ГОСТ 12.2.007.13-2000 Система стандартов безопасности труда (ССБТ). Лампы электрические. Требования безопасности
ГОСТ 12.2.007.13-2000 Система стандартов безопасности труда (ССБТ). Лампы электрические. Требования безопасности
ГОСТ 12.2.007.13-2000
Группа Т58
МЕЖГОСУДАРСТВЕННЫЙ СТАНДА
Система стандартов безопасности труда
ЛАМПЫ ЭЛЕКТРИЧЕСКИЕ
Требования безопасности
Occupation safety standards system.
Electric lamps. Safety requirements
ОКС 29.140
ОКП 34 0700
1 РАЗРАБОТАН Всероссийским научно-исследовательским институтом источников света имени А.Н.Лодыгина (ОАО «Лисма-ВНИИИС»)
ВНЕСЕН Госстандартом Российской Федерации
2 ПРИНЯТ Межгосударственным Советом по стандартизации, метрологии и сертификации (протокол N 17-2000 от 22 июня 2000 г.)
За принятие проголосовали:
3 Постановлением Государственного комитета Российской Федерации по стандартизации и метрологии от 20 ноября 2000 г. N 303-ст межгосударственный стандарт ГОСТ 12.2.007.13-2000 введен в действие непосредственно в качестве государственного стандарта Российской Федерации с 1 июля 2001 г.
Настоящий стандарт распространяется на электрические лампы и устанавливает требования безопасности к их конструкции и методы контроля. Настоящий стандарт не распространяется на лампы, на которые разработаны и действуют стандарты, регламентирующие требования безопасности.
2 Нормативные ссылки
В настоящем стандарте использованы ссылки на следующие стандарты:
ГОСТ 12.2.007.0-75 Система стандартов безопасности труда. Изделия электротехнические. Общие требования безопасности
ГОСТ 2170-73 Ленты из никеля и низколегированных сплавов никеля. Технические условия
ГОСТ 15150-69 Машины, приборы и другие технические изделия. Исполнения для различных климатических районов. Категории, условия эксплуатации, хранения и транспортирования в части воздействия климатических факторов внешней среды
ГОСТ 17100-79 Цоколи для источников света. Технические условия
ГОСТ 22483-77 Жилы токопроводящие медные и алюминиевые для кабелей, проводов и шнуров. Основные параметры. Технические требования
ГОСТ 25834-83 Лампы электрические. Маркировка, упаковка, транспортирование и хранение
3 Требования безопасности
3.1.1 Электрические лампы должны соответствовать требованиям настоящего стандарта и ГОСТ 12.2.007.0.
3.1.2 Лампы должны быть сконструированы таким образом, чтобы при соблюдении правил эксплуатации они были безопасны для потребителя и окружающей среды.
3.1.3 Для обеспечения защиты от случайного прикосновения к токоведущей части цоколя лампы с резьбовыми цоколями Е14, Е27 и Е40 по ГОСТ 17100 на напряжение свыше 42 В должны изготовляться таким образом, чтобы при ввертывании ламп в соответствующие патроны и при их включении исключалась возможность прикасания к деталям ламп, находящимся под напряжением.
3.1.4 Крепление цоколя к колбе должно быть прочным, не допускающим отделения цоколя от колбы при приложении к нему постепенно возрастающего момента, указанного в стандартах и нормативных документах на лампы конкретных типов.
Поворот цоколя типа G10 вокруг его оси не должен превышать ±15°.
3.1.5 В лампах не должно быть обрывов в токоведущих частях, а также замыканий токовых вводов и держателей между собой и другими частями ламп.
Внутри ламп не должно быть посторонних частиц, способных вызвать короткие замыкания тела накала или повреждения колбы.
3.1.6 Максимальное превышение температуры цоколя ламп с цоколями Е14, Е27, Е40, В22 по отношению к нормальной температуре окружающей среды и температура внешней колбы ламп не должны превышать значений, установленных в стандартах или нормативных документах на лампы конкретных типов.
