ГОСТ IEC 60335-2-7-2014

ГОСТ IEC 60335-2-7-2014

МЕЖГОСУДАРСТВЕННЫЙ СТАНДАРТ

Безопасность бытовых и аналогичных электрических приборов

Часть 2-7

ЧАСТНЫЕ ТРЕБОВАНИЯ К СТИРАЛЬНЫМ МАШИНАМ

Safety of household and similar electrical appliances. Part 2-7. Particular requirements for washing machines



МКС 97.060
13.120

Дата введения 2016-01-01

Предисловие


Цели, основные принципы и основной порядок проведения работ по межгосударственной стандартизации установлены ГОСТ 1.0-92 «Межгосударственная система стандартизации. Основные положения» и ГОСТ 1.2-2009 «Межгосударственная система стандартизации. Стандарты межгосударственные, правила и рекомендации по межгосударственной стандартизации. Правила разработки, принятия, применения, обновления и отмены»

Сведения о стандарте

1 ПОДГОТОВЛЕН Обществом с ограниченной ответственностью «МП Сертификационная лаборатория бытовой электротехники ТЕСТБЭТ» (ООО «ТЕСТБЭТ» в рамках Технического комитета по стандартизации ТК 19 «Электрические приборы бытового назначения»

2 ВНЕСЕН Федеральным агентством по техническому регулированию и метрологии

3 ПРИНЯТ Межгосударственным советом по стандартизации, метрологии и сертификации (протокол N 45 от 25 июня 2014 г.)

За принятие проголосовали:

 

 

 

Краткое наименование страны по МК (ИСО 3166) 004-97

Код страны по МК (ИСО 3166) 004-97

Сокращенное наименование национального органа по стандартизации

Армения

AM

Минэкономики Республики Армения

Киргизия

KG

Кыргызстандарт

Молдова

MD

Молдова-Стандарт

Россия

RU

Росстандарт

Украина

UA

Госпотребстандарт Украины

Узбекистан

UZ

Узстандарт

 

4 Приказом Федерального агентства по техническому регулированию и метрологии от 23 октября 2014 г. N 1403-ст межгосударственный стандарт ГОСТ IEC 60335-2-7-2014 введен в действие в качестве национального стандарта Российской Федерации с 1 января 2016 г.

5 Настоящий стандарт идентичен международному стандарту IEC 60335-2-7:2012 Household and similar electrical appliances — Safety — Part 2-7. Particular requirements for washing machines (Бытовые и аналогичные электрические приборы. Безопасность. Часть 2-7. Частные требования к стиральным машинам), издание 7.1.

Перевод с английского языка (en).

Официальные экземпляры международного стандарта, на основе которого подготовлен настоящий межгосударственный стандарт, имеются в Федеральном агентстве по техническому регулированию и метрологии.

Сведения о соответствии межгосударственных стандартов ссылочным международным стандартам приведены в дополнительном приложении ДА.

Наименование настоящего стандарта изменено относительно наименования международного стандарта в связи с особенностями построения межгосударственной системы стандартизации.

Степень соответствия — идентичная (IDT).

6 ВЗАМЕН ГОСТ IEC 60335-2-7-2012


Информация об изменениях к настоящему стандарту публикуется в ежегодном информационном указателе «Национальные стандарты», а текст изменений и поправок — в ежемесячном информационном указателе «Национальные стандарты». В случае пересмотра (замены) или отмены настоящего стандарта соответствующее уведомление будет опубликовано в ежемесячном информационном указателе «Национальные стандарты».

Введение


В соответствии с соглашением по техническим барьерам в торговле Всемирной торговой организации (Соглашение по ТБТ ВТО) применение международных стандартов является одним из важных условий, обеспечивающих устранение технических барьеров в торговле.

Применение международных стандартов осуществляется путем принятия международных стандартов в качестве региональных или национальных стандартов.

С целью обеспечения взаимопонимания национальных органов по стандартизации в части применения международного стандарта Международной электротехнической комиссией (IEC) подготовлен ГОСТ IEC 60335-2-7-2014 «Безопасность бытовых и аналогичных электрических приборов. Часть 2-7. Частные требования к стиральным машинам».

Настоящий стандарт относится к группе стандартов, регламентирующих требования безопасности бытовых и аналогичных электрических приборов, состоящей из части 1 (ГОСТ МЭК 60335-1:2008 — общие требования безопасности приборов), а также частей, устанавливающих частные требования к конкретным видам приборов.

Настоящий стандарт применяют совместно с ГОСТ МЭК 60335-1:2008.

Номера пунктов настоящего стандарта, которые дополняют разделы ГОСТ МЭК 60335-1:2008, начинаются с цифры 101, дополнительные приложения обозначены буквами АА, ВВ и т.д.

Требования к методам испытаний выделены курсивом.


Термины, применяемые в настоящем стандарте, выделены полужирным шрифтом.

1 Область применения


Этот раздел части 1 заменен следующим.

Настоящий стандарт устанавливает требования безопасности электрических стиральных машин бытового и аналогичного использования, предназначенных для стирки одежды и тканей с номинальным напряжением не более: 250 В для однофазных приборов и 480 В — для других приборов.

Настоящий стандарт также устанавливает требования безопасности электрических стиральных машин для бытового и аналогичного использования, в которых вместо детергента применяют электролит. Дополнительные требования к этим приборам даны в приложении СС.

Примечание 101 — В приложении DD дано руководство относительно требований, которые могут быть применены для обеспечения необходимого уровня защиты от поражения электрическим током и термобезопасности в стиральных машинах, оснащенных приводными отжимными валками.


Приборы, не предназначенные для бытового использования, но которые тем не менее могут быть источником опасности для людей, например приборы, используемые неспециалистами в магазинах, легкой промышленности и на фермах, входят в область распространения настоящего стандарта.

Примечание 102 — Примерами таких приборов являются стиральные машины для общего пользования в общежитиях и прачечных самообслуживания.


Насколько это возможно, настоящий стандарт устанавливает основные виды опасностей приборов, с которыми люди сталкиваются внутри и вне дома.

Настоящий стандарт не учитывает опасности, возникающие:

— при использовании прибора без надзора и инструкций людьми (включая детей) с физическими, нервными или психическими отклонениями или без специальных знаний и квалификации;

— при использовании приборов детьми для игр.

Примечания

103 Следует обратить внимание на следующее:

— для стиральных машин, предназначенных для использования в транспортных средствах, на борту кораблей, самолетов, могут быть необходимы дополнительные требования;

— во многих странах национальные органы здравоохранения, охраны труда и др. устанавливают дополнительные требования.

104 Настоящий стандарт не распространяется:

— на стиральные машины, предназначенные исключительно для промышленных целей (ISO 10472-2);

— на приборы, предназначенные для использования в местах, где преобладают особые условия, например коррозионная или взрывоопасная среда (пыль, пар или газ).

