ГОСТ 32261-2013 Масло сливочное. Технические условия

ГОСТ 32261-2013 Масло сливочное. Технические условия

ГОСТ 32261-2013

МЕЖГОСУДАРСТВЕННЫЙ СТАНДАРТ

МАСЛО СЛИВОЧНОЕ 

Технические условия

Butter. Specifications

МКС 67.100.20

Дата введения 2015-07-01

Предисловие

Цели, основные принципы и основной порядок проведения работ по межгосударственной стандартизации установлены ГОСТ 1.0-92 «Межгосударственная система стандартизации. Основные положения» и ГОСТ 1.2-2009 «Межгосударственная система стандартизации. Стандарты межгосударственные, правила и рекомендации по межгосударственной стандартизации. Правила разработки, принятия, применения, обновления и отмены»

Сведения о стандарте

1 РАЗРАБОТАН Государственным научным учреждением Всероссийским научно-исследовательским институтом маслоделия и сыроделия Российской академии сельскохозяйственных наук (ГНУ ВНИИМС Россельхозакадемии)

2 ВНЕСЕН Федеральным агентством по техническому регулированию и метрологии

3 ПРИНЯТ Межгосударственным советом по стандартизации, метрологии и сертификации (протокол от 14 ноября 2013 г. N 44)

За принятие проголосовали:

Краткое наименование страны
по МК (ИСО 3166) 004-97

Код страны по
МК (ИСО 3166) 004-97

Сокращенное наименование национального органа по стандартизации

Армения

AM

Минторгэкономразвития

Казахстан

KZ

Госстандарт Республики Казахстан

Россия

RU

Росстандарт

Узбекистан

UZ

Узстандарт

4 Настоящий стандарт подготовлен на основе применения ГОСТ Р 52969-2008

5 Приказом Федерального агентства по техническому регулированию и метрологии от 22 ноября 2013 г. N 2134-ст межгосударственный стандарт ГОСТ 32261-2013 введен в действие в качестве национального стандарта Российской Федерации с 1 июля 2015 г.

6 ВВЕДЕН ВПЕРВЫЕ

7 Издание (май 2015 г.) с Поправкой (ИУС 3-2015)


Информация об изменениях к настоящему стандарту публикуется в ежегодном информационном указателе «Национальные стандарты», а текст изменений и поправок — в ежемесячном информационном указателе «Национальные стандарты».

1 Область применения


Настоящий стандарт распространяется на сливочное масло (далее — масло), изготовляемое из коровьего молока и/или молочных продуктов и побочных продуктов переработки молока, предназначенное для непосредственного употребления в пищу, кулинарных целей и использования в других отраслях пищевой промышленности.

Требования, обеспечивающие безопасность масла изложены в 5.1.9, требования к качеству — в 5.1.3-5.1.8, требования к маркировке — в 5.3.

2 Нормативные ссылки

В настоящем стандарте использованы нормативные ссылки на следующие межгосударственные стандарты:

ГОСТ 8.579-2002 Государственная система обеспечения единства измерений. Требования к количеству фасованных товаров в упаковках любого вида при их производстве, расфасовке, продаже и импорте

ГОСТ 334-73 Бумага масштабно-координатная. Технические условия

ГОСТ 427-75 Линейки измерительные металлические. Технические условия

ГОСТ 3145-84 Часы механические с сигнальным устройством. Общие технические условия

ГОСТ 3622-68 Молоко и молочные продукты. Отбор проб и подготовка их к испытанию*
________________
* Заменен на ГОСТ 26809-86 в части правил приемки, методов отбора и подготовки проб к анализу.


ГОСТ 3624-92 Молоко и молочные продукты. Титриметрические методы определения кислотности

ГОСТ 3626-73 Молоко и молочные продукты. Методы определения влаги и сухого вещества

ГОСТ 3627-81 Молочные продукты. Методы определения хлористого натрия

ГОСТ 4495-87 Молоко цельное сухое. Технические условия

ГОСТ 5867-90 Молоко и молочные продукты. Методы определения жира

ГОСТ 9225-84 Молоко и молочные продукты. Методы микробиологического анализа

ГОСТ 9347-74 Картон прокладочный и уплотнительные прокладки из него. Технические условия

ГОСТ 10444.12-2013 Микробиология пищевых продуктов и кормов для животных. Метод выявления и подсчета количества дрожжей и плесневых грибов

ГОСТ 10970-87 Молоко сухое обезжиренное. Технические условия

ГОСТ 13511-2006 Ящики из гофрированного картона для пищевых продуктов, спичек, табачных изделий и моющих средств. Технические условия

ГОСТ 13512-91 Ящики из гофрированного картона для кондитерских изделий. Технические условия

ГОСТ 13513-86 Ящики из гофрированного картона для продукции мясной и молочной промышленности. Технические условия

ГОСТ 13515-91 Ящики из тарного плоского склеенного картона для сливочного масла и маргарина. Технические условия

ГОСТ 13516-86 Ящики из гофрированного картона для консервов, пресервов и пищевых жидкостей. Технические условия

ГОСТ 13830-97 Соль поваренная пищевая. Общие технические условия 

ГОСТ 14192-96 Маркировка грузов

ГОСТ 15846-2002 Продукция, отправляемая в районы Крайнего Севера и приравненные к ним местности. Упаковка, маркировка, транспортирование и хранение

ГОСТ 16535-95 Ящики из гофрированного картона для мороженого. Технические условия 

ГОСТ 18251-87 Лента клеевая на бумажной основе. Технические условия 

ГОСТ 20477-86 Лента полиэтиленовая с липким слоем. Технические условия 

ГОСТ 21650-76 Средства скрепления тарно-штучных грузов в транспортных пакетах. Общие требования

ГОСТ 23452-79 Молоко и молочные продукты. Методы определения остаточных количеств хлорорганических пестицидов

ГОСТ 24104-2001 Весы лабораторные. Общие технические требования 

ГОСТ 24597-81 Пакеты тарно-штучных грузов. Основные параметры и размеры 

ГОСТ 24831-81 Тара-оборудование. Типы, основные параметры и размеры 

ГОСТ 25336-82 Посуда и оборудование лабораторные стеклянные. Типы, основные параметры и размеры