3.1.7 Сопротивление изоляции цоколей типов B15d, B22d, E27/51×39 ламп накаливания с одним телом накала между изолированными частями и контактами или фланцем должно быть не менее 50 МОм в нормальных климатических условиях для ламп на напряжение свыше 42 В или в условиях повышенной влажности воздуха не менее:
0,05 МОм — для ламп на напряжение до 24 В включительно;
1 МОм — для ламп на напряжение свыше 24 В до 42 В включительно;
2 МОм — для ламп на напряжение 42 В.
Значения сопротивления изоляции цоколей ламп на напряжение 42 В и менее в нормальных климатических условиях устанавливают, при необходимости, в стандартах или нормативных документах на лампы конкретных типов.
Для разрядных ламп с цоколями Е27, Е40, G13 сопротивление изоляции цоколей в условиях повышенной влажности должно быть не менее 2 МОм или в нормальных климатических условиях — не менее значений, указанных в стандартах или нормативных документах на лампы конкретных типов.
Допускается по требованию потребителя устанавливать другие значения сопротивления изоляции.
3.1.8 Лампы накаливания со штифтовыми двухконтактными цоколями с одним телом накала на напряжение свыше 42 В и разрядные лампы с цоколем G13 должны выдерживать в нормальных климатических условиях без пробоя и перекрытия испытательное напряжение 1500 В переменного тока частоты 50 Гц, приложенное между токоведущими и другими изолированными частями цоколя.
Значения испытательного напряжения для ламп на напряжение 42 В и менее в нормальных климатических условиях и значения испытательного напряжения в условиях повышенной влажности устанавливают, при необходимости, в стандартах или нормативных документах на лампы конкретных типов.
Для разрядных ламп, работающих в схемах с высоковольтными импульсными зажигающими устройствами, требования к электрической прочности изоляции и метод проверки устанавливают в стандартах или нормативных документах на лампы конкретных типов.
3.1.9. Лампы накаливания общего назначения мощностью 25 (типа Б), 36-200 Вт, лампы в декоративной колбе, зеркальные лампы мощностью до 200 Вт, предназначенные для общего освещения, должны иметь плавкий предохранитель, являющийся составной частью токового ввода.
В случае возникновения дуги и токовых перегрузок плавкий предохранитель должен предотвратить разрушение колбы.
3.1.10 Токовые вводы ламп должны быть прочно соединены с корпусом и контактной пластиной цоколя, а люминесцентных ламп — со штырьками цоколя таким образом, чтобы не нарушалось защитное покрытие цоколя, а места соединений токовых вводов с корпусом или контактной пластиной цоколя не препятствовали вставлению или ввертыванию ламп в соответствующие патроны или калибры.
3.1.11 Требования к маркировке ламп — по ГОСТ 25834.
3.1.12 Допускается в стандартах или нормативных документах на лампы конкретных типов устанавливать дополнительные требования безопасности.
4 Методы контроля
4.1 Контроль ламп проводят в нормальных климатических условиях по ГОСТ 15150, если другие условия не указаны при изложении конкретных методов контроля.
4.2 Контроль защиты от случайного прикасания к токоведущей части цоколя (3.1.3) проводят с помощью калибров, указанных на рисунках А.1, А.2 приложения А. Лампу следует вставить в калибр на максимальную длину.
Лампы считаются выдержавшими испытания, если при вставленной лампе плоскость
подвижной части калибра не выступает над плоскостью
.
4.3 Прочность крепления цоколей к колбе ламп (3.1.4) испытывают с помощью испытательной установки, обеспечивающей нарастающий крутящий момент от нуля до значения, указанного для конкретного цоколя. Установка должна быть снабжена специальным патроном, обеспечивающим соосность цоколя лампы с поворотным устройством.
Для обеспечения соосности и крепления между цоколем и патроном при испытании на скручивание трубчатых люминесцентных ламп на определенном расстоянии от патрона закрепляется стопорный механизм, служащий опорой для лампы.
Поворот цоколя типа G10 вокруг его оси обеспечивается конструкцией лампы.
Схема прибора приведена в приложении Б.
Лампы, у которых во время испытаний произошло разрушение стекла колбы, не учитываются и должны быть заменены.
4.4 Отсутствие замыкания токовых вводов и держателей между собой и другими частями ламп (1.3.5) контролируют визуально и включением ламп на номинальное (расчетное) напряжение.