2 Нормативные ссылки


Этот раздел части 1 применяют, за исключением следующего.

Дополнение

IEC 60456:2010 Clothes washing machines for household use — Methods for measuring the performance (Машины стиральные бытовые. Методы измерения рабочих характеристик)

IEC 60730-2-12:2005 Automatic electrical controls for household and similar use — Part 2: Particular requirements for electrically operated door locks (Устройства управления автоматические электрические бытового и аналогичного назначения. Часть 2-12. Частные требования к электрическим дверным замкам)

ISO 1817:2005 Rubber, vulcanized — Determination of the effect of liquids (Резина вулканизированная. Определение воздействия жидкостей)

3 Термины и определения


Этот раздел части 1 применяют, за исключением следующего.

3.1.9 Замена

нормальная работа (normal operation): Работа прибора при следующих условиях.

Прибор заполняют сухим текстильным материалом массой, равной максимальной массе, указанной в инструкциях, и максимальным количеством воды, на которое рассчитана его конструкция. Однако, если значения потребляемой мощности или тока повышаются при использовании только 50% текстильного материала, прибор работает с этой 50%-ной загрузкой, которая приводит к возникновению более неблагоприятных условий, чем при полной нагрузке при испытании по разделу 11.

Примечание 101 — В некоторых приборах, имеющих программатор, применение уменьшенной на 50% нагрузки может привести к автоматическому выбору сокращенной программы стирки.


Температура воды составляет:

— (65±5)°С — для приборов без нагревательных элементов;

— (15±5)°С — для приборов без нагревательных элементов, предназначенных для подключения только к холодному водоснабжению;

— (15±5)°С — для других приборов.

Если прибор не снабжен программатором, вода нагревается до (90±5)°С или настолько, насколько позволяет конструкция, если температура перед началом первого периода стирки была ниже.

Текстильный материал представляет собой предварительно постиранные, подрубленные двойным швом хлопчатобумажные простыни размером приблизительно (700х700) мм, с удельной массой в сухом состоянии от 140 до 175 г/м.

Если во время работы стиральной машины с лопастным рабочим колесом (активатором) текстильный материал не перемещается соответствующим образом, то:

— количество текстильного материала может быть уменьшено до тех пор, пока не будет достигнута максимальная потребляемая мощность двигателя, или

— может быть использован текстильный материал, состоящий из предварительно постиранных, подрубленных двойным швом хлопчатобумажных простыней размером приблизительно (900×900) мм и массой в сухом состоянии от 90 до 110 г/м.

Для стиральных машин с лопастным рабочим колесом в случае возникновения сомнений проводят испытание с уменьшенным количеством текстильного материала.

4 Общие требования


Этот раздел части 1 применяют.

5 Общие условия проведения испытаний


Этот раздел части 1 применяют, за исключением следующего.

5.2 Дополнение

Соответствующие испытания по 21.101, 21.102 и 22.104 должны быть проведены на том же самом приборе, который был использован для испытаний по разделу 18.

5.3 Дополнение

Испытание по 15.101 проводят перед испытанием по 15.3.

Соответствующие испытания по 21.101 и 21.102 проводят перед испытанием по разделу 18. Испытание по 22.104 проводят после испытания по разделу 18.

5.7 Дополнение

Причина для возникновения сомнений появляется в случае, если температура воды находится в пределах 6 К от точки кипения и разница между превышением температуры соответствующей части и указанным пределом не превышает 25 К минус комнатная температура.

6 Классификация


Этот раздел части 1 применяют, за исключением следующего.

6.1 Изменение

Приборы должны быть классов I, II или III.

6.2 Дополнение

Приборы должны иметь степень защиты не менее IPX4.

7 Маркировка и инструкции


Этот раздел части 1 применяют, за исключением следующего.

7.1 Дополнение

На приборах без автоматического регулирования уровня воды должна быть нанесена отметка максимального уровня воды.

Приборы, не предназначенные для подключения к горячему водоснабжению и не снабженные нагревательными элементами, должны иметь маркировку следующего содержания:

ВНИМАНИЕ! Не подключать к горячему водоснабжению.

7.10 Дополнение

Если положение «ВЫКЛ.» обозначено только буквами, то должно быть использовано слово «ВЫКЛ.«

7.12 Дополнение

В инструкциях должна быть указана максимальная масса сухой одежды в килограммах, на которую рассчитан прибор.

7.12.1 Дополнение

Для стиральных машин с вентиляционными отверстиями в основании, в руководстве по установке должно содержаться указание о том, что отверстия не должны быть закрыты ковром.

7.15 Дополнение

Предупреждение относительно подключения к горячему водоснабжению должно быть расположено на приборе в месте его подключения к водопроводу.

8 Защита от контакта с частями, находящимися под напряжением


Этот раздел части 1 применяют.

9 Пуск электромеханических приборов


Этот раздел части 1 не применяют.

10 Потребляемая мощность и ток


Этот раздел части 1 применяют, за исключением следующего.

10.1 Дополнение

Выбранный характерный период работы прибора — период, состоящий из наполнения водой, стирки, полоскания, отжима воды, центрифугирования или торможения, в течение которого потребляемая мощность наибольшая.

10.2 Дополнение

Выбранный характерный период работы прибора — период, состоящий из наполнения водой, стирки, полоскания, отжима воды, центрифугирования или торможения, в течение которого ток имеет наибольшее значение.

11 Нагрев


Этот раздел части 1 применяют, за исключением следующего.

11.7 Замена

Приборы с программатором работают в течение трех циклов по программе, которая приводит к наибольшим превышениям температуры, с четырехминутным перерывом между циклами.

Другие приборы работают в течение трех циклов с четырехминутным перерывом между циклами.

 

 

Каждый цикл состоит из следующих операций:

 

— для приборов без устройств для отжима воды и для стиральных машин с ручными отжимными валками;

стирка;

— для приборов, имеющих один барабан для стирки и отжима воды;

стирка с последующим отжимом воды;

— для приборов, имеющих отдельные барабаны для стирки и отжима воды, которые не могут быть использованы одновременно;

стирка и отжим воды, разделенные дополнительным четырехминутным перерывом;

— для приборов, имеющих отдельные барабаны для стирки и отжима воды, которые могут быть использованы одновременно;

стирка вместе с отжимом воды, так чтобы эти операции завершались одновременно;

— для приборов, имеющих один барабан для стирки, отжима воды и сушки:

 

которые позволяют стирать и сушить в барабане одинаковое количество текстильного материала,

стирка с последующим отжимом воды и сушкой;

которые, согласно инструкциям, позволяют сушить в барабане только часть постиранного текстильного материала.

стирка с последующим отжимом воды и двумя периодами сушки с дополнительным четырехминутным перерывом перед каждым периодом сушки. В данном случае выполняются только два цикла операций

В приборах, имеющих таймер, период стирки, период отжима воды и период сушки равны максимальному периоду, который допускает таймер.