ГОСТ 26663-85 Пакеты транспортные. Формирование с применением средств пакетирования. Общие технические требования

ГОСТ 26678-85 Холодильники и морозильники бытовые электрические компрессионные параметрического ряда. Общие технические условия

ГОСТ 26809-86 Молоко и молочные продукты. Правила приемки, методы отбора и подготовка проб к анализу

ГОСТ 26927-86 Сырье и продукты пищевые. Методы определения ртути 

ГОСТ 26928-86 Продукты пищевые. Метод определения железа 

ГОСТ 26929-94 Сырье и продукты пищевые. Подготовка проб. Минерализация для определения содержания токсичных элементов

ГОСТ 26930-86 Сырье и продукты пищевые. Метод определения мышьяка 

ГОСТ 26931-86 Сырье и продукты пищевые. Методы определения меди 

ГОСТ 26932-86 Сырье и продукты пищевые. Методы определения свинца 

ГОСТ 26933-86 Сырье и продукты пищевые. Методы определения кадмия

ГОСТ 27752-88 Часы электронно-механические кварцевые настольные, настенные и часы будильники. Общие технические условия

ГОСТ 28498-90 Термометры жидкостные стеклянные. Общие технические требования. Методы испытаний

ГОСТ 30178-96 Сырье и продукты пищевые. Атомно-абсорбционный метод определения токсичных элементов

ГОСТ 30347-97 Молоко и молочные продукты. Методы определения Staphylococcus aureus 

ГОСТ 30519-97 Продукты пищевые. Методы выявления бактерий рода Salmonella 

ГОСТ 30538-97 Продукты пищевые. Методика определения токсичных элементов атомно-эмиссионным методом

ГОСТ 30711-2001 Продукты пищевые. Методы выявления и определения содержания афлатоксинов B и М

ГОСТ 31449-2013 Молоко коровье сырое. Технические условия

ГОСТ 31502-2012 Молоко и молочные продукты. Микробиологические методы определения наличия антибиотиков

ГОСТ 31658-2012 Молоко обезжиренное — сырье. Технические условия

ГОСТ 31663-2012 Масла растительные и жиры животные. Определение методом газовой хроматографии массовой доли метиловых эфиров жирных кислот

ГОСТ 31665-2012 Масла растительные и жиры животные. Получение метиловых эфиров жирных кислот

ГОСТ 31694-2012 Продукты пищевые, продовольственное сырье. Метод определения остаточного содержания антибиотиков тетрациклиновой группы с помощью высокоэффективной жидкостной хроматографии с масс-спектрометрическим детектором

ГОСТ 31903-2012 Продукты пищевые. Экспресс-метод определения антибиотиков


ГОСТ 31979-2012 Молоко и молочные продукты. Метод обнаружения растительных жиров в жировой фазе газожидкостной хроматографией стеринов

Примечание — При пользовании настоящим стандартом целесообразно проверить действие ссылочных стандартов в информационной системе общего пользования — на официальном сайте Федерального агентства по техническому регулированию и метрологии в сети Интернет или по ежегодному информационному указателю «Национальные стандарты», который опубликован по состоянию на 1 января текущего года, и по выпускам ежемесячного информационного указателя «Национальные стандарты» за текущий год. Если ссылочный стандарт заменен (изменен), то при пользовании настоящим стандартом следует руководствоваться заменяющим (измененным) стандартом. Если ссылочный стандарт отменен без замены, то положение, в котором дана ссылка на него, применяется в части, не затрагивающей эту ссылку.

3 Термины и определения


В настоящем стандарте применены термины по [1], а также следующий термин с соответствующим определением:

3.1 термоустойчивость: Показатель, характеризующий способность масла сохранять форму (не деформироваться под воздействием собственной массы) при температуре (30±1)°С.

4 Классификация

4.1 Сливочное масло в зависимости от особенностей технологии изготовления подразделяют:

— на сладко-сливочное;

— кисло-сливочное.

4.2 Сладко-сливочное и кисло-сливочное масло подразделяют:

— на несоленое;

— соленое.

5 Технические требования

5.1 Основные показатели и характеристики

5.1.1 Масло изготавливают в соответствии с требованиями настоящего стандарта по технологическим инструкциям с соблюдением требований санитарного законодательства государства, принявшего стандарт.

5.1.2 Масло изготовляют в следующем ассортименте:

— сладко-сливочное и кисло-сливочное, несоленое и соленое — Традиционное;

— сладко-сливочное и кисло-сливочное, несоленое и соленое — Любительское;

— сладко-сливочное и кисло-сливочное, несоленое и соленое — Крестьянское.

5.1.3 По органолептическим показателям масло должно соответствовать требованиям, указанным в таблице 1, с допустимыми отклонениями в соответствии с А.2.

Таблица 1

 

Наименование показателя

Характеристика для

сладко-сливочного масла

кисло-сливочного масла

Вкус и запах

Выраженные сливочный и привкус пастеризации, без посторонних привкусов и запахов.

Выраженные сливочный и кисломолочный, без посторонних привкусов и запахов.

Умеренно соленый — для соленого масла

Консистенция и внешний вид

Плотная, пластичная, однородная или недостаточно плотная и пластичная. Поверхность на срезе блестящая, сухая на вид. Допускается слабо-блестящая или матовая поверхность с наличием мелких капелек влаги

Цвет

От светло-желтого до желтого, однородный по всей массе

5.1.4 Органолептические показатели масла (в баллах) оценивают в соответствии с приложением А, используя шкалу оценки.

Результаты в баллах суммируют, на основании общей оценки определяют качество масла и в зависимости от балльной оценки, указанной в таблице 2, подразделяют на сорта: высший и первый.

Таблица 2

В баллах

Сорт

Общая оценка

Оценка, не менее

 

 

вкус и запах

консистенция

цвет

упаковка и маркировка

Высший

17-20

8

4

2

3

Первый

11-16

5

3

1

2


Масло, получившее общую оценку менее 11 баллов, в т.ч. за вкус и запах менее пяти баллов, за консистенцию менее трех баллов, за цвет менее одного балла, за упаковку и маркировку менее двух баллов, к реализации не допускается.

