЕЛИЙ и ME СИСТЕМ не применяют.
Подпункт 6.2.12 — Пульсация напряжения электропитания постоянного тока
Стандарт, затрагивающий этот аспект, находится в разработке, следовательно, указанные требования для ME ИЗДЕЛИЙ и ME СИСТЕМ не применяют.
Подпункт 6.2.13 — Несимметрия напряжений в трехфазных электрических сетях
Стандарт, затрагивающий этот аспект, находится в разработке, следовательно, указанные требования для ME ИЗДЕЛИЙ и ME СИСТЕМ не применяют.
Рисунок А.1 — Пример размещения кабелей при проведении испытаний на УСТОЙЧИВОСТЬ к радиочастотному электромагнитному полю
1 — имитатор физиологического сигнала ПАЦИЕНТА; 2 — электронно-оптический преобразователь; 3 — волоконно-оптическая линия связи от испытуемого ИЗДЕЛИЯ; 4 — плоскость однородного поля (1,5 м
1,5 м); 5 — сетевой кабель; 6 — распределительная силовая коробка; 7 — подвергаемый воздействию электромагнитного поля соединительный кабель длиной 1 м (интерфейс RS232, сетевой кабель); (кабели большей длины) сворачивают в петли с обеспечением минимальной индуктивности; 8 — испытуемое изделие; 9 — кабель связи с ПАЦИЕНТОМ, свернутый в петли; 10 — точка связи с ПАЦИЕНТОМ
Примечание — Показано размещение кабелей при облучении изделия лишь с одной стороны.
Рисунок А.1 — Пример размещения кабелей при проведении испытаний на УСТОЙЧИВОСТЬ к радиочастотному электромагнитному полю [см. 6.2.3.2 h)]
Рисунок А.2 — Примеры определения максимальных размеров ME ИЗДЕЛИЙ
Рисунок А.2 — Примеры определения максимальных размеров ME ИЗДЕЛИЙ [см. 6.2.6.1 е) и f)]: а — с одним кабелем; b — с двумя кабелями
Приложение В (справочное). Руководство по маркировке и требования к ней для ME ИЗДЕЛИЙ и ME СИСТЕМ
В.1 Маркировка на наружных поверхностях ME ИЗДЕЛИЙ, ME СИСТЕМ или их частей
Требования к маркировке на наружных поверхностях ME ИЗДЕЛИЙ или их частей приведены в 7.2 и таблице С.1 общего стандарта. Дополнительные требования к маркировке на наружных поверхностях ME ИЗДЕЛИЙ, ME СИСТЕМ или их частей приведены в подпунктах, указанных в таблице В.1.
Таблица В.1 — Маркировка на наружных поверхностях ME ИЗДЕЛИЙ, ME СИСТЕМ или их частей
В.2 ЭКСПЛУАТАЦИОННЫЕ ДОКУМЕНТЫ, инструкции по применению
Требования к информации, которая должна быть включена в инструкции по применению, приведены в 7.9.2 и таблице С.5 общего стандарта. Дополнительные требования к информации, которая должна быть включена в инструкции по применению, приведены в подпунктах настоящего параллельного стандарта, указанных в таблице В.2.
Таблица В.2 — ЭКСПЛУАТАЦИОННЫЕ ДОКУМЕНТЫ, инструкции по применению
В.3 ЭКСПЛУАТАЦИОННЫЕ ДОКУМЕНТЫ, техническое описание
Требования к общей информации, которая должна быть включена в техническое описание, приведены в Подпункте 7.9.3 и в таблице С.6 общего стандарта. Дополнительные требования к информации, которая должна быть включена в техническое описание, приведены в подпунктах, указанных в таблице В.3.
Таблица В.3 — ЭКСПЛУАТАЦИОННЫЕ ДОКУМЕНТЫ, техническое описание
Приложение С (справочное). Примеры заполнения таблиц 1-8
С.1 Пример 1 заполнения таблицы 1
В качестве примера рассматриваются гипотетические ME ИЗДЕЛИЕ или ME СИСТЕМА, относящиеся к области применения СИСПР 11, группа 1, класс В, которые соответствуют классу А МЭК 61000-3-2 и МЭК 61000-3-3. В данном примере ME ИЗДЕЛИЕМ или ME СИСТЕМОЙ является конкретная модель ИЗГОТОВИТЕЛЯ 001.
Таблица 1 приобретает вид, приведенный в таблице С.1.
Таблица С.1 — Пример 1 заполнения таблицы 1
С.2 Пример 2 заполнения таблицы 1
В качестве примера рассматриваются гипотетические ME ИЗДЕЛИЕ или ME СИСТЕМА, относящиеся к области применения СИСПР 11, группа 2, класс А, на которые не распространяются МЭК 61000-3-2 и МЭК 61000-3-3. В данном примере ME ИЗДЕЛИЕМ или ME СИСТЕМОЙ является конкретная модель изготовителя 002.
Таблица 1 приобретает вид, приведенный в таблице С.2.
Таблица С.2 — Пример 2 заполнения таблицы 1
С.3 Пример 3 заполнения таблицы 1
В качестве примера рассматривается гипотетическая ME СИСТЕМА магнитной резонансной томографии (MRI), предназначенная для применения только в экранированном помещении. Относится к области применения СИСПР 11, класс А при установке в определенном экранированном помещении, на которую не распространяются МЭК 61000-3-2 и МЭК 61000-3-3. В данном примере ME СИСТЕМОЙ магнитной резонансной томографии является конкретная модель изготовителя 003.
