ГОСТ 30515-2013
ГОСТ 30515-2013
МЕЖГОСУДАРСТВЕННЫЙ СТАНДАРТ
Cements. General specifications
Предисловие
Цели, основные принципы и основной порядок работ по межгосударственной стандартизации установлены ГОСТ 1.0-92 «Межгосударственная система стандартизации. Основные положения» и ГОСТ 1.2-2009 «Межгосударственная система стандартизации. Стандарты межгосударственные, правила и рекомендации по межгосударственной стандартизации. Правила разработки, принятия, применения, обновления и отмены»
Сведения о стандарте
1 РАЗРАБОТАН ООО Фирма «ЦЕМИСКОН»
2 ВНЕСЕН Техническим комитетом по стандартизации ТК 465 «Строительство»
3 ПРИНЯТ Межгосударственным советом по стандартизации, метрологии и сертификации (протокол от 27 декабря 2013 г. N 63-П)
За принятие проголосовали:
4 Настоящий стандарт соответствует следующим европейским региональным стандартам: EN 197-1:2011 Cement — Part 1: Composition, specification and conforming criteria for common cements (Цемент. Часть 1. Состав, технические требования и критерии соответствия обычных цементов); EN 197-2:2000 Cement — Part 2: Conformity evaluation (Цемент. Часть 2. Подтверждение соответствия) в части классификации цементов, методов испытаний, правил оценки качества, критериев соответствия качества цементов нормативным требованиям.
Степень соответствия — неэквивалентная (NEQ)
5 Приказом Федерального агентства по техническому регулированию и метрологии от 11 июня 2014 г. N 654-ст межгосударственный стандарт ГОСТ 30515-2013 введен в действие в качестве национального стандарта Российской Федерации с 1 января 2015 г.
6 ВЗАМЕН ГОСТ 30515-97
ВНЕСЕНА поправка, опубликованная в ИУС N 10, 2015 год
Поправка внесена изготовителем базы данных
Информация об изменениях к настоящему стандарту публикуется в ежегодном информационном указателе «Национальные стандарты», а текст изменений и поправок — в ежемесячном информационном указателе «Национальные стандарты». В случае пересмотра (замены) или отмены настоящего стандарта соответствующее уведомление будет опубликовано в ежемесячном информационном указателе «Национальные стандарты».
1 Область применения
Настоящий стандарт распространяется на все виды цементов и устанавливает:
— термины с соответствующими определениями;
— классификацию;
— общие технические требования;
— требования безопасности;
— требования к отбору проб для контроля качества цемента;
— правила приемки;
— критерии соответствия;
— правила оценки соответствия качества цементов требованиям нормативных документов на цементы конкретных видов;
— методы испытаний;
— требования к транспортированию и хранению;
— гарантии изготовителя.
2 Нормативные ссылки
В настоящем стандарте использованы нормативные ссылки на следующие межгосударственные стандарты:
ГОСТ 8.579-2002 Государственная система обеспечения единства измерений. Требования к количеству фасованных товаров в упаковках любого вида при их производстве, расфасовке, продаже и импорте
ГОСТ 1581-96 Портландцементы тампонажные. Технические условия
ГОСТ 2226-2013 Мешки из бумаги и комбинированных материалов. Общие технические условия
ГОСТ 4013-82 Камень гипсовый и гипсоангидритовый для производства вяжущих материалов. Технические условия
ГОСТ 5382-91 Цементы и материалы цементного производства. Методы химического анализа
ГОСТ ISO 9001-2011 Системы менеджмента качества. Требования
ГОСТ 9078-84 Поддоны плоские. Общие технические условия
ГОСТ 14192-96 Маркировка грузов
ГОСТ 15467-79 Управление качеством продукции. Основные понятия. Термины и определения
ГОСТ 15895-77 Статистические методы управления качеством. Термины и определения
ГОСТ 16504-81 Система государственных испытаний продукции. Испытания и контроль качества продукции. Основные термины и определения
ГОСТ ИСО/МЭК 17025-2009 Общие требования к компетентности испытательных и калибровочных лабораторий
ГОСТ 25951-83 Пленка полиэтиленовая термоусадочная. Технические условия
ГОСТ 30108-94 Материалы и изделия строительные. Определение удельной эффективной активности естественных радионуклидов
ГОСТ 30744-2001 Цементы. Методы испытаний с использованием полифракционного песка
ГОСТ 31108-2003 Цементы общестроительные. Технические условия
3 Термины и определения
Термины, которые следует использовать в нормативных документах, технической и технологической документации на цементы, и их определения приведены в приложении А.
Примечание — Рекомендуется также использовать термины, приведенные в приложении А, в научно-технической, учебной и другой специальной литературе.
4 Классификация
4.1 Цементы классифицируют по следующим основным признакам:
— по назначению;
— виду клинкера;
— вещественному составу;
— прочности на сжатие;
— скорости твердения;
— срокам схватывания.
4.2 По назначению цементы подразделяют:
— на общестроительные;
— специальные.
4.3 По виду клинкера цементы подразделяют на изготовленные на основе:
— портландцементного клинкера;
— глиноземистого (высокоглиноземистого) клинкера;
— смеси портландцементного и сульфоалюминатного (сульфоферритного) клинкера.
4.4 По вещественному составу цементы на основе портландцементного клинкера подразделяют на типы, характеризующиеся различным видом и содержанием минеральных добавок:
— тип I — портландцемент, содержащий в качестве основного компонента вещественного состава только портландцементный клинкер;
— тип II/А — портландцемент с минеральными добавками, содержащий в качестве основных компонентов портландцементный клинкер и минеральную добавку или смесь минеральных добавок в количестве от 6% до 20%;
— тип II/В — портландцемент с минеральными добавками, содержащий в качестве основных компонентов портландцементный клинкер и шлак в количестве от 21% до 35%;
— тип III — шлакопортландцемент, содержащий в качестве основных компонентов портландцементный клинкер и доменный гранулированный, электротермофосфорный или топливный шлак в количестве от 36% до 65%;
— тип IV — пуццолановый цемент, содержащий в качестве основных компонентов портландцементный клинкер и пуццолану в количестве от 21% до 35%;
— тип V — композиционный цемент, содержащий в качестве основных компонентов портландцементный клинкер и смесь шлака и пуццоланы и/или золы-уноса в количестве от 22% до 60%.
Значения допустимого содержания минеральных добавок в цементе относят к сумме основных и вспомогательных компонентов цемента (кроме гипсового камня или других материалов, содержащих в основном сульфат кальция), принятой за 100%.
Примечание — При определении содержания добавки результат округляют до ближайшего целого числа;
— тип I-C — сульфатированный портландцемент, содержащий в качестве основного компонента портландцементный клинкер, в качестве вспомогательного компонента — сульфоалюминатный (сульфоферритный) клинкер в количестве не более 5%;
— тип II-С сульфатированный портландцемент, содержащий в качестве основных компонентов портландцементный клинкер, сульфоалюминатный (сульфоферритный) клинкер в количестве от 6% до 20%.
Наименование и содержание минеральных добавок в цементе и типы цементов могут быть дополнительно уточнены в нормативных документах на цементы конкретных видов или группу конкретной продукции.
4.5 По прочности на сжатие цементы подразделяют на классы: 22,5; 32,5; 42,5; 52,5. В нормативных документах на цементы конкретных видов могут быть установлены дополнительные классы прочности или ограничения по применяемым классам. Для некоторых специальных видов цементов с учетом их назначения допускается устанавливать только один класс прочности или устанавливать значения прочности, отличающиеся от указанных выше.
