ГОСТ Р 51603-2000 Бананы свежие. Технические условия
ГОСТ Р 51603-2000 Бананы свежие. Технические условия
ГОСТ Р 51603-2000
Группа С34
ГОСУДАРСТВЕННЫЙ СТАНДАРТ РОССИЙСКОЙ ФЕДЕРАЦИИ
БАНАНЫ СВЕЖИЕ
Технические условия
Fresh bananas. Specifications
Предисловие
1 РАЗРАБОТАН Ассоциацией маркетинга «Экватор» и независимой инспекционной компанией ЗАО «Шмидт энд Олофсон» (ISO-9002-96) г. Санкт-Петербург
ВНЕСЕН Техническим комитетом по стандартизации ТК 93 «Продукты переработки плодов и овощей»
2 УТВЕРЖДЕН И ВВЕДЕН В ДЕЙСТВИЕ Постановлением Госстандарта России от 11 мая 2000 г. N 133-ст
3 Стандарт гармонизирован с Регламентом Комиссии ЕС от 16 сентября 1994 г. N 2257/94 «Об установлении норм качества для бананов» в части норм по показателям качества, а также с ИСО 3959-1977 в части условий дозаривания
1 Область применения
Настоящий стандарт распространяется на свежие бананы рода Musa, группы ААА (перечень основных помологических сортов — по приложению В), импортируемые (далее — бананы), предназначенные после дозаривания для реализации в свежем виде.
Требования к продукции, направленные на обеспечение ее безопасности для жизни и здоровья населения, изложены в 5.3, обязательные требования в части маркировки — 5.5.
2 Нормативные ссылки
В настоящем стандарте использованы ссылки на следующие стандарты:
ГОСТ 166-89 (ИСО 3599-76) Штангенциркули. Технические условия
ГОСТ 427-75 Линейки измерительные металлические. Технические условия
ГОСТ 7502-98 Рулетки измерительные металлические. Технические условия
ГОСТ 26927-86 Сырье и продукты пищевые. Метод определения ртути
ГОСТ 26930-86 Сырье и продукты пищевые. Метод определения мышьяка
ГОСТ 26931-86 Сырье и продукты пищевые. Методы определения меди
ГОСТ 26932-86 Сырье и продукты пищевые. Методы определения свинца
ГОСТ 26933-86 Сырье и продукты пищевые. Методы определения кадмия
ГОСТ 26934-86 Сырье и продукты пищевые. Метод определения цинка
ГОСТ 27520-87 (ИСО 1956-2-82) Фрукты и овощи. Морфологическая и структуральная терминология. Часть 2
ГОСТ 27735-94 Весы бытовые. Общие технические требования
ГОСТ 29329-92 Весы для статического взвешивания. Общие технические требования
ГОСТ 30178-96 Сырье и продукты пищевые. Атомно-абсорбционный метод определения токсичных элементов
ГОСТ 30349-96 Плоды, овощи и продукты их переработки. Методы определения остаточных количеств хлорорганических пестицидов
ГОСТ Р 50419-92 (ИСО 2169-81) Фрукты и овощи. Физические условия хранения в охлаждаемых складских помещениях. Определения понятий и измерения
ГОСТ Р 50420-92 (ИСО 3659-77) Фрукты и овощи. Дозаривание после хранения в охлажденном состоянии
ГОСТ Р 51074-97 Продукты пищевые. Информация для потребителя. Общие требования
3 Определения
3.1 Морфологическая и структуральная терминология по ГОСТ 27520.