Реализации не подлежит масло, имеющее:

— вкус и запах — посторонний, горький, прогорклый, затхлый, салистый, олеистый, окисленный, металлический, плесневелый, химикатов и нефтепродуктов и других привкусов и запахов, нехарактерных для масла, резко выраженные кормовой, пригорелый, кислый и излишне кислый, не растворившуюся соль и излишне соленый в соленом масле;

— консистенцию — засаленную, липкую, крошливую, неоднородную, колющуюся, рыхлую, слоистую, мучнистую, мягкую, с термоустойчивостью менее 0,70;

— цвет — неоднородный;

— упаковку и маркировку — недостаточно четкую маркировку, вмятины на поверхности упаковки монолита, дефекты в заделке упаковочного материала, деформированную и поврежденную упаковку.

5.1.5 Термоустойчивость масла — от 0,70 до 1,00.

5.1.6 По химическим показателям масло должно соответствовать требованиям, указанным в таблице 3.

Таблица 3

Наименование сливочного масла

Массовая доля, %

Титруемая кислотность
молочной плазмы, °Т

 

жира, не менее

влаги, не более

хлористого натрия (поваренной соли), не более

 

Традиционное

сладко-сливочное:

Не более 26,0

несоленое;

82,5

16,0

соленое

82,5

15,0

1,0

кисло-сливочное:

От 40,0 до 65,0

несоленое;

82,5

16,0

соленое

82,5

15,0

1,0

Любительское

сладко-сливочное:

Не более 26,0

несоленое:

80,0

18,0

соленое

80,0

17,0

1,0

кисло-сливочное:

От 40,0 до 65,0

несоленое;

80,0

18,0

соленое

80,0

17,0

1,0

Крестьянское

сладко-сливочное:

Не более 26,0

несоленое;

72,5

25,0

соленое

72,5

24,0

1,0

кисло-сливочное:

От 40,0 до 65,0

несоленое;

72,5

25,0

соленое

72,5

24,0

1,0

5.1.7 Жировая фаза масла должна содержать только молочный жир коровьего молока. 

Идентификационные характеристики жировой фазы масла, установленные по соотношениям массовых долей метиловых эфиров жирных кислот (или их сумм), указаны в таблице 4.

Таблица 4

Соотношения метиловых эфиров жирных кислот молочного жира

Границы соотношения массовых долей метиловых эфиров жирных кислот в молочном жире

Пальмитиновой () к лауриновой ()

От

5,8

до

14,5

включ.

Стеариновой () к лауриновой ()

«

1,9

«

5,9

«

Олеиновой () к миристиновой ()

«

1,6

«

3,6

«

Линолевой () к миристиновой ()

«

0,1

«

0,5

«

Суммы олеиновой и линолевой к сумме лауриновой, миристиновой, пальмитиновой и стеариновой

«

0,4

«

0,7

«

Примечание — Для масла, изготовленного в Новой Зеландии, нижние границы соотношений метиловых эфиров жирных кислот составляют: пальмитиновой кислоты () к лауриновой () — 5,0; стеариновой () к лауриновой () — 1,7; олеиновой () к миристиновой () — 1,5.


Жирно-кислотный состав молочного жира приведен в приложении Б.

5.1.8 При изготовлении масла допускается применять пищевой краситель каротин, содержание которого указано в таблице 5 и должно соответствовать нормам, регламентированным санитарными правилами и гигиеническими нормативами, действующим на территории государства, принявшего настоящий стандарт.

Таблица 5

 

Наименование пищевой добавки

Массовая доля, % или (мг/кг), не более

Пищевой краситель каротин

0,0003 (3)

5.1.9 По показателям безопасности (содержанию потенциально опасных веществ и микроорганизмов, в т.ч. патогенных) масло должно соответствовать нормам, установленным [1], [2].

5.2 Требования к сырью

5.2.1 Сырье, функционально необходимые компоненты и пищевые добавки, используемые для изготовления масла, по показателям безопасности должны соответствовать требованиям [1]-[3], а также санитарным правилам и нормам, гигиеническим нормативам, действующим на территории государства, принявшего стандарт.

5.2.2 Для изготовления масла используют следующее основное сырье, функционально необходимые компоненты и пищевые добавки:

— молоко коровье по [1] и ГОСТ 31449;

— сливки по [1] и нормативным или техническим документам, действующим на территории государства, принявшего стандарт, титруемой кислотностью не более 19°Т;

— молоко обезжиренное по ГОСТ 31658, кислотностью не более 19°Т;

— пахта по [1] и нормативным или техническим документам, действующим на территории государства, принявшего стандарт, полученная при производстве сладко-сливочного масла, кислотностью не более 19,0°Т;

— молоко цельное сухое по ГОСТ 4495 (для нормализации);

— молоко сухое обезжиренное по ГОСТ 10970 (для нормализации);

— препараты и концентраты бактериальные молочнокислых микроорганизмов по нормативным или техническим документам, действующим на территории государства, принявшего стандарт, обеспечивающие получение кисло-сливочного масла, соответствующего требованиям настоящего стандарта;

— соль поваренная пищевая по ГОСТ 13830, не ниже сорта экстра, молотая, нейодированная;

— краситель пищевой — каротин (Е160а).

5.2.3 Допускается использование аналогичного сырья, функционально необходимых компонентов и пищевых добавок, не уступающих по качественным характеристикам, перечисленным в 5.2.2 и соответствующих по показателям безопасности нормам, установленным [1]-[3].

5.3 Маркировка

5.3.1 Информацию для потребителя, соответствующую требованиям [1] и [4], приводят на потребительской упаковке на этикетке или указывают непосредственно на упаковочном материале.

5.3.2 Для масла, изготовленного с использованием закваски и/или поваренной соли, в наименовании указывают: «кисло-сливочное» и/или «соленое», при добавлении витаминов — «обогащенное витаминами».