4.6 По скорости твердения общестроительные цементы подразделяют на подклассы прочности:
— нормальнотвердеющие (Н) с нормированием прочности в возрасте 2 (7) и 28 сут;
— быстротвердеющие (Б) с нормированием прочности в возрасте 2 сут, повышенной по сравнению с нормальнотвердеющими, и 28 сут;
— медленнотвердеющие (М) с нормированием начальной прочности в возрасте 7 (2) сут, пониженной по сравнению с нормальнотвердеющими цементами, и 28 сут.
4.7 По срокам схватывания цементы подразделяют:
— на медленносхватывающиеся — с нормируемым сроком начала схватывания более 2 ч;
— нормальносхватывающиеся — с нормируемым сроком начала схватывания от 45 мин до 2 ч;
— быстросхватывающиеся — с нормируемым сроком начала схватывания менее 45 мин.
4.8 Классификацию специальных цементов по назначению устанавливают в нормативных документах на эти цементы.
4.9 Классификацию по назначению специальных цементов устанавливают в нормативных документах на эти цементы.
4.10 В нормативные документы на цементы конкретных видов или группу конкретной продукции рекомендуется включать рекомендации по рациональным областям применения цементов.
5 Общие технические требования
Цементы должны соответствовать требованиям настоящего стандарта и нормативных документов на цементы конкретных видов или группу конкретной продукции и изготовляться по технологической документации, утвержденной изготовителем.
5.1 Характеристики
5.1.1 Показатели качества, устанавливаемые в нормативных документах на цементы конкретных видов, подразделяют на обязательные и рекомендуемые.
5.1.2 Номенклатура обязательных показателей качества, применяемых в нормативных документах на цементы конкретных видов, приведена в таблице 1.
5.1.3 Показатели качества: конец схватывания, удельная поверхность (тонкость помола), подвижность цементно-песчаного раствора, растекаемость цементного теста, гидрофобность, содержание в клинкере свободного оксида кальция, щелочных оксидов, нерастворимого остатка, потери массы при прокаливании в цементе являются рекомендуемыми для включения в нормативные документы на цементы конкретных видов. В случае если указанные показатели включены в соответствующий нормативный документ, они становятся обязательными при его применении.
5.1.4 Нормируемые значения обязательных и рекомендуемых показателей качества устанавливают в нормативных документах на цементы конкретных видов или группу конкретной продукции в зависимости от их назначения с учетом требований настоящего стандарта.
5.2 Требования к материалам
Для производства цементов применяют:
— клинкер, изготовленный в соответствии с требованиями технологического регламента изготовителя. Клинкер нормированного минералогического состава, а также с нормативами по химическому составу применяют в случаях, когда это предусмотрено нормативными документами на специальные цементы;
— гипсовый камень по ГОСТ 4013. Допускается применять другие материалы, содержащие в основном сульфат кальция, по соответствующим нормативным документам;
— минеральные добавки в качестве основного или вспомогательного компонента цемента по соответствующим нормативным документам;
— технологические и специальные добавки, регулирующие основные свойства цемента, по соответствующим нормативным документам.
Добавки не должны ухудшать свойства цемента или изготовленного на его основе бетона и раствора.
Примечание — По требованию потребителя пластифицирующие добавки не следует вводить в цемент, если они плохо сочетаются с используемыми потребителем супер- или гиперпластификаторами. Последнее должно быть указано в договоре (контракте).
5.3 Упаковка
5 3.1 Цемент отгружают в упаковке или без нее.
5.3.2 Для упаковки цемента применяют:
— бумажные пяти- или шестислойные мешки по ГОСТ 2226 или бумажные мешки любой слойности по соответствующим нормативным или техническим документам, показатели качества которых не ниже требований, установленных ГОСТ 2226;
— мягкие контейнеры с воздухонепроницаемым вкладышем или другую упаковку, надежно защищающую цемент от увлажнения и загрязнения, а также от воздействия
и влаги воздуха, по соответствующим нормативным документам.
Для мелкой расфасовки применяют полиэтиленовые банки, пакеты, а также другую упаковку, обеспечивающую сохранность цемента, по соответствующим нормативным документам.
5.3.3 Номинальная масса нетто мешка с цементом не должна быть более 50 кг, вместимость мягкого контейнера не должна превышать 2 т.
Отклонение средней массы нетто цемента в меньшую сторону не должно превышать предельных значений, установленных ГОСТ 8.579.
5.3.4 Среднюю массу брутто мешка с цементом определяют взвешиванием 20 мешков, выбранных методом случайного отбора из партии, и делением результата на 20.
Среднюю массу мешка определяют взвешиванием 20 мешков, выбранных методом случайного отбора из партии полученных мешков, и делением результата на 20.
Среднюю массу нетто цемента в мешке определяют, вычитая из средней массы брутто мешка с цементом среднюю массу мешка.
Отклонение средней массы нетто цемента в мешках в партии от массы нетто, указанной на упаковке, не должно быть более +1,0%; -0,4%.
5.3.5 Среднюю массу нетто цемента в мягком контейнере определяют, вычитая из массы брутто мягкого контейнера с цементом среднюю массу мягкого контейнера, определенную аналогично средней массе бумажного мешка.
Отклонение средней массы нетто цемента в мягком контейнере от указанной на упаковке не должно быть более +2,0%; -0,5%.
5.3.6 Масса нетто цемента в отдельной упаковке при мелкой расфасовке должна быть [(3; 5) ±0,05] кг, [(10; 20; 25) ±0,3] кг.
5.4 Маркировка
5.4.1 Маркировка должна быть отчетливой и содержать:
— наименование изготовителя и его товарный знак;
— знак обращения на рынке, если это предусмотрено законодательством страны-производителя и (или) импортера цемента;
— условное обозначение цемента и (или) его полное наименование в соответствии с нормативным документом;
— обозначение нормативного документа, в соответствии с которым изготовляют и поставляют цемент;
— среднюю массу нетто цемента в упаковке или массу нетто цемента в транспортном средстве;
— знак соответствия при поставке сертифицированного цемента (если это предусмотрено системой сертификации).
5.4.2 При упаковке цемента в мешки маркировку наносят на каждый мешок в любой его части. При упаковке цемента в мягкие контейнеры маркировку наносят на этикетку, вкладываемую в специальный карман, имеющийся на мягком контейнере. Допускается наносить маркировку несмываемой краской на боковую поверхность мягкого контейнера.
5.4.3 При мелкой расфасовке цемента маркировку наносят на этикетку, которую наклеивают на упаковку или наносят непосредственно на упаковку, или вкладывают между внешним и внутренними слоями упаковки (при прозрачности внешнего слоя упаковки). Каждая упаковка с цементом должна иметь краткую инструкцию по его применению, которая может быть нанесена на упаковку или прилагаться к ней.
5.4.4 При поставке цветного цемента на упаковку и этикетку должна быть нанесена полоса соответствующего цвета.
5.4.5 При поставке цемента в мелкой расфасовке, помещенной в укрупненную тару, этикетку наклеивают также и на тару. При этом на этикетке дополнительно указывают число упаковок в таре.
5.4.6 При формировании транспортных пакетов из мешков с цементом верхний ряд мешков должен быть уложен так, чтобы была отчетливо видна маркировка на мешках. На пакеты верхнего ряда дополнительно наносят транспортную маркировку по ГОСТ 14192.
5.4.7 Каждое транспортное средство снабжают ярлыком, в котором указывают все сведения по 5.4.1 и дополнительно номер партии цемента и дату его отгрузки.
Ярлык прикрепляют к транспортному средству в доступном месте любым способом, обеспечивающим его сохранность при транспортировании и удобство прочтения, а при поставке цемента автотранспортом включают в состав товаросопроводительной документации, передаваемой сопровождающему лицу или водителю.