Таблица 1 приобретает вид, приведенный в таблице С.3.
Таблица С.3 — Пример 3 заполнения таблицы 1
С.4 Пример заполнения таблицы 2
В качестве примера рассматривается гипотетический усилитель изображения, который соответствует всем ИСПЫТАТЕЛЬНЫМ УРОВНЯМ по МЭК 60601, установленным в настоящем параллельном стандарте, кроме требований УСТОЙЧИВОСТИ к магнитному полю промышленной частоты. УСТОЙЧИВОСТЬ к магнитному полю промышленной частоты составляет 0,3 А/м. В данном примере усилителем изображения является конкретная модель ИЗГОТОВИТЕЛЯ 004.
Таблица 2 приобретает вид, приведенный в таблице С.4.
Таблица С.4 — Пример заполнения таблицы 2
С.5 Примеры заполнения таблицы 3 и таблицы 5
В качестве примера рассматривается гипотетическое ME ИЗДЕЛИЕ или ME СИСТЕМА ЖИЗНЕОБЕСПЕЧЕНИЯ и, следовательно, используются таблицы 3 и 5. В данном примере ME ИЗДЕЛИЕМ или ME СИСТЕМОЙ является конкретная модель ИЗГОТОВИТЕЛЯ 005. Эта модель соответствует ИСПЫТАТЕЛЬНОМУ УРОВНЮ по МЭК 60601, установленному в настоящем параллельном стандарте для испытаний на УСТОЙЧИВОСТЬ к излучаемому радиочастотному электромагнитному полю, но не соответствует ИСПЫТАТЕЛЬНОМУ УРОВНЮ по МЭК 60601 при испытаниях на УСТОЙЧИВОСТЬ к кондуктивным радиочастотным помехам. Предполагается, что обоснование возможности применения модели 005 при условиях, когда ИСПЫТАТЕЛЬНЫЙ УРОВЕНЬ при испытаниях на УСТОЙЧИВОСТЬ к кондуктивным радиочастотным помехам ниже, чем значение ИСПЫТАТЕЛЬНОГО УРОВНЯ по МЭК 60601, является существенным и приводится в ЭКСПЛУАТАЦИОННОЙ ДОКУМЕНТАЦИИ. Так как необходимые УРОВНИ СООТВЕТСТВИЯ должны представлять собой ИСПЫТАТЕЛЬНЫЕ УРОВНИ при испытаниях на ПОМЕХОУСТОЙЧИВОСТЬ, установленные в основополагающем стандарте ЭМС, то УРОВНИ СООТВЕТСТВИЯ ТРЕБОВАНИЯМ ПОМЕХОУСТОЙЧИВОСТИ являются более низкими, чем действительные УРОВНИ ПОМЕХОУСТОЙЧИВОСТИ, приведенные в таблице С.5.
Таблица С.5 — Пример 1 ИСПЫТАТЕЛЬНЫХ УРОВНЕЙ при испытаниях на ПОМЕХОУСТОЙЧИВОСТЬ, УРОВНЕЙ ПОМЕХОУСТОЙЧИВОСТИ и УРОВНЕЙ СООТВЕТСТВИЯ
Таким образом,
1 В,
1 В,
10 В. Вычислив выражения в квадратных скобках, приведенные в таблицах 3 и 5, и округлив до двух значащих цифр, получаем:
Эти значения будут использованы для заполнения таблицы 3, как показано в таблице С.6, и таблицы 5, как показано в таблице С.7
Таблица С.6 — Пример заполнения таблицы 3
Таблица С.7 — Пример заполнения таблицы 5
С.6 Примеры заполнения таблицы 4 и таблицы 6
В качестве примера рассматриваются гипотетические ME ИЗДЕЛИЕ или ME СИСТЕМА, не относящиеся к ЖИЗНЕОБЕСПЕЧЕНИЮ. Поэтому используются таблицы 4 и 6. В данном примере ME ИЗДЕЛИЕМ или ME СИСТЕМОЙ является конкретная модель ИЗГОТОВИТЕЛЯ 006. Эта модель отвечает ИСПЫТАТЕЛЬНЫМ УРОВНЯМ по МЭК 60601, установленным в настоящем параллельном стандарте для испытаний на УСТОЙЧИВОСТЬ к излучаемым и кондуктивным помехам.
Используя ИСПЫТАТЕЛЬНЫЕ УРОВНИ по МЭК 60601
3 и
3, вычислив выражения в квадратных скобках, приведенные в таблицах 3 и 5 и округлив до двух значащих цифр, получаем:
Эти значения будут использованы для заполнения таблицы 4, как показано в таблице С.8, и таблицы 6, как показано в таблице С.9.
Таблица С.8 — Пример заполнения таблицы 4
Таблица С.9 — Пример заполнения таблицы 6
С.7 — Пример заполнения таблицы 7
В качестве примера рассматриваются гипотетические ME ИЗДЕЛИЕ или ME СИСТЕМА ЖИЗНЕОБЕСПЕЧЕНИЯ, предназначенные для применения только в экранированном помещении с минимальными значениями эффективности экранирования и вносимого затухания фильтра 31 дБ в полосе частот от 150 кГц до 2,5 ГГц. Поэтому используется таблица 7.