В настоящем стандарте дополнительно применены следующие термины с соответствующими определениями:
гроздь: Соплодие банана, состоящее из центрального цветочного стебля, ярусами вокруг которого формируются плоды из двух рядов;
кисть: Часть грозди или совокупность соединенных между собой 3 и более плодов остатком цветочного стебля, образующих единую группу из двух рядов;
крона (корона): Остаток цветочного стебля, тщательно обрезанный со всех сторон, высотой не более 1,5 см, удерживающий 3 и более плодов;
плодоножка: Неотделимая твердая часть плода, которая связывает его с кроной;
шейка: Суженная часть плода без мякоти, через которую он соединен с плодоножкой;
латекс: Млечный сок, выделяемый бананами с зеленой окраской кожуры при разрезании или изломе, который при соприкосновении с воздухом приобретает темно-коричневый или черный цвет;
растяжимость млечного сока (латекса) банана с зеленой окраской кожуры: Способность млечного сока, вытекающего при поперечном разрезе банана, удлиняться без разрыва под влиянием равномерно распределенных растягивающих сил после плотного прижатия, а затем разъединения мест срезов;
возраст плодов: Время созревания плодов бананов от цветения до достижения съемной степени зрелости (11 — 12 недель);
съемная степень зрелости: Степень зрелости, при которой плоды бананов имеют зеленую окраску кожуры, являются вполне развившимися и сформировавшимися: достигли свойственной данному сорту величины, формы и массы, в них в основном завершено накопление питательных и вкусовых веществ и они способны после съема дозреть и достигнуть потребительской степени зрелости;
потребительская степень зрелости: Степень зрелости, при которой плоды достигают наиболее высокого качества по внешнему виду, вкусу и аромату мякоти;
перезревшие бананы: Зрелые плоды, когда на желтой кожуре бананов появляются сначала мелкие, а затем более крупные коричневые пятна, которые сливаются вместе. Мякоть размягчается, становится более рыхлой, а затем как бы прозрачной, водянистой;
запаренные бананы: Плоды после воздействия высоких положительных температур в период съемной и потребительской степени зрелости. Ухудшается консистенция мякоти, она становится мягкой, а затем полностью разжижается. Окраска кожуры может остаться зеленого или желтого цвета. Запах изменен, специфический;
застуженность банана: Состояние плодов, когда они имеют тусклый, дымчато-зеленый, а после дозаривания — серовато-желтый цвет кожуры. В поверхностном слое клеток кожуры зеленого банана происходит разрушение сосудов и коагуляция латекса. Клетки погибают и становятся ржаво-коричневого цвета, хорошо заметны, если снять верхний слой кожуры. По количеству погибших клеток в поверхностном слое кожуры можно различить 4 степени застуженности бананов с зеленой окраской кожуры:
1 — следы: характеризуется гибелью единичных клеток, которые заметны как единичные вкрапления ржаво-коричневого цвета;
2 — легкая: характеризуется гибелью клеток, ведущей к появлению редких полос, вкраплений, точек оранжево-коричневого цвета;
3 — средняя: характеризуется гибелью клеток, особенно заметной в верхней части плода у плодоножки. Под снятым верхним слоем кожуры красновато-коричневые полосы и точки сливаются вместе;
4 — сильная: при снятии верхнего слоя кожуры вся внутренняя поверхность имеет оранжево-коричневую окраску;
код плантации: Идентификационный номер плантации, содержащий несколько букв и цифр, указываемый на крышке коробки с бананами на штампе или этикетке.
3.2 Определение понятий в части физических условий хранения бананов в охлаждаемых складских помещениях — по ГОСТ Р 50419.
4 Классификация
4.1 Бананы в зависимости от качества подразделяют на три класса: экстра, первый, второй.
4.2 Бананы в зависимости от назначения подразделяют на:
— плоды при приемке в местах поступления (морской порт, станция выгрузки и др.), предназначенные для дозаривания;
— плоды после дозаривания в местах реализации (магазины и другие предприятия розничной торговли), предназначенные для потребления в свежем виде.
5 Технические требования
5.1 Бананы отгружают, когда плоды достигают съемной степени зрелости, имеют зеленую окраску кожуры и пригодны для дозаривания.
5.2 Бананы при приемке в местах поступления и после дозаривания в местах реализации должны соответствовать требованиям и нормам, указанным в таблице 1.