6 Требования безопасности
6.1 Удельная эффективная активность естественных радионуклидов
в цементе не должна быть более 370 Бк/кг, а в материалах, используемых для производства цемента, например в минеральных добавках, — не более 740 Бк/кг.
6.2 В стандартах на цементы конкретных видов должны быть также указаны требования безопасности, подтверждающие соответствие продукции действующему в стране техническому регламенту, а также законодательству страны-изготовителя и (или) потребителя цемента.
6.3 Не допускается вводить в цемент вспомогательные компоненты, технологические и специальные добавки, повышающие класс опасности цемента.
7 Отбор проб
7.1 Общие положения
7.1.1 Отбор проб для производственного контроля проводят в соответствии с технологической документацией изготовителя.
7.1.2 Отбор проб для контроля качества цемента третьей стороной для инспекционных, сертификационных и других видов испытаний проводят только от партии (части партии), принятой службой технического контроля изготовителя.
7.1.3 Результаты испытаний пробы, отобранной в соответствии с требованиями настоящего стандарта, распространяются только на ту партию (часть партии) цемента, от которой отобрана проба. Не допускается распространять результаты испытаний пробы, отобранной от части партии, на другие части той же партии.
7.1.4 Для контроля качества изготовленного цемента составляют одну объединенную пробу из точечных проб, отобранных от каждой контролируемой партии (части партии).
Не допускается составлять объединенную пробу из цемента разных партий.
7.2 Оборудование для отбора, смешивания и разделения проб
7.2.1 Для отбора и смешивания точечных проб и разделения объединенной пробы на части (лабораторные пробы) применяют оборудование и приспособления, изготовленные из материалов, не реагирующих с цементом.
Не допускается применение оборудования и приспособлений из алюминиевых или оцинкованных материалов. Приспособления должны быть в сухом, чистом виде.
При необходимости применяемое оборудование и места отбора проб должны быть согласованы заинтересованными сторонами до начала отбора проб.
7.2.2 Для отбора проб цемента из емкостей, транспортных средств или упаковки применяемое оборудование и приспособления любой конструкции должны обеспечивать:
— отбор проб на заданной глубине слоя цемента или в заданном месте упаковки;
— защиту отобранной пробы от смешивания с цементом вышележащих слоев при ее извлечении из емкости или упаковки.
7.2.3 Для отбора проб цемента из трубопроводов применяемые пробоотборники любой конструкции должны обеспечивать:
— отбор проб равными частями через равные промежутки времени, установленные технологической документацией, или непрерывно в течение всего срока перекачки цемента по трубопроводу;
— отбор проб только в том месте, где достигается однородность потока по сечению.
Не допускается устанавливать пробоотборники в местах перегиба трубопроводов, а также вблизи мест сброса материала из аспирационных устройств и перед такими устройствами.
7.2.4 Для смешивания точечных проб и разделения на части объединенной пробы применяют любое оборудование или приспособление, а также процедуры, обеспечивающие однородность цемента в объединенной пробе или ее частях.
7.3 Проверка однородности объединенной (лабораторной) пробы
7.3.1 Для проверки однородности объединенной пробы из каждой лабораторной пробы, полученной разделением объединенной пробы, или из разных частей объединенной пробы отбирают навески цемента массой не менее 100 г каждая, в которых определяют содержание оксидов кальция, кремния и серы (VI). Пробу признают однородной, если расхождение между результатами химического анализа двух навесок не превышает удвоенного значения максимальной ошибки повторяемости по ГОСТ 5382 по каждому из определяемых показателей. При получении неудовлетворительного результата хотя бы по одному показателю следует откорректировать процедуру усреднения объединенной пробы до получения однородной пробы.
7.3.2 Проверку однородности цемента по сечению трубопровода проводят один раз при выборе места для установки пробоотборника, добиваясь равномерности характеристик цемента по всему сечению трубопровода.
7.3.3 Проверку однородности объединенной или лабораторной пробы изготовитель должен проводить по мере необходимости, но не реже одного раза в месяц. О проверке однородности объединенной пробы партии цемента должна быть сделана запись в журнале приемо-сдаточных испытаний или на электронных носителях, если результаты приемо-сдаточных испытаний хранятся на таких носителях.
7.3.4 При отборе проб для проверки качества на предприятии, инспекционных, сертификационных или других испытаний проверку однородности цемента в пробах проводят только в том случае, если этого требует одна из сторон, участвующих в отборе пробы.
7.4 Процедура отбора и подготовки проб
7.4.1 Отбор точечных проб цемента, упакованного в мешки, мягкие контейнеры или другую тару, а также из специализированных транспортных средств при перевозке цемента без упаковки проводят не менее чем из пяти единиц упаковок или транспортных средств, выбранных случайным образом.
В случае если контролируемая масса цемента состоит из пяти или менее единиц упаковок или специализированных транспортных средств, точечную пробу примерно одинаковой массы берут от каждой из них.
7.4.2 Из мешков, мягких контейнеров или другой тары пробу берут с глубины не менее 15 см, но не более 15 см от дна контейнера (тары). При глубине тары менее 30 см пробы отбирают из середины слоя.
Отбор проб из специализированных транспортных средств при перевозке цемента без упаковки проводят из потока цемента при его погрузке или разгрузке. Допускается проводить отбор проб через верхний люк транспортного средства с глубины не менее 15 см.
7.4.3 При приемке партии цемента в потоке и при производственном контроле отбор проб проводят от каждой цементной мельницы, работающей в один силос при его наполнении через равные промежутки времени, установленные технологической документацией изготовителя, но не менее пяти раз от каждой мельницы, работающей в силос, за время его наполнения.
7.4.4 Масса точечных проб должна быть такой, чтобы масса объединенной пробы, составленной из них, была не менее 20 кг при проверке качества цемента изготовителем, потребителем и органами надзора и не менее 30 кг при проверке качества цемента в случае предъявления претензий потребителем.
7.4.5 Для приготовления объединенной пробы все точечные пробы, отобранные из одной партии (части партии), соединяют и тщательно перемешивают ручным или механическим способом.
7.4.6 Из объединенной пробы, приготовленной по 7.4.5, получают лабораторные пробы массой около 8 кг каждая в количестве, указанном в 7.4.7 и 7.4.8.
Лабораторные пробы допускается получать с использованием любых типов делителей проб.
7.4.7 При контроле качества цемента изготовителем из объединенной пробы получают две лабораторные пробы: первая для испытаний в лаборатории изготовителя, вторая для хранения у него в течение гарантийного срока, установленного нормативным документом или договором (контрактом) на поставку, на случай необходимости проведения повторных испытаний.
7.4.8 При контроле качества цемента потребителем или органами надзора из объединенной пробы получают три лабораторные пробы. Первую пробу направляют в аккредитованную испытательную лабораторию третьей стороны, вторая остается у потребителя или изготовителя, третья хранится у изготовителя не менее трех месяцев.
При контроле качества цемента в случае предъявления потребителем претензии из объединенной пробы получают три лабораторные пробы. Первую пробу направляют в аккредитованную испытательную лабораторию третьей стороны, вторую и третью — изготовителю и потребителю.
7.4.9 Каждая лабораторная проба, полученная по 7.4.6, должна быть упакована в соответствии с 7.5 и в течение трех рабочих дней, не считая дня отбора, направлена в соответствующую лабораторию для испытаний.
7.5 Упаковка, маркировка и хранение проб
7.5.1 Упаковка и хранение проб должны обеспечивать сохранность свойств контролируемого цемента. Тара, в которую упаковывают пробы, должна быть чистой, сухой, воздухо- и влагонепроницаемой и изготовлена из материала, инертного по отношению к цементу.