В приборах без таймера:

— период стирки длится:

6 мин — в стиральных машинах с постоянно вращающимся лопастным рабочим колесом,

18 мин — в стиральных машинах с перемешиванием,

25 мин — в стиральных машинах барабанного типа, если в инструкциях не указан более длительный период;

— период отжима воды длится 5 мин.

Перерыв, включая время торможения, длится 4 мин.

После указанной последовательности работы следуют три периода работы сливных насосов, приводимых в действие отдельным двигателем и включаемых и выключаемых вручную, с четырехминутными перерывами. Продолжительность каждого периода работы должна быть в 1,5 раза больше времени, необходимого для опорожнения стиральной машины, заполненной водой до максимального нормального уровня. Выходное отверстие сливного шланга должно быть расположено на высоте 900 мм от пола.

12 Пробел

13 Ток утечки и электрическая прочность при рабочей температуре


Этот раздел части 1 применяют, за исключением следующего.

13.2 Изменение

Для стационарных приборов класса I ток утечки не должен превышать 3,5 мА или 1 мА/кВт номинальной потребляемой мощности, но должен быть не выше 5 мА, в зависимости от того, что больше.

14 Перенапряжения переходного процесса


Этот раздел части 1 применяют.

15 Влагостойкость


Этот раздел части 1 применяют, за исключением следующего.

15.2 Замена

Приборы должны быть сконструированы так, чтобы перелив жидкости при нормальной эксплуатации не нарушал электрическую изоляцию, даже если не закрывается впускной клапан.

Соответствие требованию проверяют следующим испытанием.

Приборы с креплением типа X, кроме приборов со специально подготовленным шнуром, оснащают гибким шнуром самого легкого из допустимых типов, имеющим наименьшую площадь поперечного сечения, указанную в таблице 13.

Приборы, предназначенные для заполнения водой пользователем, полностью наполняют водой, содержащей приблизительно 1% NaCI. Затем заполняют постепенно в течение 1 мин водой в количестве, равном 15% вместимости прибора или 0,25 л, в зависимости от того, что больше.

Другие приборы работают до тех пор, пока не будет достигнут максимальный уровень воды, затем добавляют детергент, указанный в приложении АА, в количестве 5 г на каждый литр воды в приборе. Впускной клапан оставляют открытым и продолжают заполнение в течение 15 мин после первого признака перелива или до тех пор, пока заполнение не будет автоматически остановлено другим способом.

Затем у приборов с фронтальной загрузкой открывают дверцу, если это возможно сделать вручную без повреждения системы блокировки дверцы.

Для всех приборов 0,5 л воды, содержащей приблизительно 1% NaCI и 0,6% ополаскивающего средства, указанного в приложении АА, выливают на крышку прибора, при этом управляющие устройства включены. Затем управляющие устройства работают в своем рабочем диапазоне, а эту процедуру повторяют каждые 5 мин.

После этого прибор должен выдержать испытание на электрическую прочность изоляции по 16.3, а осмотр должен показать, что на изоляции нет следов воды, которая может привести к уменьшению воздушных зазоров и путей утечки ниже значений, указанных в разделе 29.

15.101 Приборы должны быть сконструированы так, чтобы пена не повреждала их электрическую изоляцию.

Соответствие требованию проверяют следующим испытанием, которое проводят сразу после испытания по 15.2.

Прибор работает при условиях, указанных в разделе 11, но при номинальном напряжении в течение одного полного цикла по программе, которая обеспечивает самый продолжительный период работы. Добавляют количество моющего средства, необходимое для начала пенообразования. Состав моющего средства указан в таблице АА.1.

Для приборов с автоматической дозировкой детергента раствор добавляют вручную в тот момент цикла, когда это обычно проводится автоматически. Для других приборов раствор добавляют перед началом цикла.

Затем прибор должен выдержать испытание на электрическую прочность изоляции по 16.3.

Перед проведением испытания по 15.3 прибор должен быть выдержан в испытательной комнате, имеющей нормальные атмосферные условия, в течение 24 ч.

16 Ток утечки и электрическая прочность


Этот раздел части 1 применяют.

17 Защита от перегрузки трансформаторов и соединенных с ними цепей


Этот раздел части 1 применяют.

18 Износостойкость


Этот раздел части 1 заменить следующим.

18.101 Приборы должны быть сконструированы так, чтобы механизм блокировки крышки или дверцы выдерживал нагрузку, которой он может подвергаться при нормальной эксплуатации.

Соответствие требованию проверяют следующим испытанием.

Крышку или дверцу открывают как при нормальной эксплуатации и прикладывают силу к ручке или устройству, приводящему в действие деблокирующий механизм. Также измеряют силу, необходимую для закрывания крышки или дверцы.

Затем крышку или дверцу подвергают 10000 циклов открывания и закрывания. В течение первых 6000 циклов прибор питается номинальным напряжением и работает так, что механизм блокировки подключают и обесточивают в каждом цикле. В течение последних 4000 циклов прибор не присоединяют к питающей сети. Для приборов с функцией сушки общее число циклов увеличивают до 13000, причем первые 9000 циклов выполняют с подключением и обесточиванием механизма блокировки в каждом цикле.

Если устройство блокировки соответствует требованиям IEC 60730-2-12, при испытании прибор не подсоединяют к питающей сети. Если устройство блокировки срабатывает более одного раза при нормальной работе, то оно срабатывает такое же число раз и в ходе каждого цикла.

Крышки открывают каждый раз приблизительно на 45°, а дверцы — на 90°; скорость открывания составляет приблизительно 1,5 м/с. Сила, прилагаемая для открывания крышки или дверцы, равна двукратной измеренной силе, необходимой для открывания, с минимумом — 50 Н, максимумом — 200 Н.

Дверцы закрывают со скоростью приблизительно 1,5 м/с; прилагаемая сила равна пятикратной измеренной силе, необходимой для закрывания, с минимумом — 50 Н, максимумом — 200 Н. Крышки закрываются под собственной массой, но если они не запираются, то прилагают силу, равную пятикратной измеренной силе, необходимой для закрывания, с минимумом — 50 Н, максимумом — 200 Н.

После испытаний следует выполнять требования 20.103-20.105.

18.102 Тормозной механизм приборов с крышкой, которую можно открыть во время отжима воды, должен выдерживать нагрузки, которым он может подвергаться при нормальной эксплуатации.

Соответствие требованию проверяют следующим испытанием.

Прибор питается напряжением, равным 1,06 номинального напряжения, и работает при условиях нормальной работы, пока двигатель не начнет работать с максимальной скоростью. Затем крышку полностью открывают. Испытание повторяют после перерыва в работе барабана, достаточно длительного, для того чтобы прибор не достиг избыточной температуры.

Испытание проводят 1000 раз, причем текстильный материал повторно смачивают водой не реже чем каждые 250 раз.

После испытания прибор должен быть пригодным для дальнейшего использования и должен соответствовать требованиям настоящего стандарта.