Таблица 1
5.3 Содержание радионуклидов, токсичных элементов и пестицидов в бананах не должно превышать допустимые уровни, установленные гигиеническими требованиями к качеству и безопасности продовольственного сырья и пищевых продуктов [1].
5.4.1 Бананы укладывают в картонные коробки размером 40х50х25 см (тип 22XU) в полиэтиленовых мешках размером 95х105 см, где при двухрядной укладке кистей может быть уложено 110-115 плодов. Крышка картонной коробки имеет вырез размером 16х27 см, в котором через полиэтилен мешка хорошо видны уложенные кисти бананов. В зависимости от срока транспортирования бананов мешки могут быть изготовлены из полиэтилена разных типов.
При транспортировании бананов не более 10 сут их упаковывают в мешки из тонкого полиэтилена типа полибэг (polybag). При более длительном сроке транспортирования бананы должны быть упакованы в мешки из полиэтилена низкой плотности банавак (banavac) толщиной не менее 1,5 мм, целые без швов, с тем, чтобы создать внутри коробки атмосферу с низким уровнем содержания кислорода, высоким содержанием двуокиси углерода и высокой относительной влажностью. Каждая упаковочная единица должна содержать бананы из одной страны, одного помологического сорта, одинаковой степени зрелости. Видимая часть содержимого каждой упаковочной единицы должна соответствовать всему содержимому.
Масса брутто одной упаковочной единицы от 14 до 20 кг.
Допускается иная упаковка, обеспечивающая сохранность продукции.
5.4.2 Материалы, используемые для упаковки, должны быть новыми, чистыми, безопасными для жизни и здоровья человека.
Упакованные бананы должны иметь влажную поверхность, которая сохраняется при транспортировании.
5.5.1 Маркировка бананов по ГОСТ Р 51074.
Дополнительно указывают:
— код плантации;
— минимальную длину плода, см;
— возраст плодов съемной степени зрелости — в неделях после окончания цветения.
Кроме того, фирмы-производители маркируют плоды в кистях одной — двумя бумажными этикетками с указанием торговой марки или названия фирмы. Для надписей и этикетирования используют чернила, краски или клеящие вещества, безопасные для жизни и здоровья человека.
6 Правила приемки
6.1 Бананы принимают партиями. Партией считают любое количество бананов одного помологического сорта, упакованное в тару одного вида и типоразмера, поступившее в одном транспортном средстве из одной страны (упаковочные единицы могут иметь разные коды плантаций), сопровождаемое документом с указанием:
— номера документа и даты выдачи;
— наименования страны-отправителя;
— наименования продукции;
— наименования помологического сорта;
— даты отгрузки;
— количества упаковочных единиц;
— массы брутто и нетто (кг).
Каждую партию сопровождают:
— сертификатом происхождения,
— фитосанитарным сертификатом.
6.2 Для проверки качества бананов, упаковки и маркировки, а также массы нетто на соответствие требованиям настоящего стандарта от партии бананов, упакованных в картонные коробки с полиэтиленовыми мешками внутри, из разных мест транспортного средства (автомашина или прицеп, помещение трюма или склада) отбирают выборку, объем которой указан в таблице 2.
Таблица 2
|
Объем партии, |
Объем выборки, к |
||
|
До |
7 |
||
|
Св. 500 |
« |
9 |
|
|
» 1000 |
« |
10000 « |
15 |
|
» 10000 |
« |
15000 « |
20 |
|
» 15000 |
« |
20000 « |
25 |
|
Св. 20000 |
25 и дополнительно на каждые 500 полных и неполных упаковочных единиц по одной упаковочной единице |
||
6.3 Проверке подвергают 100% продукции, содержащейся в коробках, отобранных в соответствии с таблицей 2.
6.4 Результаты проверки распространяют на всю партию.
6.5 После проверки качества отобранные упаковочные единицы присоединяют к исходной партии бананов.
6.6 Качество продукции в поврежденных упаковочных единицах проверяют отдельно и результаты распространяют только на продукцию, находящуюся в этих упаковочных единицах.