В данном примере ME ИЗДЕЛИЕМ или ME СИСТЕМОЙ является конкретная модель ИЗГОТОВИТЕЛЯ 007. Требуемый перечень оборудования, которое допускается или запрещается размещать в экранированном помещении совместно с моделью 007, приведен в руководстве по эксплуатации.
Действительные УРОВНИ ПОМЕХОУСТОЙЧИВОСТИ — ниже минимальных уровней, приведенных в основополагающих стандартах на ЭМС в области ПОМЕХОУСТОЙЧИВОСТИ. Следовательно, УРОВНИ СООТВЕТСТВИЯ ТРЕБОВАНИЯМ ПОМЕХОУСТОЙЧИВОСТИ равны действительным УРОВНЯМ ПОМЕХОУСТОЙЧИВОСТИ, приведенным в таблице С.10. Эти значения использованы для заполнения таблицы 7, как показано в таблице С.11.
Таблица С.10 — Пример 2 ИСПЫТАТЕЛЬНЫХ УРОВНЕЙ при испытаниях на ПОМЕХОУСТОЙЧИВОСТЬ, УРОВНЕЙ ПОМЕХОУСТОЙЧИВОСТИ и УРОВНЕЙ СООТВЕТСТВИЯ
Таблица С.11 — Пример заполнения таблицы 7
С.8 Пример заполнения таблицы 8
В качестве примера рассматривается гипотетическая ME СИСТЕМА магнитной резонансной томографии (MRI), предназначенная для применения только в экранированном помещении с минимальными значениями эффективности экранирования и вносимого затухания помехоподавляющих фильтров для каждого кабеля, который входит в экранированное помещение: 80 дБ — в полосе частот от 10 до 20 МГц, 100 дБ — от 20 до 80 МГц; 80 дБ — от 80 до 100 МГц (на частотах 20 и 80 МГц более высокие значения). Таким образом, используется таблица 8. В данном примере ME СИСТЕМОЙ магнитной резонансной томографии является конкретная модель ИЗГОТОВИТЕЛЯ 008. Требуемый перечень оборудования, которое допускается или запрещается размещать в экранированном помещении совместно с моделью 008, приведен в руководстве по эксплуатации.
Некоторые из действительных УРОВНЕЙ ПОМЕХОУСТОЙЧИВОСТИ ниже минимальных уровней, приведенных в основополагающих стандартах ЭМС в области ПОМЕХОУСТОЙЧИВОСТИ. Следовательно, эти УРОВНИ СООТВЕТСТВИЯ ТРЕБОВАНИЯМ ПОМЕХОУСТОЙЧИВОСТИ равны действительным УРОВНЯМ ПОМЕХОУСТОЙЧИВОСТИ, приведенным в таблице С.12. Эти значения будут использованы для заполнения таблицы 8, как показано в таблице С.13.
Таблица С.12 — Пример 3 ИСПЫТАТЕЛЬНЫХ УРОВНЕЙ при испытаниях на ПОМЕХОУСТОЙЧИВОСТЬ, УРОВНЕЙ ПОМЕХОУСТОЙЧИВОСТИ и УРОВНЕЙ СООТВЕТСТВИЯ
Таблица С.13 — Пример заполнения таблицы 8
Приложение D (справочное). Руководство для классификации изделий в соответствии с СИСПР 11
D.1 Общие положения
Правила классификации изделий и их разделения на группы установлены в СИСПР 11. Настоящее приложение является дополнительным руководством по разделению ME ИЗДЕЛИЙ или ME СИСТЕМ, относящихся к области применения СИСПР 11, на соответствующие группы и классы.
В соответствии с подпунктом 4.1 СИСПР 11:2003 [1] «Деление на группы»:
— группа 1 включает все ПНМ ВЧ изделия, в которых намеренно создается и/или используется кондуктивно связанная радиочастотная энергия, необходимая для функционирования самих изделий;
— группа 1 включает все ПНМ ВЧ изделия, в которых намеренно создается и/или используется радиочастотная энергия в форме электромагнитного излучения для обработки материалов, а также искровое электроэрозионное оборудование и оборудование дуговой сварки.
В соответствии с подпунктом 4.2 СИСПР 11:2003 [1] «Деление на классы»:
— изделия класса А — изделия, пригодные для использования во всех помещениях, кроме применяемых для бытовых целей, и тех, которые непосредственно подключены к низковольтным распределительным электрическим сетям, от которых получают питание здания, используемые для бытовых целей;
Примечание — Хотя нормы класса А были введены для промышленных и торговых зон, компетентные органы власти могут разрешить (при принятии дополнительных мер в случае необходимости) монтаж и эксплуатацию ПНМ ВЧ изделий класса А в бытовых помещениях или в учреждениях, непосредственно подключенных к электрическим силовым сетям, снабжающим жилые здания
.
_______________
См. примечание 2 к подпункту 4.2 СИСПР 11:2003.
— изделия класса В — изделия, пригодные для использования во всех помещениях, включая помещения для бытовых целей и те, которые непосредственно подключены к низковольтным распределительным электрическим сетям, от которых получают питание здания, используемые для бытовых целей.