5.3.3 Дополнительно к требованиям [1] и [4], в маркировке указывают:

— для потребительской и транспортной упаковки — сорт масла;

— для транспортной упаковки — порядковый номер ящика по нарастанию с начала каждого дня.

5.3.4 Дату изготовления допускается наносить любым способом, обеспечивающим ее четкое обозначение.

5.3.5. Информационные данные о пищевой ценности масла приведены в приложении В.

5.3.6 Маркировка транспортной и групповой упаковки масла должна осуществляться в соответствии с требованиями, установленными [4].

5.3.7 Маркировку на транспортную упаковку наносят:

— на одну из торцевых сторон картонного ящика с маслом в потребительской упаковке, предназначенным для реализации в торговую сеть; на обе торцевые стороны ящика с маслом в потребительской упаковке, предназначенным для хранения;

— на обе торцевые стороны картонного ящика с маслом, фасованным монолитом.

5.3.8 Манипуляционные знаки «Беречь от солнечных лучей», «Ограничение температуры», «Беречь от влаги» наносят в соответствии с ГОСТ 14192.

5.3.9 Маркировку на транспортную упаковку наносят путем наклеивания этикетки, изготовленной типографским способом, или при помощи трафарета, маркиратора или другого приспособления, обеспечивающего четкое ее прочтение.

Допускается проставление недостающих реквизитов штемпелем или другим приспособлением, обеспечивающим их четкое прочтение.

5.3.10 Маркировка масла, отправляемого в районы Крайнего Севера и приравненные к ним местности, — по ГОСТ 15846.

5.4 Упаковка

5.4.1 Упаковочные материалы, потребительская и транспортная упаковка, используемые для упаковывания масла, должны соответствовать требованиям [5] и документов, в соответствии с которыми они изготовлены, и обеспечивать сохранность качества и безопасности масла при перевозках, хранении и реализации.

5.4.2 Рекомендуемая потребительская и транспортная упаковка для упаковывания масла приведены в приложении Г.

5.4.3 Пределы допускаемых отрицательных отклонений массы нетто от номинальной массы нетто и требования к партии фасованного масла — по ГОСТ 8.579.

5.4.4 Упаковка масла, отправляемого в районы Крайнего Севера и приравненные к ним местности, — по ГОСТ 15846.

6 Правила приемки

6.1 Правила приемки — по ГОСТ 26809.

6.2 Масло контролируют по показателям качества и безопасности, предусмотренным в разделе 5, в соответствии с программой производственного контроля, утвержденной в установленном порядке.

7 Методы контроля

7.1 Методы отбора и подготовка проб к анализам — по ГОСТ 9225, ГОСТ 26809, ГОСТ 26929.

7.2 Качество упаковки и правильность маркировки масла определяют путем осмотра выборки, отобранной по ГОСТ 26809.

7.3 Определение массы нетто — по ГОСТ 3622.

7.4 Органолептические показатели определяют в соответствии с приложением А. 

Определение органолептических показателей масла проводят на соответствие требованиям настоящего стандарта при температуре воздуха в помещении (20±2)°С и температуре анализируемого продукта (12±2)°С, измеряемой в соответствии с требованиями ГОСТ 3622.

7.5 Определение термоустойчивости сливочного масла

Метод основан на выдерживании пробы масла определенного размера и формы при температуре (30±1)°С в течение 2 ч и вычислении отношения начального диаметра исследуемой пробы до термостатирования к среднему диаметру основания после термостатирования.

7.5.1 Средства измерений, вспомогательное оборудование, реактивы и материалы 

Весы по ГОСТ 24104, обеспечивающие точность взвешивания с пределом допускаемой абсолютной погрешности однократного взвешивания ±0,02 г.

Термостат воздушный, позволяющий поддерживать температуру 30°С, с отклонением от заданной температуры ±1°С.

Пробоотборник цилиндрический диаметром 20 мм, высотой 20 мм с приспособлением для выталкивания пробы.

Стеклянные пластинки для размещения проб масла длиной 200 мм и шириной 150 мм.

Часы с таймером по ГОСТ 27752 или часы механические с сигнальным устройством по ГОСТ 3145.

Термометр жидкостной стеклянный ртутный лабораторный, с диапазоном измерения температуры от 0°С до 100°С и ценой деления шкалы 1°С по ГОСТ 28498.

Холодильник бытовой электрический по ГОСТ 26678.

Бумага масштабно-координатная по ГОСТ 334.

Линейка по ГОСТ 427.

7.5.2 Подготовка к измерению

От выборки масла в потребительской упаковке, массой нетто от 10 до 100 г, для проведения измерения отбирают не менее двух единиц упаковки; массой нетто от 100 до 1000 г и монолита отбирают 100-150 г масла. Отобранные пробы масла выдерживают в течение 1 сут в морозильной камере холодильника при температуре не выше минус 5°С, а затем дефростируют при комнатной температуре до температуры пробы 10°С — 14°С.

На масштабно-координатной бумаге чертят квадраты размером 20х20 мм.

7.5.3 Проведение измерений

Из масла, подготовленного по 7.5.2, с помощью пробоотборника вырезают пробы, имеющие форму цилиндра высотой не менее 20 мм. Для масла в потребительской упаковке массой нетто от 10 до 100 г допускается высота пробы менее 20 мм. Пробы размещают на стеклянной пластинке. Пластинку с пробами помещают в термостат, где выдерживают 2 ч при температуре (30±1)°С. По окончании выдерживания пластинку с пробами извлекают из термостата и помещают на масштабно-координатную бумагу таким образом, чтобы две стороны нанесенного на бумагу квадрата являлись касательными к основанию пробы масла. Линейкой измеряют длину отрезков, представляющих собой перпендикуляры, проведенные к сторонам квадрата в точках касания, ограниченные линией основания пробы. Вычисляют среднеарифметическое значение длины этих отрезков, которое принимают за средний диаметр основания  пробы после ее термостатирования.

Проводят два параллельных измерения.

7.5.4 Обработка результатов 

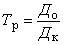
Термоустойчивость  рассчитывают по формуле

(1)


где  — начальный диаметр основания пробы, равный 20 мм;

 — средний диаметр основания пробы после ее термостатирования, мм.