6.7 При приемке партии в местах поступления и после дозаривания в местах реализации соблюдают следующие требования:
— если в партии класса «экстра» содержится более 5% общего количества или массы бананов, которые не соответствуют отклонениям по качеству, установленным для этого класса, но соответствуют требованиям первого класса, всю партию переводят в первый класс;
— если в партии первого класса содержится более 10% общего количества или массы бананов, которые не соответствуют отклонениям по качеству, установленным для этого класса, но соответствуют требованиям второго класса, всю партию переводят во второй класс;
— если в партии второго класса содержится более 10% общего количества или массы бананов, которые не соответствуют отклонениям по качеству, установленным для второго класса, всю партию считают не соответствующей требованиям стандарта.
7 Методы анализа
7.1 Качество упаковки и маркировки всех упаковочных единиц с бананами, отобранных по 6.2, на соответствие требованиям настоящего стандарта проверяют визуально.
7.2 Порядок проведения контроля
весы для статического взвешивания по ГОСТ 29329, среднего класса точности с наибольшим пределом взвешивания 25 кг, ценой поверочного деления e=50 г и пределом допускаемой погрешности ±0,5e;
термометр электронный марки ВАПАН, с термодатчиком из нержавеющей стали в виде щупа, с диапазоном температур от минус 50 до плюс 125 °С и погрешностью 0,5 °С с автоматической индикацией на табло. Размеры щупа 3,5х120 мм. Время измерения 2-10 с [2];
линейка металлическая длиной 300 мм ценой деления 1 мм по ГОСТ 427, с погрешностью ±0,1 мм или рулетка металлическая из нержавеющей стали номинальной длиной 1 м, с прямоугольным торцом на вытяжном конце ленты по ГОСТ 7502, 2-го класса точности;
штангенциркуль 1-го или 2-го класса точности по ГОСТ 166 с погрешностью измерений 0,05-0,1 мм.
Допускается применение других средств измерений утвержденных в установленном порядке типов и внесенных в Государственный реестр средств измерений с метрологическими характеристиками не ниже указанных.
7.2.2 Проверке по качеству подлежат все бананы в отобранных по 6.2 упаковочных единицах, из которых составляют объединенную пробу.
7.2.3 В каждой упаковочной единице после вскрытия полиэтиленового мешка термометром измеряют температуру мякоти плода у кисти в верхнем и нижнем ряду коробки. Щуп вводят в мякоть банана на глубину 10 см. Результаты записывают.
Если температура мякоти банана 18 °С и более, то такие бананы могут быть запаренными. В этом случае подвергают проверке все плоды объединенной пробы, запаренные бананы отбраковывают и относят к отходам.
Если температура мякоти банана 12,8 °С и менее, то такие плоды имеют признаки застуженности. В этом случае определяют степень застуженности по 7.2.8 и в зависимости от результатов принимают соответствующие решения.
7.2.4 Отобранные в выборку по 6.2 упаковочные единицы поочередно взвешивают, определяют массу брутто, нетто и тары в килограммах. Результаты взвешивания каждой упаковочной единицы записывают.
Определяют общую массу плодов в объединенной пробе в килограммах (m).
Одновременно определяют количество кистей и плодов в упаковочной единице путем подсчета в штуках. Результаты подсчета по каждой упаковочной единице записывают.
Определяют общее количество плодов в объединенной пробе в штуках (Q).
7.2.5 Внешний вид, запах, вкус, степень зрелости, цвет мякоти, наличие плодов менее или более установленных размеров, с искривлением формы (деформированных), сросшихся, запачканных землей или растительными остатками, с поверхностными повреждениями кожуры: механическими или вызванными сельскохозяйственными вредителями, с потеками латекса (приложение А), поломанных, с надрывом кожуры у плодоножки, глубокими порезами, сильными нажимами и трещинами кожуры, когда затронута мякоть, сильными повреждениями сельскохозяйственными вредителями, пораженных болезнями (приложение Б), определяют органолептически и рассортировывают на фракции в соответствии с требованиями таблицы 1.