7.5.2 Пробы, предназначенные для испытаний в лаборатории третьей стороны и остающиеся у потребителя или изготовителя, упаковывают в герметичную тару, опечатывают или пломбируют. На тару наносят маркировку со следующей информацией:
— наименование изготовителя;
— условное обозначение цемента и (или) наименование в соответствии с нормативным документом;
— дата и место отбора проб;
— номер партии, дата изготовления.
7.6 Акт отбора проб
7.6.1 При контроле качества цемента потребителем, а также в целях проведения сертификационных, контрольных и других испытаний отбор проб оформляют актом с обязательным включением сведений в соответствии с приложением Б или В. В случае отбора проб не у изготовителя его заранее уведомляют о возможном участии в отборе проб.
7.6.2 При контроле качества цемента при предъявлении потребителем претензий акт отбора проб оформляют в соответствии с порядком, установленным документами государственного арбитража или контрактом, с обязательным включением сведений в соответствии с приложением Б или В.
7.6.3 Один экземпляр акта отбора проб направляют в испытательную лабораторию, проводящую испытания, другие экземпляры — заинтересованным организациям.
8 Правила приемки
8.1 Общие положения
8.1.1 Приемку цемента проводит служба технического контроля изготовителя. Поставка цемента, не прошедшего приемку, не допускается.
8.1.2 Приемку цемента проводят партиями. Объем партии, за исключением отгрузки в судах, не должен превышать вместимости одного силоса, если иное не предусмотрено договором (контрактом) на поставку цемента. При отгрузке цемента в судах объем партии устанавливают по согласованию изготовителя с потребителем.
Отбор и подготовку проб для проведения приемки цемента проводят в соответствии с разделом 7.
8.1.3 Служба технического контроля изготовителя проводит приемку цемента на основании результатов производственного контроля и приемо-сдаточных испытаний.
Производственный контроль проводят в объемах и в сроки, установленные действующей у изготовителя технологической документации.
По результатам производственного контроля назначают тип, класс и подкласс прочности цемента, гарантируемые изготовителем.
Приемо-сдаточные испытания включают в себя испытания цемента каждой партии по всем показателям качества, предусмотренным нормативным документом на цемент конкретного вида, за исключением удельной эффективной активности естественных радионуклидов
.
При приемке цемента в потоке формирование партий и приемку цемента проводят по результатам производственного контроля в соответствии с приложением Г.
Изготовитель должен проводить периодические испытания цемента каждого вида по показателю удельной эффективной активности естественных радионуклидов
не реже одного раза в год, а также каждый раз при изменении сырьевых материалов и добавок или их поставщиков. Испытания следует проводить в испытательных лабораториях, аккредитованных на соответствующие испытания.
Результаты периодических испытаний по определению
распространяются на все поставляемые партии цемента до проведения следующих периодических испытаний.
8.1.4 Результаты приемо-сдаточных испытаний фиксируют в журнале по форме, приведенной в приложении Д. Журнал приемо-сдаточных испытаний должен быть пронумерован, прошнурован и опечатан печатью изготовителя. Журнал является официальным документом изготовителя, удостоверяющим качество продукции. При приемке цемента в потоке должны быть прошнурованы и опечатаны журналы производственного контроля (см. приложение Е), на основании которых проводится приемка.
Допускается размещать результаты производственного контроля и приемо-сдаточных испытаний на электронных носителях. При этом должна быть обеспечена защита записей от последующего изменения или удаления.
8.2 Приемка
8.2.1 Партию цемента принимают и поставляют потребителю, как соответствующую стандарту, если результаты испытаний по всем показателям соответствуют требованиям нормативного документа, если иное в части отдельных показателей не предусмотрено договором (контрактом) на поставку цемента.
8.2.2 В случае обнаружения при приемо-сдаточных испытаниях цемента малозначительного дефекта, не превышающего предельного значения, указанного в таблице 2 или в нормативном документе на цемент конкретного вида, партию принимают, но учитывают как дефектную при оценке общего уровня качества. Общее число партий с малозначительными дефектами, принятых в течение квартала, не должно быть более 5% общего числа партий цемента данного вида, типа, класса и подкласса прочности, поставленных за этот период. При этом число дефектов учитывают раздельно по каждому показателю.
В нормативных документах на цементы конкретных видов перечень малозначительных дефектов, а также их значение могут быть изменены с учетом требований к этим цементам. При этом увеличение значения малозначительных дефектов по сравнению с указанными в таблице 2 не допускается.
Таблица 2
|
|
|
|
Малозначительный дефект — предельное отклонение от требований нормативного документа, не более чем на |
|
|
|
|
|
|
|
8.2.3 При обнаружении при приемо-сдаточных испытаниях или при приемке цемента в потоке значительного дефекта, превышающего значения, приведенные в таблице 2, партия цемента приемке не подлежит, но может быть переидентифицирована и принята как продукция другого наименования, если цемент соответствует нормативному документу на эту продукцию. Переидентификацию проводят в порядке, установленном руководством по качеству предприятия.
8.2.4 Если при приемке цемента обнаружен критический дефект, такой цемент приемке и переидентификации не подлежит и должен быть признан как бракованный. Такой цемент должен храниться в отдельном силосе, а тарированный — на отдельном и специально обозначенном участке склада готовой продукции.
Для цемента критическим дефектом, не допускающим его использование по прямому назначению, считается разрушение или растрескивание образцов при воздушно-влажном или водном хранении до начала проведения испытаний на прочность.
8.2.5 Приемку и поставку партии цемента проводят до окончания испытаний на прочность. Если после завершения испытаний на прочность будет установлен значительный дефект, данная партия цемента считается не соответствующей требованиям нормативного документа по классу и (или) подклассу прочности. При этом изготовитель обязан снизить класс прочности цемента или изменить его подкласс прочности (при несоответствии прочности в возрасте 2 сут), о чем в трехдневный срок должен быть уведомлен потребитель.
8.2.6 Каждая партия цемента или ее часть, поставляемая в один адрес, должна сопровождаться документом о качестве, в котором указывают:
— наименование изготовителя, его товарный знак и адрес;
— условное обозначение цемента и (или) его полное наименование по нормативному документу;
— наименование и число добавок — основных компонентов цемента;
— значение удельной эффективной активности естественных радионуклидов
в цементе по результатам периодических испытаний;
— номер партии и дату отгрузки;
— номера транспортных средств или наименование судна;
— гарантийный срок соответствия цемента требованиям нормативного документа, сут;
— знак соответствия при поставке сертифицированного цемента (если это предусмотрено системой сертификации);
— обозначение нормативного документа на поставляемый цемент, если оно не входит в обозначение цемента.
Если цемент обладает признаками ложного схватывания, то это должно быть указано в документе о качестве.
Перечень показателей, приводимых в документе о качестве, может быть дополнен или изменен в соответствии с требованиями нормативного документа на цемент конкретного вида и требованиями заказчика.
Форма документа о качестве приведена в приложении Ж.
8.2.7 Документ о качестве должен быть отмечен знаком контроля изготовителя, подписан руководителем службы технического контроля или его заместителем или другим должностным лицом ОТК, если это установлено внутренними правилами изготовителя, и включен в состав товаросопроводительной документации, передаваемой потребителю.
8.2.8 По требованию потребителя изготовитель обязан сообщать ему результаты всех приемо-сдаточных испытаний данной партии цемента, а при приемке цемента в потоке — результаты испытаний, ближайших по времени к дате отгрузки.
8.3 Оценка уровня качества
8.3.1 В целях подтверждения стабильности качества выпускаемого цемента и его соответствия требованиям нормативного документа, а также возможности его сертификации изготовитель должен постоянно проводить оценку уровня качества продукции.
8.3.2 Оценку уровня качества цемента по типам, классам и подклассам прочности проводят по каждому нормируемому показателю по результатам производственного контроля и приемо-сдаточных испытаний.