Вычисление проводят с точностью до третьего знака после запятой. Результат округляют до второго знака после запятой. За окончательный результат измерения принимают среднеарифметическое значение результатов двух параллельных определений.

Шкала, характеризующая термоустойчивость масла, указана в таблице 6.


Таблица 6

 

Термоустойчивость

Характеристика термоустойчивости

От 0,86 до 1,00 включ.

Хорошая

От 0,70 до 0,85 включ.

Удовлетворительная

Менее 0,70

Неудовлетворительная

7.5.5 Контроль точности результатов измерений

7.5.5.1 Предел повторяемости

Допускаемое абсолютное расхождение между результатами двух параллельных определений, выполненных в соответствии с 7.5.3 одним и тем же оператором на одном и том же оборудовании в течение короткого промежутка времени, не должно превышать 0,03 при доверительной вероятности 0,95.

7.5.5.2 Предел воспроизводимости

Допускаемое абсолютное расхождение между двумя результатами измерений, полученными в разных лабораториях в соответствии с 7.5.3, в условиях воспроизводимости не должно превышать 0,04 при доверительной вероятности 0,95.

7.6 Определение массовой доли жира — по ГОСТ 5867 (подпункт 2.2.4.2 и пункт 2.3.5).

7.7 Определение массовой доли влаги — по ГОСТ 3626 (раздел 6а или 7).

7.8 Определение массовой доли поваренной соли (хлористого натрия) — по ГОСТ 3627 (раздел 5 или 6).

7.9 Определение титруемой кислотности молочной плазмы — по ГОСТ 3624 (раздел 3).

7.10 Определение массовой доли пищевого красителя проводят расчетным путем на основе рецептур или по нормативным документам, действующим на территории государства, принявшего стандарт.

7.11 Определение микробиологических показателей:

— количества мезофильных аэробных и факультативно-анаэробных микроорганизмов и бактерий группы кишечных палочек — по ГОСТ 9225;

— Staphylococcus aureus — по ГОСТ 30347;

— патогенных микроорганизмов, в том числе сальмонелл — по ГОСТ 30519;

— плесневых грибов и дрожжей — по ГОСТ 10444.12;

— Listeria monocytogenes — по нормативным документам, действующим на территории государства, принявшего стандарт.

7.12 Определение токсичных элементов:

— свинца — по ГОСТ 26932, ГОСТ 30178, ГОСТ 30538 и нормативным документам, действующим на территории государства, принявшего стандарт;

— кадмия — по ГОСТ 26933, ГОСТ 30178, ГОСТ 30538 и нормативным документам, действующим на территории государства, принявшего стандарт;

— меди — по ГОСТ 26931, ГОСТ 30178, ГОСТ 30538 и нормативным документам, действующим на территории государства, принявшего стандарт;

— мышьяка — по ГОСТ 26930, ГОСТ 30538 и нормативным документам, действующим на территории государства, принявшего стандарт;

— ртути — по ГОСТ 26927 и нормативным документам, действующим на территории государства, принявшего стандарт;

— железа — по ГОСТ 26928, ГОСТ 30178, ГОСТ 30538 и нормативным документам, действующим на территории государства, принявшего стандарт.

7.13 Определение содержания микотоксинов (афлатоксина М) — по ГОСТ 30711 и документам, действующим на территории государства, принявшего стандарт.

7.14 Определение содержания пестицидов — по ГОСТ 23452 и документам, действующим на территории государства, принявшего стандарт.

7.15 Определение антибиотиков — по ГОСТ 31502, ГОСТ 31694, ГОСТ 31903 и по документам, действующим на территории государства, принявшего стандарт.

7.16 Определение содержания радионуклидов, диоксинов — по документам, действующим на территории государства, принявшего стандарт.

7.17 Установление фальсификации жировой фазы масла жирами немолочного происхождения

7.17.1 Фальсификацию жировой фазы масла жирами немолочного происхождения устанавливают по ГОСТ 31979.

7.17.2 В качестве альтернативного метода установления фальсификации жировой фазы масла жирами немолочного происхождения используют расчетный метод.

Сущность метода основана на выделении жировой фазы масла, получении метиловых эфиров жирных кислот, определении их массовой доли газохроматографическим методом, расчете соотношений массовых долей метиловых эфиров жирных кислот (или их сумм) и сравнении полученных соотношений с аналогичными показателями для молочного жира коровьего молока.

7.17.3 Получение метиловых эфиров жирных кислот

7.17.3.1 Средства измерений, вспомогательное оборудование, реактивы и материалы 

Средства измерений, вспомогательное оборудование, реактивы и материалы в соответствии с ГОСТ 31665 (раздел 4) со следующим дополнением.

Шкаф сушильный лабораторный с терморегулятором, обеспечивающим поддержание температуры в рабочей камере от 25°С до 100°С с точностью ±5°С.

Весы по ГОСТ 24104, обеспечивающие точность взвешивания с пределом допускаемой абсолютной погрешности однократного взвешивания ±0,001 г.

Стакан В-1-250 ТС по ГОСТ 25336.

Воронки В-56(80) по ГОСТ 25336.

7.17.3.2 Получение метиловых эфиров жирных кислот проводят по ГОСТ 31665 (разделы 5 и 6) со следующими дополнениями.

Разделение сливочного масла на жир и плазму проводят при температуре (50±2)°С. При выделении жировой фазы сливочного масла допускается для сокращения длительности подготовки пробы и обеспечения полноты разделения фаз пробу перед помещением в термостат замораживать в течение 24 ч или после ее термостатирования при температуре (50±2)°С в течение 1 ч проводить дополнительное центрифугирование.

При получении метиловых эфиров жирных кислот следует строго соблюдать герметичность во избежание потери эфиров низкомолекулярных жирных кислот.

7.17.4 Измерение массовой доли метиловых эфиров жирных кислот

7.17.4.1 Средства измерений, вспомогательное оборудование, реактивы и материалы для измерения метиловых эфиров жирных кислот в соответствии с ГОСТ 31663 (раздел 4).