Отсутствие посторонних частиц (3.1.5), кроме ламп с покрытием, проверяют внешним осмотром или включением на номинальное (расчетное) напряжение или пониженное напряжение, значение которого указано в стандартах или нормативных документах на лампы конкретных типов.
4.5 Превышение температуры на цоколе (3.1.6) контролируют в стандартном испытательном пространстве, представляющем собой металлический шкаф. Три боковые стенки и крышка должны быть двойными с зазором между стенками около 150 мм, основание шкафа должно быть монолитным. Стенки изготовляются из перфорированного, например, цинкового или оцинкованного листа с матовой поверхностью. Максимальный диаметр отверстий — 2 мм, а площадь отверстий составляет около 40% площади стенок.
Размеры шкафа должны быть такими, чтобы температура в нем при измерениях не превышала 40 °С.
Минимальные размеры шкафа 0,5х0,5х0,5 м.
Внутри шкафа должен помещаться термометр, экранированный от прямого излучения. Термометр устанавливается на одном уровне с испытываемой лампой в середине между лампой и стенкой.
Измерение превышения температуры цоколя проводят при номинальном напряжении лампы в установившемся тепловом режиме. Установившимся тепловым режимом считается такой режим, при котором температура изменяется не более чем на 1 °С в течение 30 мин.
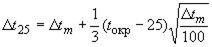
Требования к превышению температуры устанавливаются при температуре окружающей среды 25 °С.
Если температура внутри шкафа отличается от 25 °С, то измеренное превышение температуры
должно быть приведено к 25 °С.
где
— превышение температуры, приведенное к температуре 25 °С;
— температура окружающей среды.
Формула справедлива при 15 °С
40 °С.
Превышение температуры цоколя лампы должно определяться как превышение температуры поверхности стандартного испытательного патрона, в котором помещается цоколь.
Испытательный патрон рекомендуется изготовлять из никелевой ленты толщиной 0,5 мм по ГОСТ 2170.
Измерение температуры на цоколе проводится хромель-алюмелевым термопреобразоватем диаметром 0,2-0,3 мм.
Рабочий конец термопреобразователя должен прикрепляться к испытательному патрону минимальным количеством припоя в точке, диаметрально противоположной щели испытательного патрона на расстоянии 1-2 мм от кромки дна. Затем два провода термопреобразователя располагаются параллельно кромке патрона и на расстоянии не менее 20 мм прикрепляются небольшим количеством цемента (одна весовая часть силиката натрия и две части порошкообразного талька).
Испытательный патрон насаживается на цоколь лампы и фиксируется с помощью пружин. Пружина изготовляется из стальной проволоки диаметром 0,8 мм с числом витков 1,5.
Размеры испытательных патронов (Е14/20, Е14/25х17, Е27, Е40 и В22) приведены на рисунках 1 (таблица 1), 2 (таблица 2), 3.
Положение испытательного патрона относительно цоколя должно соответствовать указанному на рисунках 1, 2, 3.
Рисунок 1 — Испытательный патрон для цоколей Е14/20 и Е14/25х17

1 — рабочий конец термопреобразователя; 2 — термопреобразователь; 3 — цемент;
4 — припой цоколя; 5 — пайка проводов
Рисунок 1 — Испытательный патрон для цоколей Е14/20 и Е14/25х17
Рисунок 2 — Испытательный патрон для цоколей Е27 и Е40

1 — рабочий конец термопреобразователя; 2 — термопреобразователь; 3 — цемент;
4 — припой цоколя; 5 — пайка проводов
Рисунок 2 — Испытательный патрон для цоколей Е27 и Е40
Рисунок 3 — Испытательный патрон для цоколей В22

1 — рабочий конец термопреобразователя; 2 — термопреобразователь; 3 — цемент;
4 — припой цоколя; 5 — пайка проводов
Рисунок 3 — Испытательный патрон для цоколей В22
Лампа с испытательным патроном подвешивается внутри шкафа.
Лампу с резьбовым цоколем подвешивают на медном проводе диаметром 1 мм и длиной 110 мм, припаянном к центральному контакту цоколя. Для соединения с нулевым проводом сети прикрепляется гибкий многожильный медный провод сечением 0,75 мм
по ГОСТ 22483.