В приложении А СИСПР 11:2003 [1] приведены примеры классификации ПНМ ВЧ изделий. «Медицинское оборудование» приводится в качестве примера изделий, относящихся к группе 1, в то время как «медицинская аппаратура» — в качестве примера изделий, относящихся к группе 2. При этом только терапевтические коротковолновые изделия и терапевтические микроволновые изделия приведены в детальном перечне изделий, относящихся к группе 2. ME ИЗДЕЛИЯ или ME СИСТЕМЫ других видов не упоминаются.
ME ИЗДЕЛИЯ и ME СИСТЕМЫ большинства видов создают и/или используют радиочастотную энергию для функционирования и, следовательно, относятся к группе 1.
Примеры ME ИЗДЕЛИЙ и ME СИСТЕМ группы 1:
— для электрокардиографии и магнитокардиографии;
— для электроэнцефалографии и магнитоэнцефалографии;
— для электромиографии и магнитомиографии.
К группе 1 относятся также ME ИЗДЕЛИЯ и ME СИСТЕМЫ, предназначенные для подачи энергии к ПАЦИЕНТУ, но не в виде радиочастотной электромагнитной энергии. Примеры:
— ME ИЗДЕЛИЯ и ME СИСТЕМЫ для формирования изображений:
— диагностические рентгеновские системы для радиографии и флюороскопии (включая кинофлюорографию) как для общих, так и для специальных целей, например ангиографии, маммографии, планирования лечения, лечения зубов;
— ME СИСТЕМЫ компьютерной томографии;
— ME СИСТЕМЫ для ядерной медицины;
— диагностические ультразвуковые ME ИЗДЕЛИЯ;
— терапевтические ME ИЗДЕЛИЯ и ME СИСТЕМЫ:
— терапевтические рентгеновские ME СИСТЕМЫ;
— стоматологические ME ИЗДЕЛИЯ;
— электронно-лучевые ускорители;
— ультразвуковые терапевтические ME ИЗДЕЛИЯ;
— экстракорпоральные (дробление камней) ME ИЗДЕЛИЯ;
— инфузионные насосы;
— излучающие нагревательные приборы;
— инкубаторы для новорожденных;
— вентиляторы;
— ME ИЗДЕЛИЯ и ME СИСТЕМЫ контроля:
— мониторы импеданса плетизмографии;
— пульсовые оксигемометры.
ME ИЗДЕЛИЯ и ME СИСТЕМЫ лишь ограниченного числа видов используют радиочастотную энергию в форме радиочастотного электромагнитного излучения для подведения ее к материалу (в данном случае — к ПАЦИЕНТУ) и, следовательно, относятся к группе 2.
Примеры:
— ME ИЗДЕЛИЯ для формирования изображений:
— ME СИСТЕМЫ для отображения магнитного резонанса;
— терапевтические ME ИЗДЕЛИЯ;
— для диатермии (коротковолновые, ультракоротко-волновые, микроволновые;
— для гипертермии.
Кроме того, классифицироваться как оборудование группы 2 должны высокочастотные хирургические ME ИЗДЕЛИЯ и ME СИСТЕМЫ, находящиеся в активном режиме (подобно искровому электроэрозионному оборудованию), так как они подводят к ПАЦИЕНТУ радиочастотную энергию.
ME ИЗДЕЛИЯ и ME СИСТЕМЫ, предназначенные преимущественно для использования в помещениях, применяемых для бытовых целей, и подключения к РАСПРЕДЕЛИТЕЛЬНЫМ ЭЛЕКТРИЧЕСКИМ СЕТЯМ (например, ME ИЗДЕЛИЯ для домашней медицинской помощи и ME ИЗДЕЛИЯ для офисов докторов в жилых зонах), должны отвечать требованиям, установленным СИСПР 11 для класса В.
Однако для некоторых ME ИЗДЕЛИЙ и ME СИСТЕМ, предназначенных для использования в жилых зонах и для подключения к РАСПРЕДЕЛИТЕЛЬНЫМ ЭЛЕКТРИЧЕСКИМ СЕТЯМ, не представляется возможным обеспечить соответствие нормам излучаемых электромагнитных помех по СИСПР 11, группа 2, класс В в отношении третьей гармоники основной частоты ME ИЗДЕЛИЯ или ME СИСТЕМЫ из-за существенных физических, технологических или физиологических ограничений.
Эти ME ИЗДЕЛИЯ и ME СИСТЕМЫ могут соответствовать нормам излучаемых электромагнитных помех по СИСПР 11, группа 2, класс А в отношении третьей гармоники основной частоты ME ИЗДЕЛИЯ или ME СИСТЕМЫ, при условии, что они являются ПРОФЕССИОНАЛЬНЫМИ ME ИЗДЕЛИЯМИ и ME СИСТЕМАМИ. Соответствующее обоснование включается в ЭКСПЛУАТАЦИОННУЮ ДОКУМЕНТАЦИЮ, как установлено в 5.2.2.10.
Предупреждение включается в инструкцию по использованию, как установлено в 5.2.1.4, и в ЭКСПЛУАТАЦИОННУЮ ДОКУМЕНТАЦИЮ, как установлено в 5.2.2.1 с).