Примечание — Для предотвращения избыточной температуры и сокращения времени испытания допускается использовать принудительное охлаждение.

19 Ненормальный режим работы


Этот раздел части 1 применяют, за исключением следующего.

19.1 Дополнение

Для приборов, имеющих программатор или таймер, испытания по 19.2 и 19.3 заменяют испытанием по 19.101.

Испытанию по 19.7 не подвергают двигатели, приводящие в движение части вибрационного перемешивания.

Приборы, не предназначенные для подключения к горячему водоснабжению и не оснащенные нагревательными элементами, также подвергают испытанию по 19.102.

19.2 Дополнение

Условия ограниченного теплоотвода достигаются в приборе без воды или с количеством воды, достаточным только чтобы покрыть нагревательные элементы, в зависимости от того, что более неблагоприятно.

19.7 Дополнение

Приборы без программатора или таймера работают 5 мин.

19.9 Дополнение

Испытание на перегрузку проводят на приборах, которые имеют защитные устройства от перегрузки с электронными цепями для защиты обмоток двигателя барабана. Однако испытание не проводят, если защитное устройство измеряет температуру обмотки напрямую.

Примечание — Измерение сопротивления обмотки или тока в обмотке не является прямым измерением температуры обмотки.

Прибор работает при условиях согласно разделу 11 в течение одного цикла. Нагрузку затем увеличивают так, чтобы ток через обмотки двигателя увеличился на 10%. Прибор приводят в действие снова на том же цикле, подаваемое напряжение поддерживают на первоначальном значении. Нагрузку снова увеличивают и испытание повторяют до тех пор, пока защитное устройство с электронной цепью не сработает или двигатель не заблокируется.

19.13 Дополнение

Ткань не должна загореться, не должно быть обугливания или тления.

Примечание 101 — Незначительное побурение текстильного материала или слабый дым во внимание не принимают.

В течение испытаний по 19.101 и 19.102 температура обмоток не должна превышать значений, указанных в таблице 8.

Прибор должен отвечать соответствующим требованиям 20.103-20.105, если он все еще может работать.

19.101 Прибор работает в условиях нормальной работы при номинальном напряжении. Имитируются любые неисправности или непреднамеренная эксплуатация, которые могут возникнуть при нормальной работе.

Имитируются следующие неисправности и непреднамеренная эксплуатация:

— остановка программатора в любом положении;

— отключение или повторное включение одной или более фаз питания во время выполнения любой части программы;

— размыкание цепи или короткое замыкание компонентов;

— отказ магнитного клапана;

— отказ или блокирование механических деталей выключателя уровня воды. Данную неисправность не применяют, если:

площадь поперечного сечения трубки, питающей воздушную камеру, более 500 мм с минимальным размером 10 мм,

выход камеры расположен на высоте не менее 20 мм выше наибольшего уровня воды и трубка, соединяющая воздушную камеру и выключатель уровня воды, закреплена так, что она не может быть согнута и пережата;

— прокол капиллярной трубки терморегулятора.

Если работа прибора без воды является более неблагоприятным условием для запуска какой-либо программы, испытания с данной программой проводят с закрытым водяным клапаном. При этом клапан не закрывают после того, как программа запускается.

Примечание — Имитации неисправности проверены:

— нахождение устройства автоматического наполнения в открытом состоянии — при испытании по 15.2;

— короткое замыкание устройств терморегулирования — при испытании по 19.4;

— короткое замыкание или размыкание конденсаторов двигателя — при испытании по 19.7;

— неисправности дверных механизмов блокировки — при испытании по 24.1.4.

19.102 Приборы, не предназначенные для подключения к горячему водоснабжению и не оснащенные нагревательными элементами, работают в соответствии с разделом 11, за исключением того, что питаются номинальным напряжением и наполняются водой температурой (65±5)°С.

20 Устойчивость и механические опасности


Этот раздел части 1 применяют, за исключением следующего.

20.1 Изменение

Прибор пустой или наполнен, как установлено для условий нормальной работы, в зависимости от того, что более неблагоприятно. Дверцы и крышки закрыты, и любые колесики разворачивают в наиболее неблагоприятное положение.

20.101 Стиральные машины барабанного типа, загружаемые сверху через отверстие, снабженное крышкой на петлях, должны иметь блокировку, которая отключает питание двигателя, прежде чем крышка откроется более чем на 50 мм.

Если стиральная машина оснащена съемной или сдвигаемой крышкой, то питание двигателя должно отключаться, когда крышка снята или сдвинута, и должна быть исключена возможность запуска двигателя, если крышка не закрыта.

Конструкция блокировки должна быть выполнена так, чтобы исключить случайное включение прибора, если крышка не закрыта.

Соответствие требованию проверяют осмотром, измерением и следующим испытанием.

Применяют щуп В по IEC 61032, чтобы попытаться разблокировать какой-либо механизм блокировки, который должен отвечать данному требованию. Механизм блокировки разблокироваться не должен.

20.102 Приборы не должны испытывать неблагоприятное воздействие при неравномерной нагрузке.

Соответствие требованию проверяют следующим испытанием.

Прибор помещают на горизонтальную опору, к внутренней стороне барабана, посередине его длины, крепят груз массой 0,2 кг или равный 10% максимальной массы ткани, указанной в инструкциях, в зависимости от того, что больше.

Прибор питается номинальным напряжением и работает в течение периода отжима воды.

Испытание проводят четыре раза, причем груз каждый раз перемещают под углом 90° вдоль стороны барабана.

Если соответствие зависит от работы электронной схемы, испытание повторяют с имитацией неисправностей по перечислениям а)-g) 19.11.2, применяемых поочередно к электронной схеме.

Прибор не должен опрокидываться, и барабан не должен ударять другие детали, кроме корпуса. После испытания прибор должен быть пригодным для дальнейшего использования.

20.103 В стиральных машинах барабанного типа, загружаемых фронтально или сверху, дверца или крышка должна быть заблокирована так, чтобы прибор мог работать только при закрытой дверце или крышке.

Соответствие требованию проверяют осмотром, испытанием вручную и следующим испытанием.

Применяют щуп В по IEC 61032, чтобы попытаться разблокировать какой-либо механизм блокировки, который должен отвечать данному требованию. Механизм блокировки разблокироваться не должен.

20.104 Не должно быть возможно открыть крышку или дверцу прибора при скорости барабана, превышающей 60 об/мин, если кинетическая энергия вращения более 1500 Дж или максимальная окружная скорость свыше:

— 20 м/с — для барабанов, вращающихся вокруг горизонтальной оси;

— 40 м/с — для барабанов, вращающихся вокруг вертикальной оси.

Соответствие требованию проверяют следующим испытанием.

Прибор питается номинальным напряжением и работает пустым. Силу, определяемую в 22.104 с заблокированной крышкой, прикладывают к крышке или дверце, пытаясь ее открыть.