Лампу со штифтовым цоколем типа В22 подвешивают на двух медных проводах, припаянных к контактам цоколя. Испытательный патрон снабжен гибким многожильным проводом длиной 110 мм, который не применяется для электрического соединения лампы, а свободно висит в воздухе. Этот провод служит для обеспечения тепловых условий, аналогичных для патронов с резьбовыми цоколями.
Для измерения термоэдс используют компенсационный самопишущий прибор класса точности не ниже 0,5.
Для измерения температуры допускается также применение термисторов.
Метод измерения температуры на колбе устанавливают в стандартах или нормативных документах на лампы конкретных типов.
Для разрядных ламп допускается измерение температуры на цоколе и колбе проводить хромель-алюмелевым термопреобразователем и компенсационным самопишущим прибором класса точности не ниже 0,5.
Термопреобразователи должны быть установлены надежным способом: на цоколе — в верхней части на расстоянии не более 2 мм от края, а на колбе — на уровне светового центра.
4.6 Измерение электрического сопротивления изоляции (3.1.7) проводят в нормальных климатических условиях или после испытания лампы на воздействие повышенной влажности воздуха в течение 24 ч в камере тепла и влаги при температуре (25±5) °С и относительной влажности 91-95% (если иное не оговорено в стандартах или нормативных документах на лампы конкретных типов) мегаомметром после подачи в течение 1 мин напряжения (500±50) В постоянного тока.
При измерении электрического сопротивления в нормальных климатических условиях перед испытанием лампы выдерживают в нормальных климатических условиях не менее 2 ч, при этом испытания проводят непосредственно после отжига ламп. Если сопротивление изоляции окажется менее 50 МОм, то лампы выдерживают в сушильном шкафу при температуре (50±5) °С не менее 48 ч, а затем вновь проверяют после извлечения из сушильного шкафа.
Измерение электрического сопротивления изоляции после воздействия повышенной влажности воздуха проводят не позднее чем через 10 мин после извлечения ламп из камеры тепла и влаги.
Перед началом испытаний с поверхности испытываемых ламп следует снять капли воды с помощью промокательной бумаги.
Перед измерением сопротивления изоляции у разрядных ламп предварительно должна быть разрушена внешняя колба ламп и отрезана горелка со всеми присоединительными проводниками, после чего вводы ламп присоединяют к измерительным клеммам мегаомметра.
4.7 Проверку электрической прочности изоляции цоколей ламп (3.1.8) проводят напряжением переменного тока частоты 50 Гц. Испытательное напряжение прикладывают между частями лампы, указанными в стандартах и нормативных документах на лампы конкретных типов. Напряжение повышают до 50% требуемого значения, а затем в течение 1 мин плавно увеличивают его до полного испытательного напряжения, указанного в 3.1.8.
Измерение электрической прочности проводят непосредственно после окончания испытаний по 4.6.
Лампы считают выдержавшими испытания, если не произошло перекрытия или пробоя изоляции во время испытания, причем появление тлеющего разряда, не вызывающего падения испытательного напряжения, не учитывают.
4.8 Проверку способности ламп выдерживать токовые перегрузки (3.1.9) проводят следующим образом: на лампу, помещенную в защитный кожух, подают напряжение от 380 до 450 В, силу тока ограничивают до 15 А дополнительным сопротивлением, включенным последовательно с лампой.
Лампы считают выдержавшими испытания, если не произошло нарушения целостности колбы.
4.9 Соединения токовых вводов (3.1.10) с цоколем контролируют визуально и путем ввертывания или вставления ламп в соответствующие калибры или патроны.
ПРИЛОЖЕНИЕ А (обязательное). Калибры для проверки защиты от случайного прикасания
Рисунок А.1 — Калибр для проверки защиты от случайного прикосновения для ламп в резьбовых патронах с цоколем Е14
Рисунок А.2 — Калибр для проверки защиты от случайного прикосновения для ламп с цоколем Е27
ПРИЛОЖЕНИЕ Б (рекомендуемое). Установка для испытаний прочности крепления цоколя к колбе
Рисунок Б.1