8.3.2.1 Оценку уровня качества цемента по переменным применяют по показателям прочности и содержанию оксида серы (VI) в цементе, если число определений оксида серы (VI) не менее одного в неделю, а для цементов на основе клинкера нормированного состава также по показателям минералогического и химического составов клинкера, если это предусмотрено нормативным документом на цемент конкретного вида или группу конкретной продукции.
8.3.2.2 Оценку уровня качества цемента по числу дефектных проб применяют по всем нормируемым показателям, кроме указанных в 8.3.2.1, если иное не установлено нормативным документом на цемент конкретного вида или группу конкретной продукции.
8.3.3 Для оценки уровня качества цемента из журналов приемо-сдаточных испытаний, а при приемке в потоке из журналов производственного контроля берут подряд результаты испытаний по каждому показателю за 12 мес, предшествующих оценке. Исключение каких-либо результатов не допускается. Последующую оценку уровня качества проводят через один месяц после предыдущей, принимая такую же длительность периода оценки. При этом из объема результатов, подлежащих оценке, исключают результаты за первый месяц предыдущей оценки и включают результаты за один последующий месяц.
8.3.4 При оценке по переменным (приложение И) критериями соответствия являются неравенства
где
— нижняя (верхняя) доверительная граница, рассчитанная по формуле (И.3) или (И.4) соответственно;
— нижнее (верхнее) допустимое значение показателя по нормативному документу.
8.3.5 При оценке по числу дефектных проб их число не должно превышать приемочного числа, указанного в таблице 3. При этом критерием соответствия является неравенство
где
— число дефектных проб;
— приемочное число (предельно допустимое число дефектных проб).
|
|
|
8.3.6 Учет дефектных проб ведут раздельно по каждому показателю качества, включая пробы с малозначительными и значительными дефектами.
8.3.7 Если условия 8.3.4 и 8.3.5 выполняются, то уровень качества цемента данного вида, типа, класса и подкласса прочности считается обеспеченным.
8.3.8 Если условия 8.3.4 и 8.3.5 не выполняются или за оцениваемый период имел место хотя бы один критический или значительный дефект, или число малозначительных дефектов за квартал хотя бы для одного показателя превысило 5%, уровень качества цемента данного вида, типа, класса и подкласса прочности считается неудовлетворительным и изготовитель должен принять меры по повышению качества продукции.
8.3.9 Указанные в приложении И коэффициенты соответствия
для расчета нижних (верхних) доверительных границ при оценке по переменным и приемочные числа для оценки по числу дефектных проб выбирают в соответствии с доверительной вероятностью
и допустимым риском потребителя
, указанными в таблице 4.
8.3.10 Результаты оценки уровня качества цемента заносят в журнал приемо-сдаточных испытаний в произвольной форме или хранят на электронных носителях.
8.3.11 Сертификацию цемента на соответствие нормативному документу проводят только при положительных результатах оценки уровня качества цемента.
8.4 Контроль качества цемента потребителем и органами надзора
8.4.1 При контроле качества цемента потребителем, органами надзора и в случае предъявления потребителем претензий контрольные испытания цемента следует проводить в испытательных лабораториях, аккредитованных для проведения сертификационных испытаний цемента, или других аккредитованных организациях, уполномоченных для этих целей органом государственного управления строительством.
С согласия представителей органов надзора, проверяющих качество цемента, контрольные испытания могут быть проведены в лаборатории изготовителя.
8.4.2 При контроле качества цемента потребителем и органами надзора следует соблюдать порядок отбора проб и применять методы испытаний в соответствии с разделами 7 и 9.
8.4.3 Контрольные испытания цемента по всем показателям, кроме прочности, должны быть выполнены, а испытания на прочность начаты не позднее истечения гарантийного срока, установленного нормативным документом на цемент конкретного вида.
8.4.4 При контроле качества цемента органами надзора или потребителем результаты контрольных испытаний данной партии считают удовлетворительными, если они по всем нормируемым показателям качества соответствуют требованиям нормативного документа (с учетом дополнительных требований контракта) для цемента данного вида, типа, класса и подкласса прочности.
8.5 Подтверждение соответствия
8.5.1 Подтверждением соответствия качества цемента является выполнение процедур, результатом которых является документальное свидетельство, удостоверяющее, что качество цемента соответствует нормативным требованиям настоящего стандарта и стандартов на цементы конкретных видов, в которых содержатся ссылки на настоящий стандарт.
Подтверждение соответствия может быть внутренним (производственный контроль) и внешним (оценка качества).
8.5.2 Производственный контроль включает в себя все операции по контролю технологических процессов и завершается приемо-сдаточными испытаниями цемента, а при приемке в потоке — расчетом скользящих средних согласно приложению Г.
8.5.3 Процедуры производственного контроля, включая приемо-сдаточные испытания и приемку цемента в потоке, должны быть регламентированы в руководстве по качеству изготовителя. Руководство по качеству должно входить в установленную систему документации изготовителя.
Руководство по качеству должно описывать и документировать все процедуры, с помощью которых обеспечивается качество цемента и подтверждается, что изготовленный цемент соответствует установленным техническим требованиям и не имеет значительных и критических дефектов. Руководство по качеству должно ссылаться на все нормативные документы предприятия, содержащие необходимые указания о контрольных испытаниях и процедурах по обеспечению качества.
В числе указанных выше процедур руководство по качеству должно содержать:
— порядок разработки деятельности предприятия в области качества, в которой определены цели и задачи предприятия по качеству продукции;
— требования к должностному лицу, ответственному за выполнение всех процедур, установленных руководством по качеству, независимо от других обязанностей;
— порядок проведения внутреннего аудита и порядок оценки состояния качества со стороны руководства предприятия;
— порядок подбора, расстановки и обучения кадров;
— требования к системе управления документацией по качеству, обеспечивающие применение в целях обеспечения и управления качеством только утвержденной, учтенной и исправной нормативной документации;
— требования к контрольно-измерительному и испытательному оборудованию;
— статус контроля и испытаний;
— правила приемки, хранения, тарирования и отгрузки продукции;
— правила разработки и реализации корректирующих и (или) предупреждающих мероприятий при обнаружении несоответствий.
Примечание — Если на предприятии действует система менеджмента качества (СМК) по ГОСТ ISO 9001, то при проведении сертификации цемента орган по сертификации может проверить, отвечает ли руководство по качеству предприятия всем требованиям данного стандарта, важным для внутреннего производственного контроля и обеспечения качества продукции. Если эти требования содержатся, руководство по качеству СМК допускается использовать также для целей сертификации продукции. Лабораторию рекомендуется аккредитовать на соответствие требованиям ГОСТ ИСО/МЭК 17025.
8.5.4 Данные о качестве
Изготовитель должен хранить результаты внутреннего производственного контроля по меньшей мере так долго, как это предусмотрено действующим порядком.
8.5.5 Оценка репрезентативности и точности испытаний цемента
Оценку репрезентативности и точности определения 28-суточной прочности цемента проводят в целях подтверждения достоверности результатов оценки качества цемента на предприятии.
Оценку проводят путем сравнения средних результатов испытаний контрольных проб цемента, отобранных на предприятии представителями независимого аккредитованного центра или других организаций по их поручению, со средними результатами испытаний того же цемента на предприятии за оцениваемый период, а также сравнением результатов испытаний контрольных проб у изготовителя и в независимом сертификационном центре.
Оценку выполняют в соответствии с приложением К.
8.5.6 Изготовители должны принимать участие в межлабораторных сравнительных испытаниях цемента, организуемых независимыми компетентными организациями.