Если соответствие зависит от работы электронной цепи, испытание повторяют при следующих условиях, применяемых по отдельности:

— условия неисправности по перечислениям а)-g) 19.11.2, применяемые по одному к электронной цепи;

— испытания на помехоусточивость по 19.11.4.2-19.11.4.5, применяемые к прибору.

Дополнить абзацем после примечания:

Если электронная цепь программируемая, программное обеспечение должно содержать средства по контролю условий отказа/ошибки, указанных в таблице R.1, и оцениваться в соответствии с требованиями приложения R.

Не должно быть возможно открыть крышку или дверцу при скорости барабана, превышающей 60 об/мин. Если прибор загружают фронтально и дверцу можно открыть, двигатель должен быть обесточен до того, как дверца будет открыта более чем на 50 мм.

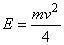
Примечание — Кинетическую энергию вращения , Дж, вычисляют по формуле

,


где  — масса ткани, указанная в инструкциях, кг;

 — максимальная окружная скорость барабана, м/с.

20.105

Примечание — Кинетическую энергию вращения вычисляют по формуле, приведенной в 20.104.


Соответствие требованию проверяют следующим испытанием.

Прибор питается номинальным напряжением и работает в соответствии с 20.1 пустым или заполненным, как указано для нормальной работы, в зависимости от того, что более неблагоприятно. Силу, не превышающую 50 Н, прикладывают к крышке или дверце в попытке ее открыть, как при нормальном использовании.

Если соответствие зависит от работы электронной цепи, испытание повторяют при следующих условиях, применяемых по отдельности:

— условия неисправности по перечислениям а)-g) 19.11.2, применяемые по одному к электронной цепи;

— испытания на помехзащищенность по 19.11.4.2-19.11.4.5, применяемые к прибору.

Если крышка или дверца открывается, скорость барабана не должна быть более чем 60 об/мин в течение 7 с после открывания крышки или дверцы — на 50 мм. Дополнительно, если прибор загружают спереди, двигатель должен быть обесточен.

Если электронная цепь программируемая, программное обеспечение должно содержать средства по контролю условий отказа/ошибки, указанных в таблице R.1, и оцениваться в соответствии с требованиями приложения R.

21 Механическая прочность


Этот раздел части 1 применяют, за исключением следующего.

21.101 Крышки и дверцы должны обладать соответствующей механической прочностью.

Соответствие требованию проверяют испытанием по 21.101.1 — для крышек и 21.101.2 — для дверец.

21.101.1 Резиновую полусферу диаметром 70 мм и твердостью от 40 до 50 IRHD крепят к цилиндру массой 20 кг и сбрасывают с высоты 100 мм на середину крышки.

Испытание проводят три раза, после чего крышка не должна быть повреждена до такой степени, что подвижные детали становятся доступными.

21.101.2 К дверце в наиболее неблагоприятном положении прикладывают вертикально направленную силу 150 Н, когда она открыта на угол 90°±5°. Силу прикладывают в течение 1 мин.

После испытания прибор не должен быть поврежден или деформирован до такой степени, что его соответствие требованиям 20.103-20.105 будет нарушено.

21.102 Крышки должны иметь необходимое сопротивление к деформации.

Соответствие требованию проверяют следующим испытанием.

К открытой крышке в наиболее неблагоприятном направлении и положении прикладывают силу 50 Н.

Испытание проводят три раза, после чего петли не должны быть ослаблены, а прибор не должен быть поврежден или деформирован до такой степени, что его соответствие требованиям 20.103-20.105 будет нарушено.

22 Конструкция


Этот раздел части 1 применяют, за исключением следующего.

Требование, относящееся к утечке из емкостей, шлангов, муфт и подобных деталей прибора, не распространяется на детали, которые выдерживают испытание на старение по приложению ВВ.

Вместо окрашенной воды используют раствор 5 г детергента, указанного в приложении АА, на литр дистиллированной воды.

22.101 Приборы должны быть сконструированы так, чтобы при уровне воды выше нижнего края проема дверцы невозможно было открыть дверцу простым действием во время работы прибора. Настоящее требование не распространяется на приборы, оснащенные дверцами с механизмом блокировки или дверцами, которые открываются ключом или двумя отдельными действиями, такими как нажатие и поворачивание.

Соответствие требованию проверяют осмотром и испытанием вручную.

Если соответствие зависит от работы электронной цепи и прибор в состоянии нагревать воду до 90°С, испытание повторяют при следующих условиях, применяемых по отдельности:

— условия неисправности по перечислениям а)-g) 19.11.2, применяемые по одному к электронной цепи;

испытания на помехозащищенность по 19.11.4.2-19.11.4.5, применяемые к прибору.

Не должно быть возможно открыть крышку или дверцу простым действием.

Если электронная цепь программируемая, программное обеспечение должно содержать средства по контролю условий отказа/ошибки, указанных в таблице R.1, и оцениваться в соответствии с требованиями приложения R.

22.102 Приборы должны быть сконструированы так, чтобы текстильный материал не мог быть в контакте с нагревательными элементами.

Соответствие требованию проверяют осмотром.

22.103 Приборы должны быть сконструированы так, чтобы при нормальной эксплуатации отсеки для фильтров не могли быть открыты простым действием. Настоящее требование не распространяется на приборы, предназначенные для подключения только к холодной воде и без средств нагрева воды, или на приборы, оборудованные кожухами отделения для фильтров, которые:

— блокируются;

— открываются с помощью ключа;

— открываются двумя отдельными действиями, такими как нажатие и поворот, или

— открываются вращением более чем на 180°.

Соответствие требованию проверяют осмотром и испытанием вручную.

22.104 Механизмы блокировки крышки и дверцы, необходимые для обеспечения соответствия требованиям раздела 20, должны быть сконструированы так, чтобы они не могли быть принудительно открыты при нормальной эксплуатации.

Соответствие требованию проверяют следующим испытанием.

Крышку или дверцу открывают, как при нормальной эксплуатации, и измеряют силу, прилагаемую к ручке или устройству, приводящему в действие деблокирующий механизм.

Крышку и дверцу закрывают. Прибор питается номинальным напряжением и работает в течение периода, достаточного для включения механизма блокировки. Затем делается попытка открыть крышку или дверцу, как при нормальной эксплуатации. Прилагаемую силу постепенно в течение 5 с увеличивают до пятикратного значения измеренной силы, необходимой для открывания, с минимумом — 50 Н, максимумом — 200 Н.

Испытание проводят 300 раз со скоростью приблизительно шесть раз в минуту.

Затем силу увеличивают до десятикратного значения измеренной силы, необходимой для открывания, с минимумом — 50 Н. Не должно быть возможно открыть крышку или дверцу.

Примечание — Повреждение ручек не учитывают.

22.105 Любой механический отпускающий механизм, предназначенный для открывания загрузочной дверцы в случае поломки должен быть доступен только с использованием инструмента.