7.2.6 Длину банана измеряют линейкой или рулеткой по среднему плоду кисти во внешнем ряду, измеряя от плодоножки до цветочного конца по выпуклой линии. Наибольший поперечный диаметр плода измеряют в средней части этого плода штангенциркулем. По результатам измерений вычисляют в процентах количество плодов менее или более установленных размеров и с учетом допусков относят их к определенному классу по качеству.
7.2.7 Площадь поверхностных повреждений кожуры и пятен латекса одного плода по таблице 1 определяют после измерений линейкой (целесообразно использовать линейку из прозрачного материала).
По результатам измерения площади поверхностных повреждений и пятен латекса на кожуре плоды относят к определенному классу качества.
7.2.8 Определение степени застуженности
Для определения степени застуженности бананов по 3.1 при приемке в местах поступления в каждой упаковочной единице отрывают не менее чем у трех кистей по 1 плоду с зеленой окраской кожуры и, надломив плодоножку, легко снимают верхний слой кожуры с внутренней поверхности плода. При обнаружении одного или нескольких плодов третьей (средней) или четвертой (сильной) степени застуженности осматривают по одному плоду у всех кистей в каждой отобранной в выборку коробке.
Дополнительно проводят тест на растяжимость млечного сока. Для этого банан с зеленой окраской кожуры разрезают пополам по диаметру, половинки плотно прижимают местами срезов, где уже выделился млечный сок. Если сок мутный, хорошо тянется, то застуженность слабая или отсутствует. Если сок светлый, прозрачный, при растяжении соковые нити рвутся, не достигнув 2 см, то плоды являются застуженными. Зеленые бананы 3-4-й степени застуженности отсортировывают, определяют их количество или массу в процентах и относят к отходу.
После дозаривания застуженность бананов 1-2-й степени определяют по цвету кожуры, которая имеет тускло-желтый или желтый цвет с сероватым оттенком. Такие плоды относят ко второму классу.
7.3 Перезревшие, загнившие, гнилые, запаренные, застуженные в 3-4-й степени, подмороженные, раздавленные, с глубокими порезами, с темно-коричневой, черной или пятнистой кожурой, с сильными повреждениями сельскохозяйственными вредителями бананы отсортировывают, определяют их количество или массу в процентах и относят к отходу.
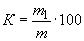
7.4.1 Содержание бананов с отклонениями по каждой фракции K, %, вычисляют от общей массы или количества плодов объединенной пробы по формулам:
или 
где m1 — масса плодов с отклонениями, кг;
m — общая масса плодов в объединенной пробе, кг;
Q1 — количество плодов с отклонениями, шт.;
Q — общее количество плодов в объединенной пробе, шт.
7.4.2 Все вычисления проводят до второго десятичного знака с последующим округлением результата до первого десятичного знака. Результаты распространяют на всю партию.
7.5 Содержание токсичных элементов определяют по ГОСТ 26927, ГОСТ 26930, ГОСТ 26931, ГОСТ 26932, ГОСТ 26933, ГОСТ 26934, ГОСТ 30178, хлорорганических пестицидов — по ГОСТ 30349, других пестицидов и радионуклидов — по методам, утвержденным в установленном порядке.
8 Транспортирование
8.1 Свежие бананы транспортируют судами-банановозами в соответствии с правилами морских перевозок продовольственных грузов [3].
8.2 Все помещения, предназначенные для перевозки, должны быть чистыми и не иметь посторонних запахов. Перед погрузкой, за 12 ч, температура помещений трюмов должна быть 4-8 °С или 10-13 °С в соответствии с инструкциями фирм-поставщиков.