9 Методы испытаний
9.1 Физико-механические характеристики цементов определяют по ГОСТ 30744 и другим стандартам и аттестованным методикам, предусмотренным в нормативных документах на цемент конкретного вида или группу конкретной продукции.
9.2 Химический анализ клинкера, цемента и материалов цементного производства проводят по ГОСТ 5382.
9.3 Удельную эффективную активность естественных радионуклидов
в цементах определяют по ГОСТ 30108.
10 Транспортирование и хранение
10.1 Транспортирование
10.1.1 Цемент транспортируют всеми видами транспорта с соблюдением правил перевозки грузов, установленных для транспорта конкретного вида, и требований другой документации, утвержденной в установленном порядке.
10.1.2 Цемент без упаковки транспортируют в специализированных вагонах-цементовозах, автоцементовозах и судах.
10.1.3 Цемент в упаковке транспортируют в универсальных транспортных средствах (крытых вагонах, автомобилях и судах) транспортными пакетами, в мягких контейнерах или поштучно (мешками).
10.1.4 Транспортные пакеты формируют с применением плоских поддонов по ГОСТ 9078, термоусадочной полиэтиленовой пленки по ГОСТ 25951 или других средств пакетирования по соответствующим нормативным документам.
10.1.5 Пакеты в термоусадочной пленке должны быть герметичны и плотно обжаты пленкой со всех сторон. Габариты пакета должны быть следующими: длина 1260-1290 мм, ширина 1030-1060 мм, высота 880-950 мм. Ширина проема на уступе цокольной части должна быть не менее 100 мм с каждой стороны пакета, высота — не менее 90 мм.
Масса нетто пакета должна быть не более 2 т.
10.1.6 Транспортирование цемента пакетами железнодорожным транспортом осуществляют в соответствии с техническими условиями на размещение и крепление пакетов, сформированных из мешков цемента с использованием термоусадочной пленки, в четырехосных полувагонах.
10.1.7 Цемент в мягких контейнерах транспортируют железнодорожным транспортом в полувагонах или на платформах, в судах в трюме или на открытой палубе, в бортовых автомобилях.
10.1.8 Контейнеры, применяемые для транспортирования цемента, должны соответствовать требованиям нормативных документов на них.
10.1.9 Изготовитель обязан поставлять цемент в исправном и очищенном транспортном средстве.
10.1.10 При транспортировании цемента без упаковки или в мешках он должен быть защищен от воздействия
, влаги воздуха и загрязнения.
10.2 Хранение
10.2.1 Цемент должен храниться раздельно по типам, классам и подклассам прочности: в неупакованном виде — в силосах или других закрытых емкостях, в упаковке — в сухих помещениях.
Смешивание цементов различных типов, классов и подклассов прочности, а также загрязнение его посторонними примесями и увлажнение не допускаются.
Не допускается хранить цемент без упаковки в складах амбарного типа.
Каждый силос должен иметь хорошо видимое обозначение, включающее в себя номер силоса, а также вид, тип, класс и подкласс прочности цемента, для хранения которого он предназначен. Если в случае необходимости в одном силосе должны храниться попеременно цементы разного наименования, загрузку силоса цементом нового наименования следует проводить только после его полного освобождения от предыдущего цемента.
10.2.2 При хранении мешки с цементом укладывают вплотную на поддоны в штабели высотой не более 1,8 м с обеспечением свободного доступа к ним. Допускается хранение мешков с цементом на поддонах в два яруса общей высотой не более 2,5 м.
Не допускается укладка в один штабель мешков (пакетов) с цементом разного вида, типа, класса и подкласса прочности.
10.2.3 В складском помещении должны быть выделены и обозначены участки для размещения мешков или пакетов с цементом определенного наименования, типа, класса и подкласса прочности.
10.2.4 Допускается хранение цемента в мягких контейнерах и пакетах, изготовленных с применением водонепроницаемых материалов, под навесом или на открытых площадках при условии целостности водонепроницаемой упаковки.
Для предотвращения примерзания мягких контейнеров и пакетов их следует укладывать на поддоны в штабели высотой не более трех ярусов.
11 Подтверждение соответствия требованиям безопасности
В стандартах на цементы конкретных видов должны быть указаны требования безопасности и защиты окружающей среды, выполнение которых подтверждает его соответствие требованиям действующего в стране технического регламента.
12 Гарантии изготовителя
Изготовитель гарантирует соответствие цемента требованиям стандарта на этот цемент при соблюдении правил его транспортирования и хранения при поставке без упаковки на момент поставки, но не более 60 сут (для быстротвердеющих цементов не более 45 сут) с даты отгрузки, а при поставке в таре — в течение 60 сут (для быстротвердеющих цементов в течение 45 сут) с даты отгрузки. В стандартах на цементы конкретных видов допускается увеличение гарантийного срока.
Приложение А (обязательное). Термины и определения
Таблица А.1
Приложение В (обязательное). Форма акта отбора проб в любой организации, кроме изготовителя
Приложение Г (обязательное). Приемка цемента в потоке
Приложение Г
(обязательное)
Г.1.1 Метод непрерывной приемки цемента в потоке основан на ведении контрольных карт скользящих средних арифметических значений и скользящих размахов всех показателей качества, установленных технологическим регламентом для принятия решения о приемке партии цемента.
Г.1.2 Цемент текущей выработки может быть принят и разрешен к отгрузке, если на основании обработки результатов текущего производственного контроля его качество признано соответствующим требованиям нормативного документа одновременно по всем контролируемым показателям качества. Отбор проб от транспортных средств при приемке в потоке не проводят.
Г.1.3 Порядок проведения производственного контроля и приемки цемента в потоке устанавливают в технологическом регламенте.
Г.1.4 При приемке цемента в потоке результаты производственного контроля и значения всех рассчитываемых величин, предусмотренных настоящей методикой, фиксируют в журнале производственного контроля по форме, приведенной в приложении Е, или на электронных носителях. Журналы или электронные записи рекомендуется вести раздельно для каждой цементной мельницы.
Г.2 Правила принятия решения о приемке цемента в потоке
Г.2.1 Для каждого контролируемого показателя качества ведут контрольные карты скользящих средних арифметических значений (далее — скользящее среднее) и скользящих размахов (далее — размах). Если по всем показателям, по которым согласно нормативному документу проводят приемку партии цемента, скользящее среднее находится внутри предупреждающей границы контрольной карты, а размах остается меньше предупреждающей границы контрольной карты, технологический процесс считают устойчивым, а цемент текущей выработки принимают и разрешают к поставке.
Г.2.2 Если по какому-либо из показателей скользящее среднее выходит за пределы предупреждающих границ, но остается внутри границ регулирования, и при этом размах остается меньше предупреждающей границы размахов, цемент текущей выработки принимают и разрешают к поставке, но одновременно принимают меры для регулирования технологического процесса в целях возвращения скользящего среднего в предупреждающие границы.
Г.2.3 Если по какому-либо показателю скользящее среднее выходит за пределы границ регулирования, приемку цемента в потоке приостанавливают и переходят на обычную процедуру приемки до устранения нарушений технологического процесса.
Г.2.4 Если по какому-либо показателю скользящее среднее остается внутри предупреждающих границ, но размах выходит за предупреждающую границу, цемент текущей выработки принимают и разрешают к поставке, но одновременно принимают меры для стабилизации технологического процесса в целях возвращения размаха в предупреждающие границы.
Г.2.5 Если по нормативному документу для показателя регламентируется только верхнее (нижнее) значение, то в случае, предусмотренном в Г.2.3, приемку в потоке приостанавливают только при нарушении соответствующей границы регулирования контрольной карты скользящих средних.
Г.3 Порядок проведения приемки цемента в потоке
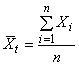
Г.3.1 Расчет скользящих средних значений
Скользящее среднее значение и размах рассчитывают отдельно по каждому показателю, контролируемому при приемке цемента.