Соответствие требованию проверяют осмотром.

23 Внутренняя проводка


Этот раздел части 1 применяют, за исключением следующего.

23.101 Изоляция и оболочка внутренней проводки для питания магнитных клапанов и аналогичных комонентов, встроенных в наружные шланги, предназначенные для присоединения к водопроводной магистрали, должны иметь характеристики не ниже установленных для легкого гибкого шнура в поливинилхлоридной оболочке (кодовое обозначение 60227 IEC 52).

Соответствие требованию проверяют соответствующими испытаниями.

24 Компоненты


Этот раздел части 1 применяют, за исключением следующего.

24.1.4 Дополнение

Число циклов работы для программаторов — 3000.

Для механизмов блокировки крышки или дверцы число циклов работы, указанное в 6.10 и 6.11 по IEC 60730-2-12, должно быть не менее 6000. Для стиральных машин с функцией сушки минимальное число циклов работы увеличивают до 9000. Если механизм блокировки срабатывает больше одного раза при нормальной работе, минимальное число циклов работы соответственно увеличивают.

24.101 Термовыключатели, встроенные в стиральные машины, для обеспечения соответствия требованиям 19.4 должны быть без самовозврата.

Соответствие требованию проверяют осмотром.

25 Присоединение к источнику питания и внешние гибкие шнуры


Этот раздел части 1 применяют.

26 Зажимы для внешних проводов


Этот раздел части 1 применяют.

27 Средства для заземления


Этот раздел части 1 применяют.

28 Винты и соединения


Этот раздел части 1 применяют.

29 Зазоры, пути утечки и сплошная изоляция


Этот раздел части 1 применяют, за исключением следующего.

29.2 Дополнение


Окружающая микросреда имеет степень загрязнения 3; изоляция должна иметь сравнительный индекс трекингостойкости (СИТ) не менее 250, если изоляция не ограждена или не расположена так, что маловероятно ее загрязнение при нормальной эксплуатации прибора:

— от появления конденсата в приборе;

— от химикатов, таких как детергент или кондиционер для ткани.

30 Теплостойкость и огнестойкость


Этот раздел части 1 применяют, за исключением следующего.

30.2 Дополнение

Для стиральных машин со встроенным программатором или таймером применяют требования 30.2.3, для других стиральных машин — требования 30.2.2.

31 Стойкость к коррозии


Этот раздел части 1 применяют.

32 Радиация, токсичность и подобные опасности


Этот раздел части 1 применяют.

Приложения


Приложения части 1 применяют, за исключением следующего.

Приложение R (обязательное). Оценка программного обеспечения

Приложение R
(обязательное)

R.2.2.5 Изменение

Для программируемых электронных цепей с функциями, требующими встроенных средств программного контроля за условиями отказа/ошибки, указанными в таблице R.1 или таблице R.2, определение отказа/ошибки должно произойти перед тем, как соответствие требованиям раздела 19, 20.104, 22.105 и 22.101 будет нарушено.

R.2.2.9 Изменение

Программное обеспечение и находящееся под его управлением аппаратное обеспечение, относящееся к безопасности, должно быть запущено и должно осуществить выключение перед тем, как соответствие разделу 19, 22.104, 22.105 и 22.101 будет нарушено.

Приложение АА (обязательное). Детергент и ополаскивающее средство

Приложение АА
(обязательное)

АА.1 Детергент

Может быть использован детергент, указанный в инструкциях, но если имеются какие-либо сомнения относительно результатов испытаний, состав детергента должен соответствовать приведенному в таблице АА.1.

Таблица АА.1

 

 

Вещество

Доля по массе, %

Линейный алкилбензолсульфонат натрия (средняя длина алкильной цепи )

6,4

Этоксилированный жирный спирт (14 ЕО)

2,3

Натриевое мыло (длина цепи  — от 13% до 26% и  — от 74% до 87%)

2,8

Триполифосфат натрия

35,0

Силикат натрия (: 76,75% и : 23,25%)

6,0

Силикат магния

1,5

Карбоксиметилцеллюлоза

1,0

Этилендиаминтетраацетат натриевая соль

0,2

Оптический отбеливатель для хлопка (диморфолиностильбеновый)

0,2

Сульфат натрия (в качестве примеси или добавки)

16,8

Вода

7,8

Перборат натрия тетрагидрат (добавляют отдельно)

20,0

Примечание — Состав детергента — согласно IEC 60456:1994.

АА.2 Ополаскивающее средство

Допускается применять какое-либо имеющееся в продаже ополаскивающее средство, но если имеются какие-либо сомнения относительно результатов испытаний, состав ополаскивающего средства должен быть следующим:

Таблица АА.2

 

 

Состав

Часть массы, %

Плурафак LF 221

15,0

Кумене сульфанат (40%-ный раствор)

11,5

Лимонная кислота (безводная)

3,0

Деионизированная вода

70,5

 

_______________
 Плурафак LF 221 — торговая марка продукта, поставляемого фирмой BASF. Эта информация дана для удобства пользователей настоящего стандарта.

Ополаскивающее средство указанного состава должно иметь следующие показатели:

— динамическая вязкость — 17 мПа·с;

— рН — 2,2 (1% в воде).

Примечание — Состав детергента — согласно IEC 60436.

Приложение ВВ (обязательное). Испытание на старение частей из эластомерных материалов

Приложение ВВ
(обязательное)


Испытание на старение частей из эластомеров проводят путем измерения их твердости и массы до/после погружения в растворы детергента и ополаскивающего средства при повышенной температуре.

Испытание проводят не менее чем на трех образцах каждой детали. Образцы и порядок проведения испытания соответствуют ISO 1817 со следующими изменениями.

4 Испытательные жидкости

Жидкость получают путем растворения 5 г детергента, указанного в приложении АА, в литре дистиллированной воды.

Общая масса образцов для испытаний, погружаемых в раствор, не должна превышать 100 г на каждый литр раствора. Образцы для испытаний должны быть полностью погружены, а вся их поверхность должна свободно омываться раствором. В процессе испытаний образцы не должны подвергаться прямому воздействию света. Образцы для испытаний из различных составов не должны быть одновременно погружены в один и тот же раствор.

5 Образцы для испытаний

5.4 Кондиционирование

Температура — (23±2)°С, а относительная влажность — (50±5)%.

6 Погружение в испытательную жидкость

6.1 Температура

Раствор с погруженными в него образцами для испытаний нагревают в течение 1 ч до температуры 75°С и при этой температуре выдерживают образцы. Раствор обновляют каждые 24 ч и нагревают аналогичным образом.

Примечание — Во избежание ненадлежащего испарения раствора рекомендуется использовать систему с замкнутым циклом или аналогичный метод для обновления раствора.

6.2 Продолжительность

Общее время погружения образцов для испытаний составляет 48 ч.