Для ИЗДЕЛИЙ и СИСТЕМ, предназначенных для подключения к специально предназначенным системам электроснабжения (обычно питающимся от отдельных силовых трансформаторов), например, в больницах, следует обеспечить соответствие требованиям либо класса А, либо класса В СИСПР 11.
ME ИЗДЕЛИЯ и ME СИСТЕМЫ, предназначенные для применения только в экранированных помещениях, могут быть классифицированы на основании соответствия общей системы, образованной ME ИЗДЕЛИЕМ или ME СИСТЕМОЙ совместно с экранированным помещением установленного вида.
Таким образом, классификация должна основываться на том, что ME ИЗДЕЛИЕ или ME СИСТЕМА были установлены в экранированном помещении, удовлетворяющем требованиям, установленным ИЗГОТОВИТЕЛЕМ ME ИЗДЕЛИЯ или ME СИСТЕМЫ в части минимальных значений эффективности радиочастотного экранирования и вносимого затухания радиочастотных фильтров. Если классификация производится таким образом, то в соответствии с 5.2.2.3 b) необходимы подтверждение данного факта в таблице 1 и включение в таблицу 1 указаний о проверке действительных значений эффективности экранирования и вносимого затухания фильтров в экранированном помещении.
Приложение Е (справочное). Руководство для применения МЭК 60601-1-2 при разработке частных стандартов
Е.1 Общие положения
Настоящее приложение содержит рекомендации для технических комитетов и рабочих групп, разрабатывающих требования ЭМС для частных стандартов [стандартов МЭК 60601-1-2-Х («вторых частей») и стандартов ИСО, основанных на МЭК 60601-1-2], по обеспечению согласованности устанавливаемых в них требований и требований МЭК 60601-1-2.
Настоящее приложение идентифицирует положения МЭК 60601-1-2, которые следует изменить при применении настоящего параллельного стандарта для разработки частного стандарта, и содержит руководство для выполнения этой работы. Приложение также устанавливает, в какие положения не следует вносить изменения. Кроме того, следует принимать во внимание дополнительную информацию и руководство по применению настоящего параллельного стандарта, приведенные в приложении А.
Е.2 Рекомендуемые изменения
Разработчикам частных стандартов рекомендуется внести изменения или включить в текст стандарта дополнительную информацию или уточнения. Например:
a) Удалить последнее предложение в 6.2.1.1. Если конкретные ME ИЗДЕЛИЕ или ME СИСТЕМА НЕ могут соответствовать ИСПЫТАТЕЛЬНЫМ УРОВНЯМ при испытаниях на ПОМЕХОУСТОЙЧИВОСТЬ, установленным в 6.2, то в частном стандарте следует: установить минимальные УРОВНИ СООТВЕТСТВИЯ ТРЕБОВАНИЯМ ПОМЕХОУСТОЙЧИВОСТИ, допустимые для каждого испытания; привести соответствующие обоснования, учитывающие физические, технологические или физиологические ограничения. Если в частном стандарте устанавливается и обосновывается более низкий ИСПЫТАТЕЛЬНЫЙ УРОВЕНЬ при испытаниях на ПОМЕХОУСТОЙЧИВОСТЬ, то допустимость применения более низких УРОВНЕЙ ПОМЕХОУСТОЙЧИВОСТИ (см. последнее предложение 6.2.1.1) должна быть исключена.
b) Внести изменения в 6.2.1.3, 6.2.1.6, 6.2.1.7 и 6.2.1.8, с целью большей конкретизации требований для определенных ME ИЗДЕЛИЙ или ME СИСТЕМ при следовании цели настоящего параллельного стандарта.
c) Внести изменения или добавление в 6.2.1.10 для того, чтобы установить конкретные критерии качества функционирования для конкретных ME ИЗДЕЛИЙ или ME СИСТЕМ при следовании цели настоящего параллельного стандарта.
d) Из 5.2.2 выбрать для частного стандарта один или два варианта применения таблиц 1-8 из четырех, приведенных ниже:
— таблицы 3 и 5 — для конкретных ME ИЗДЕЛИЯ или ME СИСТЕМЫ ЖИЗНЕОБЕСПЕЧЕНИЯ, не предназначенных для применения только в экранированном помещении;
— таблицы 4 и 6 — для конкретных ME ИЗДЕЛИЯ или ME СИСТЕМЫ, не относящихся к ЖИЗНЕОБЕСПЕЧЕНИЮ и не предназначенных для применения только в экранированном помещении;
— таблицу 7 — для конкретных ME ИЗДЕЛИЯ или ME СИСТЕМЫ ЖИЗНЕОБЕСПЕЧЕНИЯ, предназначенных для применения только в экранированном помещении;
— таблицу 8 — для конкретных ME ИЗДЕЛИЯ или ME СИСТЕМЫ, не относящихся к ЖИЗНЕОБЕСПЕЧЕНИЮ и предназначенных для применения только в экранированном помещении.
e) ИСПЫТАТЕЛЬНЫЕ УРОВНИ при испытаниях на ПОМЕХОУСТОЙЧИВОСТЬ, приведенные в колонке 2 таблиц 2-8, могут быть изменены в соответствии с информацией, приведенной в Е.2 а), в Е.4 и в 5.2.2. Если изменения устанавливаются в отношении ИСПЫТАТЕЛЬНЫХ УРОВНЕЙ при испытаниях на ПОМЕХОУСТОЙЧИВОСТЬ, то соответственно в колонке 4 должно быть уточнено описание приемлемой ЭЛЕКТРОМАГНИТНОЙ ОБСТАНОВКИ.