Для расчета скользящего среднего используют
результатов испытаний.
Скользящее среднее
вычисляют по формуле
где
— результат отдельного определения контролируемого показателя;
— число результатов испытаний, принятое для расчета скользящего среднего (4
8).
После получения очередного результата испытания расчет скользящего среднего повторяют, отбрасывая первый результат из использованных в предыдущем расчете и добавляя вновь полученный.
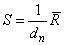
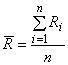
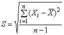
Г.3.2 Расчет среднего квадратического (стандартного) отклонения
По результатам производственного контроля за предшествующий период, но не менее чем за один месяц, рассчитывают стандартное отклонение каждого показателя, контролируемого при приемке цемента.
Стандартное отклонение
вычисляют по формуле
где
— среднее значение результатов определения контролируемого показателя за весь период, принятый для расчетов*;
_______________
* При расчетах среднего значения и среднего размаха какого-либо показателя берут все значения подряд. Исключение какого-либо значения недопустимо.
— результат отдельного испытания;
— число результатов испытаний, используемых для расчета (необходимое условие
120).
Для упрощения вычисления стандартного отклонения допускается применять формулу
где
— средний размах;
— коэффициент, зависящий от числа значений в группе.
Значения коэффициента
приведены в таблице Г.1.
Для определения средних значений и стандартных отклонений рекомендуется использовать стандартные компьютерные программы.
Для расчета среднего размаха все результаты определения контролируемого показателя, полученные в течение расчетного периода, разбивают на группы по 2-8 значений с одинаковым числом значений в группе. В каждой группе определяют размах
как разность между наибольшим и наименьшим значениями результатов испытаний в данной группе.
Средний размах
вычисляют по формуле
где
— значение размаха в
-й группе;
— число групп.
Г.3.3 Расчет предупреждающих границ и границ регулирования контрольной карты скользящих средних
Предупреждающие границы и границы регулирования рассчитывают отдельно по каждому показателю, контролируемому при приемке цемента.
Предупреждающие границы
и границы регулирования
вычисляют по формулам:
где
— верхняя предупреждающая граница;
— нижняя предупреждающая граница;
— верхняя граница регулирования;
— нижняя граница регулирования;
— норматив контролируемого показателя, установленный технологическим регламентом;
— стандартное отклонение, вычисленное по формуле (Г.2) или (Г.3);
— число результатов испытаний, использованных для расчета скользящего среднего по формуле (Г.1).
Значение стандартного отклонения и положение предупреждающих границ и границ регулирования следует уточнять не реже одного раза в квартал.
Примечание — Если рассчитанные предупреждающие границы по какому-либо показателю не удовлетворяют требованиям нормативного документа, необходимо принять меры для повышения стабильности производства по этому показателю, а если это нецелесообразно — соответствующим образом изменить норматив технологического регламента.
Г.3.4 Расчет предупреждающей границы контрольной карты размахов
Верхнюю предупреждающую границу размахов
вычисляют по формуле
где
— коэффициент, зависящий от числа значений в группе.
Значения коэффициента
приведены в таблице Г.2.
Выход размаха за предупреждающую границу контрольной карты размахов указывает на недостаточную стабильность технологического процесса. В этом случае необходимо принять срочные меры для выявления и устранения причин нестабильности.
Г.3.5 Обработка результатов
По рассчитанным значениям предупреждающих границ и границ регулирования, нормативам (требованиям) по стандарту
и технологическому регламенту (а) строят контрольные карты скользящих средних и контрольные карты размахов отдельно по каждому показателю, контролируемому при приемке цемента в потоке.
На соответствующие контрольные карты наносят значения скользящих средних и размахов. По их расположению относительно предупреждающих границ и границ регулирования (рисунки Г.1-Г.3) и с учетом значения размаха (рисунок Г.4) согласно Г.2 принимают решение о приемке цемента в потоке.
Рисунок Г.1 — Контрольная карта скользящих средних

Скользящее среднее находится внутри предупреждающих границ.
Рисунок Г.1 — Контрольная карта скользящих средних
Рисунок Г.2 — Контрольная карта скользящих средних

Скользящее среднее выходит за пределы предупреждающих границ, но остается внутри зоны регулирования.
Рисунок Г.2 — Контрольная карта скользящих средних
Рисунок Г.3 — Контрольная карта скользящих средних

Скользящее среднее выходит за пределы верхней границы зоны регулирования.
Рисунок Г.3 — Контрольная карта скользящих средних
Рисунок Г.4 — Контрольная карта размахов

Рисунок Г.4 — Контрольная карта размахов
На участках 1-2 и 3-4 размах ниже предупреждающей границы, технологический процесс стабилен. На участке 2-3 размах выходит за предупреждающую границу. Необходимо принять меры для стабилизации процесса.
Пример приемки цемента ЦЕМ II/А-Ш 32,5Н по ГОСТ 31108 в потоке по содержанию оксида серы
(VI)
Согласно технологическому регламенту содержание
(VI) в цементе определяют два раза в смену (через 4 ч). Результаты определения содержания
(VI) приведены в таблице Г.3.
Скользящее среднее по содержанию
(VI) в цементе
вычисляют по четырем последним значениям результатов определений (
4). Приведенные в примере данные позволяют начать расчет скользящего среднего начиная с 16 ч 01.09. В первую группу войдут данные за 01.09 с 4:00 до 16:00 ч включительно, во вторую — за 01.09 с 8:00 до 20:00 ч, в третью — за 01.09 с 12:00 до 24:00 ч и т.д. Последним значением, которое может быть рассчитано по данным, приведенным в таблице Г.3, является текущее среднее за 24 ч 30.09.
Результаты расчетов скользящего среднего приведены в таблице Г.4.
Стандартное отклонение по содержанию
(VI) в цементе вычисляют по формуле (Г.3). Берут 120-180 результатов определений за предшествующий период. В данном примере принято 180 результатов. Для расчета среднего размаха число значений в группе принимают таким же, как и при определении скользящего среднего, т.е. четыре значения в группе за две соседние смены, и получают 45 групп.
Средний размах вычисляют по результатам предшествующего периода по формуле (Г.4), используя значения размаха каждой группы, приведенные в таблице Г.5.
(1,26+1,59+0,65+…+1,08):45=1,03%.
Для группы из четырех значений по таблице Г.1 принимают значение
2,059, тогда стандартное отклонение, вычисленное по формуле (Г.3), равно:
Предупреждающие границы и границы регулирования (верхние и нижние) контрольной карты для скользящего среднего вычисляют по формулам (Г.5) и (Г.6). Норматив по содержанию
(VI) в цементе согласно технологическому регламенту принимают равным 2,5%.
.
.
Предупреждающую границу контрольной карты размахов рассчитывают по формуле (Г.7) с использованием коэффициента
2,28 по таблице Г.2 для
4:
По полученным значениям предупреждающих границ и границ регулирования, нормативу стандарта по содержанию
(VI) в цементе ЦЕМ II/A-Ш 32,5Н (
3,5%), и нормативу технологического регламента (
2,5%) строят контрольную карту, на которую наносят значения скользящих средних по содержанию
(VI) в цементе. По их расположению согласно Г.2 принимают решение о возможности приемки цемента по данному показателю качества.
Рисунок Г.5 — Контрольная карта скользящих средних по содержанию SO(3) (VI), в цементе ЦЕМ II/A-Ш 32,5Н

Рисунок Г.5 — Контрольная карта скользящих средних по содержанию
(VI), в цементе ЦЕМ II/A-Ш 32,5Н
Примечание — Согласно ГОСТ 31108 для цемента нормируют только верхнее допустимое значение
(VI). Однако в целях повышения технологической дисциплины и обеспечения стабильности качества в технологическом регламенте указывают также допустимый нижний предел. Поэтому на карту допускается наносить верхние и нижние границы скользящего среднего.