Затем образцы для испытаний незамедлительно погружают в свежий раствор, температуру которого поддерживают на уровне комнатной. Образцы погружают на (45±15) мин.

После извлечения из раствора образцы для испытаний промывают холодной водой при температуре (15±5)°С, а затем высушивают промокательной бумагой.


7 Порядок проведения испытания

7.2 Изменение массы

Увеличение массы образцов для испытаний не должно превышать 10% значения, определенного до погружения.

7.6 Изменение твердости

Применяют микроиспытание на твердость.

Твердость образцов для испытаний не должна изменяться более чем на восемь единиц твердости резины по международной шкале. Их поверхность не должна становиться липкой и иметь трещины, видимые невооруженным глазом, или какиt-либо иные повреждения.

Приложение СС (обязательное). Электролитические стиральные машины без использования детергента

Приложение СС
(обязательное)


Следующие изменения настоящего стандарта применяют к стиральным машинам для бытового и аналогичного использования, в которых предусмотрено проведение электролитического процесса с использованием электролита вместо детергента.

Примечание — Номера дополнительных подпунктов и примечаний в настоящем приложении начинаются с 201.

2 Нормативные ссылки

Дополнение

IEC 60068-2-52:1996 Environmental testing — Part 2: Tests — Tests Kb: Salt mist, cyclic (sodium, chloride solution) (Испытания на воздействие внешних факторов. Часть 2. Испытания. Испытание Kb: Соляной туман, циклическое испытание (раствор хлорида натрия))

IEC 60079-15:2010 Electrical apparatus for explosive gas atmospheres — Part 15: Construction, test and marking of type of protection «n» electrical apparatus (Электрооборудование для взрывоопасных газовых сред. Часть 15. Конструкция, испытания и маркировка электрооборудования с видом защиты «n»)

3 Термины и определения

3.1.9 Дополнение

Приборы, работающие с электролитом, добавляемым пользователем, заполняют электролитом типа и в количестве, указанных в инструкциях.

7 Маркировка и инструкции

7.12 Дополнение

Инструкции для приборов, которые пользователь заполняет электролитом, должны содержать информацию о необходимом электролите, а также информацию следующего содержания:

«Во избежание опасности следует использовать только указанный электролит».

Примечание 201 — Информация о необходимом электролите может быть приведена, например, в виде общего непатентованного наименования или идентификационного номера по каталогу производителя.

7.12.1 Дополнение

В инструкциях по установке должно быть указано, что прибор необходимо установить так, чтобы между корпусом прибора и внешними источниками тепла, такими, как приборы с нагревательными элементами, расстояние было не менее 200 мм.

15 Влагостойкость

15.2 Четвертый и пятый абзацы заменить следующим.

Приборы работают в условиях по разделу 11, но без загрузки текстильным материалом. При достижении максимального уровня воды входной клапан остается открытым и продолжается заполнение в течение 15 мин после первого признака перелива или до тех пор, пока наполнение не будет автоматически остановлено другим способом.

15.101 Не применяют.

19 Ненормальный режим работы

19.201 Приборы должны быть сконструированы так, чтобы пена не повреждала электрическую изоляцию.

Соответствие требованию проверяют следующим испытанием, которое проводят сразу же после испытания по 15.2.

Добавляют детергент с составом, указанным в приложении АА, причем количество детергента в два раза превышает количество электролита, необходимого для нормальной стирки. Затем прибор работает в условиях, указанных в разделе 11, но в течение одного полного цикла по программе, которая обеспечивает самый длительный период работы.

Затем прибор подвергают испытанию на электрическую прочность по 16.3.

22 Конструкция

22.6 Изменение

Вместо окрашенной воды используют окрашенный раствор из электролизованной воды для стирки.

Дополнить следующим пунктом.

22.17 Дополнение

Шайбы, предназначенные для предотвращения блокирования отверстий электролизера стенами, должны быть закреплены так, чтобы было невозможно снять их снаружи прибора вручную или с использованием отвертки или гаечного ключа.

22.201 Приборы, оснащенные электролизером, состоящим из катодной и анодной камер, разделенных электролитическим сепаратором, должны быть сконструированы так, чтобы электролизер был постоянно открыт для доступа воздуха через отверстие диаметром не менее 5 мм или площадью 22 мм, с шириной не менее 3 мм. Отверстие должно быть расположено так, чтобы исключить возможность его блокирования при нормальной эксплуатации.

Соответствие требованию проверяют осмотром и измерением.

22.202 При нормальной эксплуатации прибора химическая реакция электролиза не должна приводить к образованию газообразного водорода, испускаемого в опасных количествах на тех участках, где:

— установлены электрические детали, которые производят электрические дуги и искры при нормальной работе или ненормальной работе, если эти детали не были испытаны и признаны соответствующими IEC 60079-15 для газов группы IIС, или

— имеются поверхности с температурой более 460°С при нормальной работе или ненормальной работе, куда может поступать газообразный водород.

Соответствие требованиям проверяют осмотром, измерением температуры соответствующих поверхностей при нормальной работе или ненормальной работе и следующим испытанием.

Прибор работает в течение одного цикла в условиях нормальной работы.

Концентрацию газообразного водорода на соответствующих участках постоянно измеряют в течение одного цикла стирки с начала испытания до окончания цикла. Фоновую концентрацию водорода, измеренную до испытания, вычитают из максимальной концентрации, измеренной во время испытания.

Измеренное значение должно составлять не более 50% нижнего предела воспламеняемости (НПВ) водорода.

Примечания

1 НПВ газообразного водорода составляет 4% воздуха в объемном отношении.

2 Контрольно-измерительные приборы, используемые для контроля концентрации газа, такие, как приборы с применением технологии измерения с использованием инфракрасного излучения, должны иметь быструю реакцию (как правило, от 2 до 3 с) и не должны ненадлежащим образом влиять на результат испытания.

3 При применении газовой хроматографии отбор проб газа на ограниченных участках следует проводить со скоростью не более 2 см каждые 30 с.

4 Допускается использовать также другие контрольно-измерительные приборы, если они не влияют ненадлежащим образом на результаты испытания.

22.203 При нормальной эксплуатации прибора химическая реакция электролиза не должна приводить к появлению воды, предназначенной для стирки, вызывающей коррозию из-за значения рН.

Соответствие требованию проверяют испытанием солевым туманом по IEC 60068-2-52, причем применяют степень жесткости 2. Значение рН используемого раствора должно быть приблизительно равно значению рН воды для стирки, измеренному при нормальной эксплуатации прибора.

Перед испытанием на корпус с покрытием наносят царапины шпилькой из закаленной стали, конец которой имеет форму конуса с углом на вершине 40°. Конец шпильки закруглен радиусом (0,25±0,02) мм. Шпильку нагружают так, чтобы сила, возникающая вдоль ее оси, составляла (10±0,5) Н. Шпильку располагают под углом 80°-85° к горизонтали и наносят царапины проведением шпилькой по поверхности покрытия со скоростью приблизительно 20 мм/с. Наносят пять царапин на расстоянии не менее 5 мм друг от друга и не менее 5 мм от краев.