f) Для ME ИЗДЕЛИЙ и ME СИСТЕМ ЖИЗНЕОБЕСПЕЧЕНИЯ, при работе которых должна быть предусмотрена возможность подачи сигнала тревоги в соответствии с требованиями в 6.2.7.1 b), вероятно, что во время перебоев электроснабжения питание сигнала тревоги должно осуществляться за счет накопленной энергии. Для гарантии безопасности ME ИЗДЕЛИЯ или ME СИСТЕМЫ ЖИЗНЕОБЕСПЕЧЕНИЯ может быть необходимо включить дополнительные требования и испытания для подтверждения того, что количества энергии достаточно для работы сигнала тревоги в течение длительного времени, например 5 мин.
Е.3 Предостережение
Разработчики частных стандартов предостерегаются против внесения других изменений, особенно тех, которые перечислены ниже.
a) Не следует изменять введение, предисловие, Пункт 1 и Пункт 3. Не следует удалять таблицы 1 и 2. Не следует вносить в таблицы 1-8 изменения, отличные от установленных в Е.2 d) и е) и в Е.3 b), поскольку эти таблицы обеспечивают ОТВЕТСТВЕННУЮ ОРГАНИЗАЦИЮ и ОПЕРАТОРА необходимой информацией о пригодности электромагнитной обстановки при использовании ME ИЗДЕЛИЙ и ME СИСТЕМ в формате, общем для всех ME ИЗДЕЛИЙ и ME СИСТЕМ.
b) Не следует изменять подпункт 6.1, за исключением отнесения ME ИЗДЕЛИЯ или ME СИСТЕМЫ к группе 1 или 2 с учетом руководства, приведенного в приложении D, и отнесения к классу В, если конкретные ИЗДЕЛИЯ и СИСТЕМЫ должны классифицироваться в качестве класса В. Эти изменения могут быть отражены в 5.2.2.1 с) или в таблице 1. В частных стандартах не следует изменять требования ЭЛЕКТРОМАГНИТНОЙ ЭМИССИИ или методы испытаний, установленные в СИСПР 11 без согласования с подкомитетом В СИСПР.
c) Не следует вносить изменения в 6.2.3.2 с) и 6.2.6.2 f), так как выбранные частоты модуляции адекватны для любых ME ИЗДЕЛИЙ и ME СИСТЕМ. Если в частных стандартах будут изменены значения частот модуляции, то для ME СИСТЕМ, в составе которых используются ME ИЗДЕЛИЯ могут быть необходимы дополнительные испытания, так как ME СИСТЕМУ будет необходимо испытать во всей полосе частот при всех частотах модуляции, установленных в применимых частных стандартах, в дополнение к частоте модуляции, установленной в настоящем стандарте.
d) Не следует вносить изменения в 6.2.3.2 d) и е); в 6.2.6.2 g) и h).
e) Не следует вносить изменения в 6.2.1.5, 6.2.4.2 с) и 6.2.6.2 с). Требования к нагрузке кабелей, связывающих ME ИЗДЕЛИЕ или ME СИСТЕМУ с ПАЦИЕНТОМ, различны для разных испытаний. Отсутствие требований означает, что преднамеренное кондуктивное или емкостное соединение кабеля с землей не считается важным (как в случае испытаний на УСТОЙЧИВОСТЬ к микросекундным импульсным помехам большой энергии) либо считается необязательным (как в случае испытаний на УСТОЙЧИВОСТЬ к ЭСР и излучаемому радиочастотному электромагнитному полю).
При проведении определенных испытаний эквивалент руки и RC-элемент по СИСПР 16-1-2 применяют потому, что их использование либо необходимо для осуществления испытания должным образом, либо рассматривается как условие наибольшей жесткости испытаний. В общем стандарте условия, при которых ПАЦИЕНТ изолирован от земли и при которых ПАЦИЕНТ заземлен, рассматриваются как НОРМАЛЬНЫЕ УСЛОВИЯ. Однако маловероятно, что в условиях медицинских учреждений ПАЦИЕНТ будет так же эффективно заземлен (с учетом радиочастотных характеристик), как и в условиях испытаний ЭМС, при которых используется непосредственное заземление. В результате эквивалент руки и RC-элемент, установленные в СИСПР 16-1-2, применяют для отображения условий применения, которые наиболее неблагоприятны для каждого испытания на ПОМЕХОУСТОЙЧИВОСТЬ.
е) Не следует вносить изменения в 6.2.3.2 f). Металлические предметы, внесенные в помещение для испытаний, могут нарушить однородность испытательного поля и увеличить неопределенность измерений. Использование металлической пластины для имитации ПАЦИЕНТА не допускается.