К перевозке допускаются свежесобранные бананы, срезанные не более чем за 24 ч до погрузки. Для перевозки морскими видами транспорта пригодны только плоды, собранные в стадии съемной степени зрелости, в возрасте 11-12 недель. Такие плоды разламываются с громким хрустом, на срезе обильно выделяется млечный сок, растяжимость его до 3-4 см. Мякоть плода должна иметь белую окраску с трудно отделяемой кожурой. Температура мякоти должна быть не более 28 °С.
Срез кроны кисти должен быть обработан тиабендазолом. При морской перевозке концентрация СО не должна превышать 0,2%, для чего необходимо подавать свежий воздух в трюм с помощью приточной вентиляции. Постоянный контроль в пути проводят за содержанием этилена, который легко установить по специфическому, сладковатому запаху. При контроле состояния бананов в трюме особое внимание обращают на появление плодов с желтой окраской кожуры. Команда судна имеет право отбирать такие единичные коробки и уничтожать их, о чем составляют акт и оповещают заинтересованные стороны. Для удаления двуокиси углерода и этилена проводят вентиляцию помещений трюма с таким расчетом, чтобы в течение 1 ч осуществлялась полная смена воздуха.
8.3 Помещения трюма, загруженные коробками с бананами, охлаждают по инструкции отправителя.
8.4 При транспортировании бананов поддерживают температуру воздуха 13,2-13,6 °С, замедляющую как дыхание плодов, так и ведущие к созреванию процессы обмена веществ. Относительная влажность в помещениях трюма должна быть 85-90% на входе нагнетаемого в трюм воздуха. При загрузке помещений трюма максимальная высота укладки:
— 10 коробок массой брутто 20 кг;
— 12 коробок массой брутто 14 кг.
8.5 В местах поступления бананы транспортируют автомобильным или железнодорожным транспортом с рефрижераторными установками, при этом необходимо соблюдать правила, действующие на соответствующем виде транспорта.
9 Дозаривание и хранение
9.1 Дозаривание свежих бананов проводят по ГОСТ Р 50420 с дополнениями по приложению Г.
9.2 Хранение свежих бананов до и после дозаривания проводят в разных складских помещениях при температуре воздуха 13-14 °С и относительной влажности не менее 85%.
Коробки с бананами на краткосрочное хранение укладывают только на дощатый настил или поддон. Помещение склада вентилируют для удаления двуокиси углерода и этилена.
9.3 В период хранения постоянно проводят температурно-влажностный контроль помещений и контроль за состоянием бананов.
Измерение физических условий хранения в охлаждаемых складских помещениях — по ГОСТ Р 50419.
ПРИЛОЖЕНИЕ А (справочное). Перечень допускаемых отклонений
ПРИЛОЖЕНИЕ А
(справочное)
ПРИЛОЖЕНИЕ Б (справочное). Перечень недопускаемых отклонений
ПРИЛОЖЕНИЕ Б
(справочное)
Таблица Б.1
|
Наименование дефектов на языках: |
Международный код |
|
|
русском |
английском |
|
|
Б.1 Ненормально мягкий плод |
Abnormally Soft |
AB |
|
Б.2 Сломанный плод |
Broken Finger |
BF |
|
Б.3 Антракноз |
Anthracnose |
|
|
Б.4 Гниение кроны |
Crown Rot |
CR |
|
Б.5 Черная сердцевина |
Dark Center (Internal Bruising) |
DC |
|
Б.6 Сухие загнившие или бриллиантовые пятна |
Dry Rot |
DR |
|
Б.7 Гниение кончика плода |
Finger Tip Rot |
FR |
|
Б.8 Загнивание шейки |
Neck Rot |
NR |
|
Б.9 Расщепление кожуры до мякоти из-за созревания (перезревшие) |
Split Peel (Fingers) |
SP |
|
Б.10 Желтая крона |
Yellow Crown |
YC |
|
Б.11 Желтый кончик плода |
Yellow Tip |
YT |
|
Б.12 Сигарный плод |