После испытания прибор не должен иметь таких повреждений, после которых он перестал бы соответствовать требованиям настоящего стандарта, например разделам 8 и 27. Покрытие не должно быть разрушено или не должно отслаиваться от поверхности.

29 Зазоры, пути утечки и сплошная изоляция

29.2 Изменение

Заменить слова: «как детергент или кондиционер для ткани» на «как электролит или кондиционер для ткани».

32 Радиация, токсичность и подобные опасности

Дополнение

Концентрация озона, возникающая в результате химических реакций электролиза, не должна быть чрезмерной.

Соответствие требованию проверяют следующим испытанием, которое проводят в помещении без отверстий, размеры которого составляют

2,5х3,5х3,0 м, а стены имеют полиэтиленовую обшивку.

В помещении поддерживают температуру приблизительно 25°С и относительную влажность приблизительно 50%. Прибор устанавливают в соответствии с инструкциями, а затем он работает в течение одного цикла в условиях нормальной работы.

Трубку для отбора озоновых проб следует располагать на расстоянии 10 мм от выпускного отверстия для газа, указанного в 22.201. Фоновую концентрацию озона, измеренную перед испытанием, вычитают из максимальной концентрации, измеренной во время испытания.

Процентное содержание озона в помещении должно быть не более 5х10.

Приложение ВВ

Изменение

Вместо раствора, содержащего детергент, используют раствор электролизованной воды для стирки, полученной при условиях, указанных в разделе 11.

Приложение DD (справочное). Стиральные машины с приводными отжимными валками

Приложение DD
(справочное)


Следующие изменения настоящего стандарта применяют к стиральным машинам для бытового и аналогичного использования с приводными отжимными валками.

Примечание — Номера дополнительных подпунктов и примечаний в настоящем приложении начинаются с 201.

7 Маркировка и инструкции

Предохранительный отпускающий механизм приводных отжимных валков должен иметь маркировку для обозначения способа его работы, если его рабочее устройство не должно постоянно приводиться в действие пользователем.

Примечание 201 — Эта маркировка может быть расположена рядом с механизмом.

7.12 Дополнение

В инструкциях для стиральных машин с приводными отжимными валками должно быть указано на потенциальные опасности, которые могут возникнуть при работе отжимных валков, а также оговорено, что:

— отжимные валки должны быть отсоединены или отключены, когда их не используют;

— к прибору не следует допускать детей.

11 Нагрев

11.7 Дополнение

Прибор работает в течение трех циклов с четырехминутными перерывами между циклами. Каждый цикл состоит из стирки и последующего отжима.

Продолжение каждого периода отжима составляет 8 мин. Отжимные валки загружают пропусканием через ролики панели один раз в минуту, причем давление ролика настраивают на максимальное значение. Панель имеет толщину 20 мм и длину 800 мм, а ее ширина равна не менее чем трем четвертям полезной длины роликов. Панель равномерно скошена с каждой стороны до толщины приблизительно 3 мм на расстоянии 200 мм.

19 Ненормальный режим работы

19.7 Дополнение

Подвижные детали отжимных валков блокируют, даже если вращению роликов мешает нажимная планка.

20 Устойчивость и механические опасности

Дополнить следующим пунктом.

20.201 Приводные отжимные валки должны быть сконструированы так, чтобы давление между роликами поддерживалось пользователем, если прибор не оснащен легкодоступным предохранительным устройством или другими средствами защиты.

Отпускающий механизм должен работать свободно без резкого выбрасывания какой-либо детали и незамедлительно ослаблять давление на роликах. Ролики должны быть разделены расстоянием не менее 45 мм с обоих концов или не менее 25 мм с одного конца и 75 мм с другого.

Управление предохранительным устройством должно быть возможно человеком, стоящим в нормальном рабочем положении относительно отжимных валков, даже если пальцы обеих рук зажаты между роликами.

Приводные отжимные валки должны быть сконструированы так, чтобы можно было избежать зажатия пальцев между роликом и рамой.

Приводные отжимные валки должны управляться легкодоступным выключателем.

Примечание — Выключатель, с использованием которого происходит управление стиральной машиной, может также управлять отжимными валками.

Соответствие требованию проверяют осмотром, измерением, испытанием вручную и следующим испытанием.

Давление между роликами настраивают на его максимальное значение. Панель, описанная в 11.7, проходит между роликами, и отжимные валки останавливают, когда панель проходит приблизительно половину расстояния. К рабочим средствам предохранительного устройства постепенно прикладывают силу. Предохранительное устройство работает до того момента, когда сила превысит 70 Н.

Приложение ДА (справочное). Сведения о соответствии межгосударственных стандартов ссылочным международным стандартам

Приложение ДА
(справочное)


Таблица ДА.1

 

 

 

Обозначение и наименование международного стандарта

Степень соответствия

Обозначение и наименование межгосударственного стандарта

IEC 60730-2-12:2005 Устройства управления автоматические электрические бытового и аналогичного назначения. Часть 2-12. Частные требования к электрическим дверным замкам

IDT

ГОСТ IEC 60730-2-12-2012 Автоматические электрические управляющие устройства бытового и аналогичного назначения. Часть 2-12. Дополнительные требования к электрически управляемым дверным замкам

Примечание — В настоящей таблице использовано следующее условное обозначение степени соответствия стандарта:

— IDT — идентичный стандарт.

 

Библиография


Библиографию части 1 применяют, за исключением следующего.

Дополнение

IEC 60335-2-4:2008 Household and similar electrical appliances — Safety — Part 2-4: Particular requirements for spin extractors (Бытовые и аналогичные электрические приборы. Безопасность. Часть 2-4. Частные требования для центрифуг)

IEC 60335-2-11:2002 Household and similar electrical appliances — Safety — Part 2-11: Particular requirements for tumble dryers (Бытовые и аналогичные электрические приборы. Безопасность. Часть 2-11. Частные требования для барабанных сушилок)

IEC 60436:2009 Electrical dishwashers for household use — Methods for measuring the performance (Машины электрические посудомоечные бытового назначения. Методы измерения рабочих характеристик)

ISO 10472-2:1997 Safety requirements for industrial laundry machinery — Part 2: Washing machines and washer-extractors (Машины и оборудование прачечных. Требования безопасности. Часть 2. Стиральные машины и отжимные центрифуги)

ISO 13732-1:2006 Ergonomics of the thermal environment — Methods for the assessment of human responses to contact with surfaces — Part 1: Hot surfaces (Эргономика термальной среды. Методы оценки реакции человека при контакте с поверхностями. Часть 1. Горячие поверхности)

 

 

 

УДК 621.3.002.5:64:658.382.3:006.354

МКС 97.060
13.120

IDT

Наверх

Ваше сообщение