7.17.4.2 Измерение массовой доли метиловых эфиров жирных кислот, полученных по 7.17.3, проводят в соответствии с ГОСТ 31663 (раздел 6) со следующим дополнением.

Условия проведения измерения массовой доли метиловых эфиров жирных кислот жировой фазы масла должны обеспечивать четкое разделение пика растворителя и масляной кислоты (). Продолжительность измерения должна быть достаточной для разделения хроматографических пиков всех жирных кислот, содержащихся в испытуемой жировой фазе и составлять не менее 35-40 мин.

7.17.5 Обработка результатов измерений

7.17.5.1 Идентификацию хроматографических пиков метиловых эфиров жирных кислот испытуемой пробы проводят в соответствии с ГОСТ 31663 (пункт 6.3).

Вычисление массовой доли метиловых эфиров индивидуальных жирных кислот по площадям хроматографических пиков проводят в соответствии с ГОСТ 31663 (пункт 7.2).

Показатели повторяемости (сходимости) и воспроизводимости — в соответствии с ГОСТ 31663 (пункты 8.1 и 8.2).

Вычисленные значения массовых долей метиловых эфиров индивидуальных жирных кислот используют для расчета соотношений массовых долей метиловых эфиров жирных кислот (или их сумм). По результатам каждого хроматографического анализа вычисляют соотношения массовых долей следующих метиловых эфиров жирных кислот (или их сумм):

— пальмитиновой к лауриновой;

— стеариновой к лауриновой;

— олеиновой к миристиновой;

— линолевой к миристиновой;

— суммы олеиновой и линолевой к сумме лауриновой, миристиновой, пальмитиновой и стеариновой.

При расчете соотношений метиловых эфиров жирных кислот для определения массовой доли линолевой кислоты учитывают сумму линолевой кислоты и всех ее изомеров, включая изомер линолевой кислоты с сопряженными двойными связями.

Вычисления проводят с точностью до второго десятичного знака, с последующим округлением до первого десятичного знака.

7.17.5.2 Фальсификацию жировой фазы масла жирами немолочного происхождения устанавливают по результатам сравнения полученных соотношений массовых долей метиловых эфиров жирных кислот (или их сумм) с показателями, указанными в таблице 4.

Если значение хотя бы одного из соотношений массовых долей метиловых эфиров жирных кислот (или их сумм) выходит за установленные границы соотношений, указанных в таблице 4, то это свидетельствует о фальсификации жировой фазы масла жирами немолочного происхождения.

8 Транспортирование и хранение

8.1 Масло перевозят в крытых транспортных средствах в соответствии с правилами перевозок скоропортящихся грузов, действующими на транспорте соответствующего вида.

Транспортирование масла в пакетированном виде — в соответствии с требованиями по транспортированию молочных продуктов транспортными пакетами, а также по ГОСТ 21650, ГОСТ 24597, ГОСТ 26663.

8.2 Рекомендуемые условия хранения масла:

— режим I: температура воздуха — (3±2)°С, относительная влажность воздуха — не более 90%;

— режим II: температура воздуха — минус (6±3)°С, относительная влажность воздуха — не более 90%;

— режим III: температура воздуха — минус (16±2)°С, относительная влажность воздуха — не более 90%.

8.3 Температура масла при реализации с предприятий и условия транспортирования должны соответствовать требованиям 8.2.

8.4 Транспортирование и хранение масла совместно с пищевыми продуктами с резким, специфическим, сильно выраженным запахом не допускается.

8.5 Транспортирование и хранение масла, предназначенного для отправки в районы Крайнего Севера и приравненные к ним местности, — по ГОСТ 15846.

8.6 Срок годности масла в транспортной и потребительской упаковке приведен в приложении Д.

8.7 Срок годности масла, отличающийся от указанного в приложении Д, устанавливает изготовитель в соответствии с принятым порядком и учетом требований нормативных правовых актов в области безопасности пищевой продукции, действующими на территории государства, принявшего стандарт.

Приложение А (обязательное). Органолептическая оценка сливочного масла

Приложение А
(обязательное)

А.1 Органолептические показатели масла, а также их упаковку и маркировку оценивают по 20-балльной шкале в соответствии с требованиями таблицы А.1.

Таблица А.1

 

Наименование показателя

Оценка (баллы)

Вкус и запах

10

Консистенция и внешний вид

5

Цвет

2

Упаковка и маркировка

3

Итого

20

А.2 Шкала оценки органолептических показателей, упаковки и маркировки масла в соответствии с требованиями таблицы А.2.

Таблица А.2

 

Наименование и характеристика показателя

Оценка (баллы)

Вкус и запах (10 баллов)

Отличный

Для сладко-сливочного — выраженный сливочный вкус и привкус пастеризации, без посторонних привкусов и запахов

10

 

Для кисло-сливочного — выраженный сливочный вкус с кисломолочным привкусом, без посторонних привкусов и запахов

10

Хороший

Для сладко-сливочного — выраженный сливочный вкус, но недостаточно выраженный привкус пастеризации, без посторонних привкусов и запахов

9

 

Для кисло-сливочного — выраженный кисломолочный вкус, но недостаточно выраженный сливочный

9

Удовлетворительный

Для сладко-сливочного — недостаточно выраженный сливочный, без посторонних привкусов и запахов

8

 

Для кисло-сливочного — недостаточно выраженный кисломолочный, без посторонних привкусов и запахов

8

Невыраженный (пустой)

Для сладко-сливочного — сливочный и привкус пастеризации

7

 

Для кисло-сливочного — сливочный и кисломолочный

7

С наличием привкусов

Для сладко-сливочного и кисло-сливочного —

излишне выраженный привкус пастеризации

7

слабокормовой привкус

6

слабопригорелый привкус

5

привкус растопленного (топленого) масла

5

Консистенция и внешний вид (5 баллов)

Отличная

Плотная, однородная, пластичная, поверхность на срезе блестящая, сухая на вид; термоустойчивость не менее — 0,86

5

Хорошая

Плотная, однородная, но недостаточно пластичная, поверхность на срезе слабо-блестящая или слегка матовая, с наличием единичных капелек влаги размером до 1 мм; термоустойчивость — не менее 0,75

4

Удовлетворительная

Недостаточно плотная и пластичная, поверхность на срезе матовая с наличием мелких капелек влаги; слабо крошливая и слабо рыхлая или слабослоистая; термоустойчивость — не менее 0,70

3

Цвет (2 балла)

Характерный для сливочного масла

От светло-желтого до желтого, однородный по всей массе

2

 

От светло-желтого до желтого, незначительная неоднородность по массе

1

Маркировка и упаковка (3 балла)

Хорошая

Упаковка правильная, маркировка четкая

3

Удовлетворительная

Незначительная деформация упаковки

2

Примечание — При наличии двух или более пороков по каждому показателю снижение балльной оценки следует осуществлять по наиболее обесценивающему пороку.