Е.4 Дополнительные рекомендации
a) Если ожидаемая ЭЛЕКТРОМАГНИТНАЯ ОБСТАНОВКА при эксплуатации ME ИЗДЕЛИЯ или ME СИСТЕМЫ в соответствии с назначением оправдывает необходимость более высоких ИСПЫТАТЕЛЬНЫХ УРОВНЕЙ при испытаниях на ПОМЕХОУСТОЙЧИВОСТЬ, то конкретные критерии соответствия, установленные при более высоких УРОВНЯХ, должны соответствовать требованиям, установленным в 6.2.1.10.
b) Если необходимы дополнительные гарантии безопасности, то введение нового комплекта ИСПЫТАТЕЛЬНЫХ УРОВНЕЙ при испытаниях на ПОМЕХОУСТОЙЧИВОСТЬ должно быть обусловлено только критериями соответствия требованиям безопасности. Например, могут быть допущены отказы, не влияющие на безопасность; при этом подтверждение ОСНОВНЫХ ФУНКЦИОНАЛЬНЫХ ХАРАКТЕРИСТИК не требуется. Любой критерий, установленный только для обеспечения безопасности, должен дополнять, а не заменять конкретные критерии соответствия, отвечающие требованиям, установленным в 6.2.1.10. ИСПЫТАТЕЛЬНЫЕ УРОВНИ при испытаниях на ПОМЕХОУСТОЙЧИВОСТЬ, применимые только к критериям соответствия требованиям безопасности, следует обеспечить существенно более высокими, чем те, которые отвечают требованиям в 6.2.1.10.
Примечание — Стандарт МЭК 61000-1-2 рекомендует применять для оборудования, критичного в отношении безопасности, две группы испытательных уровней и критериев соответствия: одну группу — для обеспечения нормального функционирования; другую, при более высоких испытательных уровнях, — для обеспечения безопасности. Настоящий стандарт устанавливает ИСПЫТАТЕЛЬНЫЕ УРОВНИ ПОМЕХОУСТОЙЧИВОСТИ и критерии соответствия для обеспечения как ОСНОВНОЙ БЕЗОПАСНОСТИ, так и ОСНОВНЫХ ФУНКЦИОНАЛЬНЫХ ХАРАКТЕРИСТИК.
с) В качестве альтернативы критериям соответствия, установленным только для обеспечения безопасности при более высоких ИСПЫТАТЕЛЬНЫХ УРОВНЯХ при испытаниях на ПОМЕХОУСТОЙЧИВОСТЬ, дополнительные гарантии безопасности могут быть достигнуты введением специальных частных критериев соответствия, отвечающих требованиям 6.2.1.10. При этом будут необходимы более высокие ИСПЫТАТЕЛЬНЫЕ УРОВНИ при испытаниях на ПОМЕХОУСТОЙЧИВОСТЬ, чем ИСПЫТАТЕЛЬНЫЕ УРОВНИ по МЭК 60601, установленные в 6.2.
Преимуществом является уменьшение вдвое числа испытаний, проводимых: вначале — для подтверждения ОСНОВНЫХ ФУНКЦИОНАЛЬНЫХ ХАРАКТЕРИСТИК, при ИСПЫТАТЕЛЬНЫХ УРОВНЯХ по МЭК 60601, установленных в настоящем параллельном стандарте; затем — только для подтверждения безопасности при более высоких ИСПЫТАТЕЛЬНЫХ УРОВНЯХ при испытаниях на ПОМЕХОУСТОЙЧИВОСТЬ. Как отмечено выше в перечислении b), указанные ИСПЫТАТЕЛЬНЫЕ УРОВНИ при испытаниях на ПОМЕХОУСТОЙЧИВОСТЬ должны быть существенно выше, чем ИСПЫТАТЕЛЬНЫЕ УРОВНИ по МЭК 60601, установленные в настоящем параллельном стандарте.
Приложение F (справочное). Электромагнитная обстановка
Хотя таблицы 2-8 относятся к применению ME ИЗДЕЛИЙ и ME СИСТЕМ в типичной ЭЛЕКТРОМАГНИТНОЙ ОБСТАНОВКЕ учреждений здравоохранения, было бы полезно привести сведения об обстановках, отличающихся от «типичной для учреждений здравоохранения», так как ME ИЗДЕЛИЯ и ME СИСТЕМЫ могут быть предназначены для применения и в этих других обстановках.
Примеры ЭЛЕКТРОМАГНИТНОЙ ОБСТАНОВКИ приведены в таблице F.1.
Таблица F.1 — Примеры ЭЛЕКТРОМАГНИТНОЙ ОБСТАНОВКИ
При наличии существенных сведений о характеристиках частной ЭЛЕКТРОМАГНИТНОЙ ОБСТАНОВКИ могут быть предложены конкретные требования к ПОМЕХОУСТОЙЧИВОСТИ.
Приложение G (справоч. Руководство для определения условий, при которых электрическое изделие, не относящееся к ME ИЗДЕЛИЯМ, но применяемое в составе ME СИСТЕМЫ, освобождают от испытаний на соответствие требованиям ЭМС настоящего параллельного стандарта
В 4.1.2 и 6.2.1.4 установлено, что электрическое изделие, не относящееся к ME ИЗДЕЛИЯМ, но применяемое в составе ME СИСТЕМЫ, освобождают от испытаний на соответствие требованиям ЭМС настоящего параллельного стандарта, если электрическое изделие, не относящееся к ME ИЗДЕЛИЯМ, соответствует применимым международным стандартам в области ЭМС. ЭЛЕКТРОМАГНИТНАЯ ЭМИССИЯ и ПОМЕХОУСТОЙЧИВОСТЬ электрического изделия, не относящегося к ME ИЗДЕЛИЯМ, но применяемого в составе ME СИСТЕМЫ, как было определено, не оказывают неблагоприятного влияния на ОСНОВНУЮ БЕЗОПАСНОСТЬ и ОСНОВНЫЕ ФУНКЦИОНАЛЬНЫЕ ХАРАКТЕРИСТИКИ ME СИСТЕМЫ. ЭЛЕКТРОМАГНИТНАЯ ЭМИССИЯ электрического изделия, не относящегося к ME ИЗДЕЛИЯМ, как было определено, не вызывает ЭЛЕКТРОМАГНИТНОЙ ЭМИССИИ ME СИСТЕМЫ, превышающей применимые нормы.