Cigar and Disease |
С |
|
Б.13 Плохо сформированный плод с мягкой мякотью, пораженный сигатогой |
Sigatoga Negra (Soft Green) |
SE |
ПРИЛОЖЕНИЕ В (справочное). Перечень основных помологических сортов бананов рода Musa, группы ААА
|
Карликовый Кавендиш |
Dwarf Cavendish (Petite naine) |
|
Гигантский Кавендиш |
Giant Cavendish (Grande naine) |
|
Лакатан |
Lacatan |
|
Робуста (Пойо) |
Robusta (Poyo) |
|
Вильямс |
Williams |
|
Американи |
Americani |
|
Валери |
Valery |
|
Арвис |
Arvis |
|
Гро Мишель |
Gros Michel |
|
Хайгейт |
Highgate |
|
Фиг Роз |
Figue Rose |
|
Фиг Роз Верт |
Figue Rose Verte |
ПРИЛОЖЕНИЕ Г (справочное). Условие дозаривания бананов
ПРИЛОЖЕНИЕ Г
(справочное)
Существует три типа дозаривания, в зависимости от первоначального физиологического состояния плодов и предполагаемого интервала между сроками реализации и потребления плодов:
быстрое — в течение 4 сут;
нормальное — в течение 5-6 сут;
медленное — в течение 8 сут.
Оптимальным является нормальное дозаривание. Быстрое дозаривание за 4 сут и менее проводят путем поддержания высокой температуры мякоти 18 °С в течение 48 ч, но это не всегда гарантирует однородность созревания и может привести к размягчению мякоти плодов.
Коробки с бананами ставят на поддоны по схеме 6х8, образуя палеты, которые размещают в камере для дозаривания в два яруса. Расстояние между палетами 15-20 см для циркуляции воздуха.
Полиэтиленовые мешки надрезают с двух сторон или приоткрывают сверху.
Плотность загрузки камер дозаривания от 150 до 200 кг бананов на 1 м2.
После загрузки камеры дозаривания начинают нагревание воздуха, чтобы достигнуть температуры мякоти плодов 17-18 °С в зависимости от типа дозаривания (таблица Г.1).
Таблица Г.1 — Типы и условия дозаривания
Нагревание проводят при относительной влажности воздуха 95-100% с вентиляцией в закрытой камере в течение 24 ч. Скорость повышения температуры мякоти банана не более 0,5 °С в час, а застуженных 1-2-й степени — не более 0,25 °С в час.
Для дозаривания применяют этилен, особенно когда бананы имеют неодинаковую степень зрелости или подвергались воздействию низких температур при транспортировании, или потеряли слишком много влаги. Этилен дает толчок процессу созревания и делает его равномерным.
Подачу этилена проводят один раз в конце первых суток дозаривания, когда температура мякоти плодов достигнет заданной в соответствии с выбранным типом дозаривания. Этилен подают в камеру дозаривания в виде взрывобезопасной газовой смеси, состоящей из 95% азота и 5% этилена [4].
Первые 24 ч не открывают двери и не вентилируют камеру дозаривания. В конце первых суток включают принудительную вентиляцию на 20-30 мин (таблица Г.1). Созревание бананов начинается не ранее третьих суток.
Когда кожура у бананов начинает желтеть, температура воздуха в камере дозаривания должна быть ниже температуры мякоти плодов на 1 °С. Затем температуру снижают до 13,5-14,0 °С, а бананы передают на склад для реализации и хранения.
ПРИЛОЖЕНИЕ Д (справочное). Библиография
[1] СанПиН 2.3.2.560-96 Гигиенические требования к качеству и безопасности продовольственного сырья и пищевых продуктов
[2] Государственный реестр N 14069-94, сертификат N 1117
[3] Сборник правил морской перевозки продовольственных грузов. Санкт-Петербург, ЗАО ЦНИИМФ, 1996
[4] ТУ 0271-001-23102861-97 Смеси газовые для ускоренного созревания овощей и фруктов. Компания «Клим», ЛТД, С-Пб, 1997-2001