Приложение Б (справочное). Жирно-кислотный состав молочного жира коровьего молока

Приложение Б
(справочное)

Б.1 Жирно-кислотный состав молочного жира коровьего молока приведен в таблице Б.1.

Таблица Б.1

Условное обозначение жирной кислоты

Наименование жирной кислоты по тривиальной номенклатуре

Массовая доля жирной кислоты, % от суммы жирных кислот

Масляная

2,4-4,2

Капроновая

1,5-3,0

Каприловая

1,0-2,0

Каприновая

2,0-3,8

Деценовая

0,2-0,4

Лауриновая

2,0-4,4*

Миристиновая

8,0-13,0

**

Миристолеиновая

0,6-1,5

Пальмитиновая

21,0-33,0

**

Пальмитолеиновая

1,5-2,4

Стеариновая

8,0-13,5*

**

Олеиновая

20,0-32,0

***

Линолевая

2,2-5,5****

**

Линоленовая

До 1,5

Арахиновая

До 0,3

Бегеновая

До 0,1

Прочие

4,0-6,5

* Для масла, изготовленного в Новой Зеландии, массовые доли: лауриновой кислоты — от 2,0% до 5,7%; олеиновой кислоты — от 19,0% до 33,0%. 

** Расчет произведен по сумме изомеров.

*** Расчет произведен по сумме изомеров, включая изомер линолевой кислоты с сопряженными двойными связями.

**** Для кисло-сливочного масла массовая доля линолевой кислоты — от 1,7% до 5,1%.

Приложение В (справочное). Информационные данные о пищевой ценности 100 г сливочного масла

Приложение В
(справочное)

В.1 Пищевая и энергетическая ценность 100 г сливочного масла приведена в таблице В.1.

Таблица В.1

Ассортиментное наименование масла

Жир, г

Белок, г

Углеводы, г

Энергетическая ценность (калорийность), кДж/ккал

Традиционное

сладко-сливочное:

несоленое;

82,5

0,6

0,8

3132/748

соленое

82,5

0,6

0,8

3132/748

кисло-сливочное:

несоленое;

82,5

0,6

0,8

3132/748

соленое

82,5

0,6

0,8

3132/748

Любительское

сладко-сливочное:

несоленое;

80,0

0,8

1,1

3044/727

соленое

80,0

0,8

1,1

3044/727

кисло-сливочное:

несоленое;

80,0

0,8

1,1

3044/727

соленое

80,0

0,8

1,1

3044/727

Крестьянское

сладко-сливочное:

несоленое;

72,5

1,0

1,4

2772/662

соленое

72,5

1,0

1,4

2772/662

кисло-сливочное:

несоленое;

72,5

1,0

1,4

2772/662

соленое

72,5

1,0

1,4

2772/662

Приложение Г (рекомендуемое). Рекомендации по упаковке


Приложение Г
(рекомендуемое)

Г.1 Упаковка в потребительскую упаковку

Г. 1.1 Масло упаковывают:

— брикетами в кашированную упаковочную фольгу или ее заменители, или в пергамент по ГОСТ 1341, или его заменители, или пергамент «Троицкий»;

— батончиками, упакованными в пленку в виде рукавной оболочки из полимерных материалов на основе полиамида, полиолефинов, полиэтилена низкой и высокой плотности, полипропилена и других газопаронепроницаемых пленок, диаметром от 30 до 70 мм;

— в стаканчики или коробочки, изготовленные из полистирола или из полипропилена;

— в банки, изготовленные из полимерных материалов;

— в подарочную и сувенирную упаковку.

Масло брусками, нарезанными из монолитов вручную или механическим способом, упаковывают в кашированную упаковочную фольгу или ее заменители, или в пергамент по ГОСТ 1341, или его заменители, или пергамент «Троицкий», или полимерные материалы.

Г.1.2 Стаканчики, коробочки, банки могут быть различной формы, герметично укупориваемые слоем материала с термосвариваемым покрытием со съемной крышкой или без съемной крышки, или со съемной крышкой, но без укупоривающего слоя из материала с термосвариваемым покрытием.

Подарочная и сувенирная упаковка представляет собой емкости различной формы и вместимости, художественно оформленные, изготовленные из дерева, керамики, стекла или полимерных материалов.

Г.1.3 Масса нетто масла в потребительской упаковке — от 10 до 2000 г.

Г.2 Упаковка в транспортную упаковку

Г.2.1 Масло, фасованное монолитом, и в потребительской упаковке укладывают в ящики из тарного плоского картона по ГОСТ 13515 или гофрированного картона по ГОСТ 13511, ГОСТ 13512, ГОСТ 13513, ГОСТ 13516 и ГОСТ 16535, массой нетто от 2 до 20 кг.

Масло в потребительской упаковке допускается укладывать в тару-оборудование по ГОСТ 24831 в соответствии с установленным порядком на территории государства, принявшего стандарт.

Г.2.2 Картонные ящики, предназначенные для упаковывания масла монолитом, выстилают упаковочным материалом. Для этого используют пергамент по ГОСТ 1341, марки А, мешки-вкладыши из полимерных материалов. Упаковочный материал должен со всех сторон покрывать монолит масла.

Г.2.3 В каждый ящик помещают масло в потребительской упаковке одной партии, одного наименования, одной даты выработки и одинаковой массы нетто.