Алгоритм на рисунке G.1 представляет в графической форме пошаговую процедуру определения условий, при которых электрическое изделие, не относящееся к ME ИЗДЕЛИЯМ, но применяемое в составе ME СИСТЕМЫ, освобождают от испытаний на соответствие требованиям ЭМС настоящего параллельного стандарта. Процедура определения следующая:
— если электрическое изделие, не относящееся к ME ИЗДЕЛИЯМ, не соответствует применимым международным стандартам в области ЭМС, то его не освобождают от испытаний на соответствие требованиям ЭМС настоящего параллельного стандарта;
— если электрическое изделие, не относящееся к ME ИЗДЕЛИЯМ, соответствует применимым международным стандартам в области ЭМС, но его ЭЛЕКТРОМАГНИТНАЯ ЭМИССИЯ и ПОМЕХОУСТОЙЧИВОСТЬ могут оказать неблагоприятное влияние на ОСНОВНУЮ БЕЗОПАСНОСТЬ и ОСНОВНЫЕ ФУНКЦИОНАЛЬНЫЕ ХАРАКТЕРИСТИКИ ME СИСТЕМЫ, то указанное электрическое изделие не освобождают от испытаний на соответствие требованиям ЭМС настоящего параллельного стандарта;
— если электрическое изделие, не относящееся к ME ИЗДЕЛИЯМ, соответствует применимым международным стандартам в области ЭМС и его ЭЛЕКТРОМАГНИТНАЯ ЭМИССИЯ и ПОМЕХОУСТОЙЧИВОСТЬ не могут оказать неблагоприятного влияния на ОСНОВНУЮ БЕЗОПАСНОСТЬ и ОСНОВНЫЕ ФУНКЦИОНАЛЬНЫЕ ХАРАКТЕРИСТИКИ ME СИСТЕМЫ, но его ЭЛЕКТРОМАГНИТНАЯ ЭМИССИЯ может вызвать ЭЛЕКТРОМАГНИТНУЮ ЭМИССИЮ ME СИСТЕМЫ, превышающую применимые нормы, то указанное электрическое изделие не освобождают от испытаний на соответствие требованиям ЭМС настоящего параллельного стандарта;
— если электрическое изделие, не относящееся к ME ИЗДЕЛИЯМ, соответствует применимым международным стандартам в области ЭМС, его ЭЛЕКТРОМАГНИТНАЯ ЭМИССИЯ и ПОМЕХОУСТОЙЧИВОСТЬ не могут оказать неблагоприятного влияния на ОСНОВНУЮ БЕЗОПАСНОСТЬ и ОСНОВНЫЕ ФУНКЦИОНАЛЬНЫЕ ХАРАКТЕРИСТИКИ ME СИСТЕМЫ, его ЭЛЕКТРОМАГНИТНАЯ ЭМИССИЯ не может вызвать ЭЛЕКТРОМАГНИТНУЮ ЭМИССИЮ ME СИСТЕМЫ, превышающую применимые нормы, то указанное электрическое изделие освобождают от испытаний на соответствие требованиям ЭМС настоящего параллельного стандарта.
Рисунок G.1 — Процедура определения условий, при которых электрическое изделие, не относящееся к ME ИЗДЕЛИЯМ, но применяемое в составе ME СИСТЕМЫ, освобождают от испытаний на соответствие требованиям ЭМС настоящего параллельного стандарта

Рисунок G.1 — Процедура определения условий, при которых электрическое изделие, не относящееся к ME ИЗДЕЛИЯМ, но применяемое в составе ME СИСТЕМЫ, освобождают от испытаний на соответствие требованиям ЭМС настоящего параллельного стандарта (см. 4.1.2 и 6.2.1.4)
Приложение Н (справочное). Связь между элементами второго издания МЭК 60601-1-2 с изменением и МЭК 60601-1-2:2007
Настоящее приложение содержит сведения о связях между пунктами и подпунктами второго издания МЭК 60601-1-2 с изменением и сопоставимыми пунктами и подпунктами настоящего издания. Таблица Н.1 предназначена для использования в качестве инструмента, помогающего пользователям МЭК 60601-1-2 проследить связи между требованиями, установленными в настоящем издании и их источниками во втором издании с изменением.
Таблица Н.1 — Связь между элементами второго издания МЭК 60601-1-2 с изменением и МЭК 60601-1-2:2007
Приложение ДА (справочное). Сведения о соответствии ссылочных международных стандартов национальным стандартам Российской Федерации (и действующим в этом качестве межгосударственным стандартам)
Библиография
Указатель определений терминов, примененных в настоящем параллельном стандарте
|
|
|



,
,
,
,

,
,