Заключение
Скользящее среднее по содержанию
(VI) в некоторых случаях выходит за пределы предупреждающих границ, но остается внутри границ регулирования. Размах остается меньше предупреждающей границы контрольной карты. Контрольная карта размахов в данном примере не приведена. Цемент принимают и разрешают к поставке, т.к. условия Г.2 выполнены, но принимают меры для регулирования технологического процесса (увеличивают или уменьшают подачу гипсового камня) в целях возвращения скользящего среднего в предупреждающие границы контрольной карты, а также приближения скользящего среднего к нормативу технологического регламента.
Приложение Д (рекомендуемое). Форма журнала приемо-сдаточных испытаний
Приложение Е (рекомендуемое). Форма журнала производственных испытаний при приемке в потоке
Приложение Ж (рекомендуемое). Форма документа о качестве
Приложение Ж
(рекомендуемое)
Примечание — В приведенной форме документа о качестве указаны в основном показатели для цементов по ГОСТ 31108. Для других цементов должны быть указаны показатели, установленные в нормативном документе на эти цементы.
Приложение И (обязательное). Оценка уровня качества цемента по переменным
И.1 Результаты испытаний для расчетов берут согласно 8.3.3.
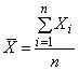
И.2 Среднее значение
результатов испытаний вычисляют по формуле
где
— результат отдельного испытания;
— число испытаний.
И.3 Среднее квадратическое (стандартное) отклонение
вычисляют по формуле
И.4 Нижнюю доверительную границу значения показателя
вычисляют по формуле
И.5 Верхнюю доверительную границу значения показателя
вычисляют по формуле
где
— коэффициент соответствия в формулах (И.3) и (И.4), зависящий от числа испытаний и заданной доверительной вероятности
(см. таблицу И.1).
Для нижнего предела прочности во все сроки твердения принимают
95%, для верхнего предела прочности в возрасте 28 сут, содержания оксида серы
(VI) и расчетного содержания клинкерных минералов, если последнее предусмотрено нормативным документом на конкретную продукцию, принимают
90%.
Примеры расчета доверительных границ
Пример 1 — Расчет нижней доверительной границы
прочности в возрасте 2 сут для цемента класса и подкласса прочности 32,5Б по ГОСТ 31108 с нормируемой прочностью в этом возрасте
10,0 МПа при испытании по ГОСТ 30744.
Результаты испытаний приведены в таблице И.2.
|
|
|
Среднее значение результатов испытаний
вычисляют по формуле (И.1)
(14,6+12,7+15,0+…+14,3+15,0):50=14,2 МПа.
Стандартное отклонение вычисляют по формуле (И.2)
0,85 МПа.
Нижнюю доверительную границу
значения прочности в возрасте 2 сут вычисляют по формуле (И.3). Значение коэффициента
принимают по таблице И.1. При
50
95%,
2,07.
14,2-2,07·0,85=12,4 МПа.
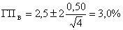
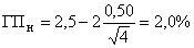
По формуле (1) оценивают соответствие данного цемента требованию нормативного документа по прочности в возрасте 2 сут.
12,4 МПа
10,0 МПа.
Заключение: Уровень качества данного цемента по прочности в возрасте 2 сут удовлетворяет требованию ГОСТ 31108 к цементам класса и подкласса прочности 32,5Б.
Пример 2 — Расчет нижней доверительной границы прочности
в возрасте 28 сут для цемента класса прочности 42,5 по ГОСТ 31108 с нормируемой прочностью
42,5 МПа при испытании по ГОСТ 30744.
Результаты испытаний приведены в таблице И.3.
|
|
|
Среднее значение результатов испытаний вычисляют по формуле (И.1):
44,0 МПа.
Стандартное отклонение вычисляют по формуле (И.2):
1,07 МПа.
Нижнюю доверительную границу
значения прочности в возрасте 28 сут вычисляют по формуле (И.3). Значение коэффициента
принимают по таблице И.1. При
55
95%,
2,07.
44,0-2,07·1,07=41,78 МПа ~ 41,8 МПа.
По формуле (1) оценивают соответствие данного цемента требованию нормативного документа по прочности в возрасте 28 сут.
41,8 МПа
42,5 МПа.
Заключение: Уровень качества данного цемента по прочности в возрасте 28 сут не удовлетворяет требованию ГОСТ 31108 к цементу класса прочности 42,5.
Пример 3 — Расчет верхней доверительной границы
содержания оксида серы
(VI) для цемента ЦЕМ II/А-Ш 32,5Н по ГОСТ 31108 с нормируемым содержанием
3,5%.
|
|
|
Среднее значение результатов испытаний вычисляют по формуле (И.1):
2,56%.
Среднее стандартное отклонение вычисляют по формуле (И.2):
0,18%.
Верхнюю доверительную границу
содержания
в цементе ЦЕМ II/А-Ш 32,5Н вычисляют по формуле (И.4). Значение коэффициента
принимают по таблице И.1. При
50
90%,
1,65.
=2,56+1,65·0,18=2,9%.
По формуле (1) оценивают соответствие цемента требованию стандарта по содержанию
: 2,9%
3,5%.
Заключение: Уровень качества данного цемента по содержанию
соответствует требованию ГОСТ 31108.
Приложение К (обязательное). Оценка репрезентативности и точности испытаний цемента на предприятии
К.1 Для оценки репрезентативности и точности результатов испытаний цемента на прочность в 28-суточном возрасте, проводимых на предприятии за оцениваемый период (как правило, один год), от каждой разновидности цемента (тип, класс, подкласс прочности), выпускаемого на предприятии, независимым сертификационным центром или при его участии, или по его поручению должно быть отобрано не менее шести проб цемента. Отбор проб проводят равномерно в течение оцениваемого периода в соответствии с разделом 7. Каждую пробу делят на три части, первую из которых испытывают на предприятии, вторую — в независимом сертификационном центре, третью сохраняют в течение не менее трех месяцев на случай необходимости выполнения дополнительных испытаний.
К.2 Параметры и обозначения параметров, используемых для выполнения оценки, приведены в таблице К.1.
Результаты испытаний используют для решения следующих задач:
а) Относятся ли результаты испытаний отобранных контрольных проб к той же генеральной совокупности, что и все испытанные за оцениваемый период пробы цемента данного вида, типа, класса и подкласса прочности (оценка представительности контрольных проб)?
Результаты относятся к одной генеральной совокупности, если выполняется хотя бы одно из двух условий для 28-суточной прочности:
Если ни одно из этих условий не выполняется, контрольные пробы следует признать не относящимися к одной генеральной совокупности и нерепрезентативными, а отклонение качества этих проб от среднего уровня качества данного вида цемента значимым.
При этом если
, среднее качество цемента выше, если
, среднее качество цемента ниже, чем качество контрольных проб.
б) Сопоставимы ли результаты испытаний на предприятии и в независимой аккредитованной лаборатории?
Результаты испытаний контрольных проб предприятием и независимой аккредитованной испытательной лабораторией признают статистически сопоставимыми, если выполняются два условия для 28-суточной прочности:
3,4 МПа и одновременно
4,0 МПа. (К.3)
Если хотя бы одно из этих условий не выполняется, результаты испытаний контрольных проб на предприятии и в независимой аккредитованной испытательной лаборатории следует признать статистически различающимися.
__________________________________________________________________________
УДК [69+666.94](083.94):006.354 МКС 91.100.10 NEQ
,
,
,
,