При укладке масла в транспортную упаковку каждый ряд потребительской упаковки, при необходимости, разделяют горизонтальными уплотнительными прокладками из картона по ГОСТ 9347 во избежание деформации упаковочных единиц.

Г.2.4 Наружные стыки клапанов ящиков из картона оклеивают клеевой лентой на бумажной основе по ГОСТ 18251 или полиэтиленовой лентой с липким слоем по ГОСТ 20477.

При использовании ящиков из гофрированного картона их углы, при необходимости, дополнительно оклеивают клейкой лентой.

Г.2.5 Брикеты, стаканчики, коробочки, банки из полимерных материалов массой нетто от 10 до 50 г перед упаковыванием в транспортную упаковку укладывают в коробки из картона, бумаги, комбинированных или полимерных материалов, массой нетто от 1 до 5 кг.

Г.2.6 Масло в стаканчиках, коробочках, банках из полимерных материалов допускается объединять в групповую упаковку массой нетто от 1 до 10 кг с укладкой на подложку (лотки, поддоны) с последующим обертыванием термоусадочными пленками.

Г.3 Допускается использование других упаковочных материалов, потребительской и транспортной упаковки, разрешенных для контакта с пищевыми продуктами в установленном порядке на территории государства, принявшего стандарт.

Приложение Д (рекомендуемое). Срок годности сливочного масла, упакованного в транспортную и потребительскую упаковку

Приложение Д
(рекомендуемое)*

________________

* Установленные данным приложением сроки годности согласованы с Роспотребнадзором и не нуждаются на территории Российской Федерации в подтверждении.

Срок годности сливочного масла, упакованного в транспортную и потребительскую упаковку

Д.1 Срок годности масла, упакованного монолитами в транспортную упаковку, приведен в таблице Д.1.

Таблица Д.1

В месяцах

Наименование масла

Упаковка

Срок годности

 

 

Режим II

Режим III

Традиционное и Любительское

Ящики из картона

сладко-сливочное:

несоленое;

9

15 (24)*

соленое

6

8

кисло-сливочное:

несоленое;

9

9

соленое

6

7

Крестьянское

Ящики из картона

сладко-сливочное:

несоленое;

9

15 (24)*

соленое

6

7

кисло-сливочное:

несоленое;

9

9

соленое

4

6

* Срок годности для масла при температуре хранения не выше минус 25°С. 

Примечания

1 Срок годности масла, реализуемого монолитами, при температуре (3±2)°С — не более 10 сут с момента отпуска с предприятия.

2 Предприятия, осуществляющие длительное хранение масла, должны проводить периодический контроль его качества:

— ежемесячно для масла со сроком годности до 6 мес;

— не реже одного раза в квартал для масла со сроком годности более 6 мес.

3 По результатам оценки периодического контроля качества масла решается вопрос о возможности его дальнейшего хранения в пределах срока годности или о направлении его на реализацию или промпереработку, о чем составляется соответствующий акт.

4 В случае хранения масла при температуре не выше минус 18°С микробиологические показатели допускается определять непосредственно перед его реализацией без промежуточного контроля в процессе хранения.

Д.2 Срок годности масла в потребительской упаковке приведен в таблице Д.2. 

Таблица Д.2

Срок годности сливочного масла, сут, не более

Традиционного

Любительского

Крестьянского

Упаковка в алюминиевую кашированную фольгу или ее заменители, пергамент или его заменители, полимерные материалы, стаканчики и коробочки из полимерных материалов со съемной крышкой, подарочная и сувенирная упаковка, массой нетто от 50 до 1000 г

Температура (3±2)°С (режим I)

35 (20)

35 (20)

35 (20)

Температура минус (6±3)°С (режим II)

60 (25)

60 (25)

60 (25)

Температура минус (16±2)°С (режим III)

120 (30)

120 (30)

120 (30)

Герметично укупоренные стаканчики и коробочки из полимерных материалов

Температура (3±2)°С (режим I)

45

45

45

Температура минус (6±3)°С (режим II)

75

75

75

Температура минус (16±2)°С (режим III)

120

120

120

Порционная упаковка в алюминиевую кашированную фольгу или ее заменители, герметично укупоренные стаканчики и коробочки из полимерных материалов, массой нетто от 10 до 50 г

Температура (3±2)°С (режим I)

15

15

15

Температура минус (6±3)°С (режим II)

30

30

30

Температура минус (16±2)°С (режим III)

60

60

60

Примечание — В скобках указан срок годности масла, упакованного в пергамент по ГОСТ 1341 и пергамент «Троицкий».

Д.3 Срок годности сладко-сливочного масла Традиционного, Любительского и Крестьянского, изготовленного в пастбищный период года, упакованного непосредственно в процессе производства брикетами в алюминиевую кашированную фольгу и имеющего следующие микробиологические и органолептические показатели: КМА-ФАнМ — 1·10 КОЕ/в 1 г продукта, БГКП — отсутствие в 0,1 г продукта, вкус и запах — не менее девяти баллов, консистенция — не менее пяти баллов, составляет 270 сут при температуре не выше минус 18°С и относительной влажности воздуха от 70% до 90%.

Д.4 Срок годности масла в потребительской упаковке, расфасованного из монолитов после хранения, рекомендуется устанавливать не более сроков, указанных в таблице Д.2, и его окончание не позднее даты окончания срока годности масла в монолитах, направленных на фасование.

Библиография

[1] Технический регламент Таможенного союза ТР ТС 033/2013 «Молоко и молочная продукция»

[2] Технический регламент Таможенного союза ТР ТС 021/2011 «О безопасности пищевой продукции»

[3] Технический регламент Таможенного союза ТР ТС 029/2012 «Требования безопасности пищевых добавок, ароматизаторов и технологических вспомогательных средств»

[4] Технический регламент Таможенного союза ТР ТС 022/2011 «Пищевая продукция в части ее маркировки»

[5] Технический регламент Таможенного союза ТР ТС 005/2011 «О безопасности упаковки»

______________________________________________________________________________
УДК 637.2:006.354 МКС 67.100.20

Наверх

Ваше сообщение